Приказ Федеральной антимонопольной службы от 19.12.2025 № 1129/25 "О внесении изменений в Методические указания по расчету тарифов на услуги по передаче электрической энергии, устанавливаемых с применением метода долгосрочной индексации необходимой валовой выручки, утвержденные приказом ФСТ России от 17 февраля 2012 г. № 98-э, и Методические указания по регулированию тарифов с применением метода доходности инвестированного капитала, утвержденные приказом ФСТ России от 30 марта 2012 г. № 228-э"
Министерство юстиции
Российской Федерации
ЗАРЕГИСТРИРОВАНО
Регистрационный № 84762
от 24 декабря 2025 г.
ФЕДЕРАЛЬНАЯ АНТИМОНОПОЛЬНАЯ СЛУЖБА
ПРИКАЗ
Москва
19 декабря 2025 г. № 1129/25
О внесении изменений в Методические указания по расчету тарифов на услуги по передаче электрической энергии, устанавливаемых с применением метода долгосрочной индексации необходимой валовой выручки, утвержденные приказом ФСТ России от 17 февраля 2012 г. № 98-э, и Методические указания по регулированию тарифов с применением метода доходности инвестированного капитала, утвержденные приказом ФСТ России от 30 марта 2012 г. № 228-э
В соответствии со статьями 6 и 20, пунктами 1 и 4 статьи 23, абзацами четвертым и шестым пункта 2 статьи 24 Федерального закона от 26 марта 2003 г. № 35-ФЗ "Об электроэнергетике", пунктом 3(1) постановления Правительства Российской Федерации от 30 июня 2004 г. № 331 "Об утверждении Положения о Федеральной антимонопольной службе", подпунктом 5.2.9(22).2 пункта 5 Положения о Федеральной антимонопольной службе, утвержденного постановлением Правительства Российской Федерации от 30 июня 2004 г. № 331, абзацем первым пункта 33, абзацем первым пункта 38 Основ ценообразования в области регулируемых цен (тарифов) в электроэнергетике, утвержденных постановлением Правительства Российской Федерации от 29 декабря 2011 г. № 1178, пунктом 7 постановления Правительства Российской Федерации от 23 октября 2025 г. № 1635 "О внесении изменений в некоторые акты Правительства Российской Федерации по вопросу установления и применения эталонов затрат территориальных сетевых организаций" приказываю:
1. Внести в Методические указания по расчету тарифов на услуги по передаче электрической энергии, устанавливаемых с применением метода долгосрочной индексации необходимой валовой выручки, утвержденные приказом ФСТ России от 17 февраля 2012 г. № 98-э (зарегистрирован Минюстом России 29 февраля 2012 г., регистрационный № 23367), с изменениями, внесенными приказом ФСТ России от 18 марта 2015 г. № 421-э (зарегистрирован Минюстом России 23 апреля 2015 г., регистрационный № 37029), приказами ФАС России от 24 августа 2017 г. № 1108/17 (зарегистрирован Минюстом России 28 декабря 2017 г., регистрационный № 49521), от 31 августа 2020 г. № 801/20 (зарегистрирован Минюстом России 11 сентября 2020 г., регистрационный № 59774), от 1 сентября 2020 г. № 804/20 (зарегистрирован Минюстом России 11 сентября 2020 г., регистрационный № 59775), от 25 декабря 2020 г. № 1275/20 (зарегистрирован Минюстом России 20 февраля 2021 г., регистрационный № 62587), от 20 мая 2022 г. № 396/22 (зарегистрирован Минюстом России 3 июня 2022 г., регистрационный № 68729), от 18 июля 2022 г. № 523/22 (зарегистрирован Минюстом России 5 августа 2022 г., регистрационный № 69517), от 4 октября 2022 г. № 703/22 (зарегистрирован Минюстом России 28 декабря 2022 г., регистрационный № 71845), от 20 июля 2023 г. № 485/23 (зарегистрирован Минюстом России 3 октября 2023 г., регистрационный № 75449), от 20 ноября 2024 г. № 878/24 (зарегистрирован Минюстом России 6 декабря 2024 г., регистрационный № 80478), от 10 декабря 2025 г. № 1066/25 (зарегистрирован Минюстом России 18 декабря 2025 г., регистрационный № 84657), изменения согласно приложению № 1 к настоящему приказу.
2. Внести в Методические указания по регулированию тарифов с применением метода доходности инвестированного капитала, утвержденные приказом ФСТ России от 30 марта 2012 г. № 228-э (зарегистрирован Минюстом России 10 апреля 2012 г., регистрационный № 23784), с изменениями, внесенными приказами ФСТ России от 13 июня 2013 г. № 760-э (зарегистрирован Минюстом России 16 июля 2013 г., регистрационный № 29078), от 18 марта 2015 г. № 421-э (зарегистрирован Минюстом России 23 апреля 2015 г., регистрационный № 37029), приказами ФАС России от 24 августа 2017 г. № 1108/17 (зарегистрирован Минюстом России 28 декабря 2017 г., регистрационный № 49521), от 1 сентября 2020 г. № 805/20 (зарегистрирован Минюстом России 11 сентября 2020 г., регистрационный № 59776), от 25 декабря 2020 г. № 1275/20 (зарегистрирован Минюстом России 20 февраля 2021 г., регистрационный № 62587), от 18 июля 2022 г. № 523/22 (зарегистрирован Минюстом России 5 августа 2022 г., регистрационный № 69517), от 4 октября 2022 г. № 703/22 (зарегистрирован Минюстом России 28 декабря 2022 г., регистрационный № 71845), от 30 ноября 2022 г. № 906/22 (зарегистрирован Минюстом России 27 декабря 2022 г., регистрационный № 71837), от 20 июля 2023 г. № 485/23 (зарегистрирован Минюстом России 3 октября 2023 г., регистрационный № 75449), от 20 ноября 2024 г. № 878/24 (зарегистрирован Минюстом России 6 декабря 2024 г., регистрационный № 80478), от 10 декабря 2025 г. № 1066/25 (зарегистрирован Минюстом России 18 декабря 2025 г., регистрационный № 84657), изменения согласно приложению № 2 к настоящему приказу.
3. Настоящий приказ вступает в силу с 1 января 2026 г.
Руководитель М.А.Шаскольский
Приложение № 1
к приказу ФАС России
от 19 декабря 2025 г. № 1129/25
Изменения,
вносимые в Методические указания по расчету тарифов на услуги по передаче электрической энергии, устанавливаемых с применением метода долгосрочной индексации необходимой валовой выручки, утвержденные приказом ФСТ России от 17 февраля 2012 г. № 98-э
1. Дополнить пунктом 6(1) следующего содержания:
"6(1). В отношении территориальных сетевых организаций, указанных в пункте 38(4) Основ ценообразования, подконтрольные расходы определяются с применением эталонов затрат территориальных сетевых организаций в соответствии с порядком, установленным пунктом 38(4) Основ ценообразования (далее - эталон затрат территориальной сетевой организации). При этом для расчета необходимой валовой выручки таких территориальных сетевых организаций на долгосрочный период регулирования не применяются (не устанавливаются) следующие долгосрочные параметры регулирования:
1) базовый уровень подконтрольных расходов, устанавливаемый регулирующими органами;
2) индекс эффективности подконтрольных расходов в соответствии с пунктом 38 Основ ценообразования;
3) коэффициент эластичности подконтрольных расходов по количеству активов, определяемый Методическими указаниями.".
2. В пункте 11:
а) абзац шестой после слов "подконтрольные расходы, определяемые в соответствии с пунктом 11(1) Методических указаний" дополнить словами "или в соответствии с пунктами 11(5) - 11(8) Методических указаний в случае применения эталонов затрат территориальных сетевых организаций";
б) абзац седьмой изложить в следующей редакции:
"ПР1 - уровень подконтрольных расходов на первый (базовый) год долгосрочного периода регулирования (базовый уровень подконтрольных расходов) устанавливается регулирующими органами в соответствии с пунктом 12 Методических указаний методом экономически обоснованных расходов (затрат) или уровень подконтрольных расходов на первый год, определенный в соответствии с пунктами 11(5) - 11(8) Методических указаний в случае применения эталонов затрат территориальных сетевых организаций. При установлении базового уровня подконтрольных расходов методом экономически обоснованных расходов (затрат) учитываются результаты анализа обоснованности расходов регулируемой организации, понесенных в долгосрочном периоде регулирования, предшествующем очередному расчетному периоду регулирования, и результаты проведения контрольных мероприятий;";
в) в абзаце двенадцатом слова "методом экономически обоснованных расходов" заменить словами "методом экономически обоснованных расходов (затрат)";
г) абзац четырнадцатый изложить в следующей редакции:
"- уплату налогов на прибыль организаций, имущество и иных налогов, расходы на уплату страховых взносов на обязательное пенсионное страхование, на обязательное социальное страхование на случай временной нетрудоспособности и в связи с материнством, обязательное медицинское страхование, взносов на обязательное социальное страхование от несчастных случаев на производстве и профессиональных заболеваний (в соответствии с пунктами 20 и 28 Основ ценообразования) (тыс. руб.);";
д) абзац тридцать первый изложить в следующей редакции:
"
- корректировка подконтрольных расходов в связи с изменением планируемых параметров расчета тарифов, определяемая в соответствии с пунктом 11(4) Методических указаний или в соответствии с пунктами 11(9), 11(10) Методических указаний в случае применения эталонов затрат территориальных сетевых организаций. Не рассчитывается для случаев, если год i-2 является первым годом долгосрочного периода регулирования или годом, на который пересмотрен базовый уровень подконтрольных расходов, за исключением корректировки подконтрольных расходов, определенных с применением эталонов затрат территориальных сетевых организаций;".
3. Дополнить пунктами 11(5) - 11(10) следующего содержания:
"11(5). Для территориальных сетевых организаций, за исключением указанных в пункте 11(6) Методических указаний, подконтрольные расходы, определяемые с применением эталонов затрат территориальных сетевых организаций и учитываемые при установлении тарифов на услуги по передаче электрической энергии
, рассчитываются по формуле (9.19):
, (9.19),
где:
i - период регулирования;
j - год;
k - вид оборудования, к которому относятся объекты электросетевого хозяйства, принадлежащие территориальной сетевой организации на праве собственности или на ином законном основании и применяемые в сфере оказания услуг по передаче электрической энергии, вторичное оборудование, обеспечивающее функционирование и управление первичным (основным) электросетевым оборудованием, непосредственно участвующим в процессе передачи и распределения электрической энергии, а также приборы учета электрической энергии и иное оборудование, которые необходимы для выполнения в соответствии с пунктом 5 статьи 37 Федерального закона от 26 марта 2003 г. № 35-ФЗ "Об электроэнергетике" обязанностей по обеспечению коммерческого учета электрической энергии (мощности), в отношении которого утверждены значения эталонов затрат территориальных сетевых организаций в соответствии с приложением № 8 к Основам ценообразования;
r - субъект Российской Федерации;
Vk i - среднегодовое (среднее за 12 месяцев) количество относящегося к виду k оборудования, планируемого к эксплуатации в соответствующем году i долгосрочного периода регулирования. При наличии известных фактических значений используется фактическое среднегодовое (среднее за 12 месяцев) количество относящегося к виду k оборудования, которое определяется с учетом фактического количества оборудования без учета месяца ввода в эксплуатацию. В отношении территориальных сетевых организаций, необходимая валовая выручка которых с учетом расходов на оплату потерь и оплату услуг других территориальных сетевых организаций за 3 последних периода регулирования превысила 10 процентов суммарной необходимой валовой выручки территориальных сетевых организаций, учтенной при установлении единых (котловых) тарифов на услуги по передаче электрической энергии, дополнительно учитывается среднегодовое (среднее за 12 месяцев) количество относящегося к виду k оборудования, планируемого к вводу в соответствующем году долгосрочного периода регулирования, в том числе в соответствии с долгосрочной инвестиционной программой, определяемое без учета месяца ввода в эксплуатацию.
Среднегодовое (среднее за 12 месяцев) количество относящегося к виду k оборудования определяется как частное от деления суммы, полученной в результате сложения количества относящегося к виду k оборудования на первое число каждого месяца регулируемого периода (финансового года) и последнее число регулируемого периода, на количество месяцев в году, увеличенное на единицу.
Nk - значение эталона затрат территориальных сетевых организаций в отношении относящегося к виду k оборудования, определяемое в соответствии с приложением № 8 к Основам ценообразования;
Sk i - коэффициент учета влияния сроков эксплуатации оборудования, определяемый ежегодно на год i в соответствии с приложением № 11 к Основам ценообразования в отношении каждого относящегося к виду k оборудования в зависимости от срока его эксплуатации;
Rr - региональный коэффициент, определяемый в соответствии с приложением № 9 к Основам ценообразования;
Mr - коэффициент распределения сетей территориальных сетевых организаций, определяемый в соответствии с приложением № 10 к Основам ценообразования.
11(6). Для территориальных сетевых организаций, являющихся единым хозяйствующим субъектом железнодорожного транспорта или дочерним (зависимым) обществом такого субъекта, которое владеет инфраструктурой железнодорожного транспорта общего пользования, или права акционера или собственника имущества которых осуществляют Российская Федерация в лице Министерства обороны Российской Федерации и (или) подведомственные Министерству обороны Российской Федерации организации, подконтрольные расходы, определяемые с применением эталонов затрат территориальных сетевых организаций и учитываемые при установлении тарифов на услуги по передаче электрической энергии
, рассчитываются по формуле (9.20):
, (9.20),
где:
- коэффициент приведения эталонов затрат, определяемый в соответствии с приложением № 12 к Основам ценообразования.
11(7). Для территориальных сетевых организаций, указанных в пунктах 11(5), 11(6) Методических указаний, величина подконтрольных расходов, учитываемая в тарифах на услуги по передаче электрической энергии на 2026, 2027 годы (
,
), определяется соответственно по формулам (9.21), (9.22):
, (9.21),
, (9.22),
где:
,
- подконтрольные расходы, определенные соответственно на 2026, 2027 годы с применением эталонов затрат территориальных сетевых организаций в соответствии с формулами (9.19) или (9.20) Методических указаний;
ПР2026, ПР2027 - подконтрольные расходы, определенные соответственно на 2026, 2027 годы:
- с применением метода экономически обоснованных расходов (затрат) в случае если 2026 год или 2027 год является первым годом долгосрочного периода регулирования территориальной сетевой организации;
- с применением метода экономически обоснованных расходов (затрат) на 2026 год с учетом индексации на индекс потребительских цен в соответствии с параметрами прогноза социально-экономического развития Российской Федерации и индекс изменения количества активов (без учета коэффициента эластичности подконтрольных расходов) в случае если 2027 год является вторым годом долгосрочного периода регулирования территориальной сетевой организации;
- учтенных при установлении тарифов на услуги по передаче электрической энергии на 2025 год подконтрольных расходов, проиндексированных на индексы потребительских цен в соответствии с параметрами прогноза социально-экономического развития Российской Федерации и индексы изменения количества активов (без учета коэффициента эластичности подконтрольных расходов) в случае если 2026 год и 2027 год являются очередными годами долгосрочного периода регулирования территориальной сетевой организации.
При определении подконтрольных расходов в соответствии с абзацами седьмым - девятым настоящего пункта должно соблюдаться условие непревышения удельной величины подконтрольных расходов территориальной сетевой организации в расчете на единицу количества активов, необходимых для осуществления регулируемой деятельности, над удельной величиной подконтрольных расходов территориальной сетевой организации, которая соответствует на очередной период регулирования критериям отнесения территориальной сетевой организации к крупнейшей территориальной сетевой организации в административных границах субъекта Российской Федерации, предусмотренным приложением № 3(1) к Основам ценообразования, в расчете на единицу количества активов, необходимых для осуществления регулируемой деятельности в очередном периоде регулирования.
11(8). При определении подконтрольных расходов по формулам (9.19), (9.24) Методических указаний в отношении территориальных сетевых организаций, у которых более 80 процентов количества условных единиц, относящихся к объектам электросетевого хозяйства, участвующих в регулируемой деятельности, расположено на территориях городских населенных пунктов в соответствии с данными первичного бухгалтерского учета, к значениям эталонов затрат территориальных сетевых организаций дополнительно применяется понижающий коэффициент 0,9 (за исключением территориальных сетевых организаций, осуществляющих регулируемую деятельность на территориях городов федерального значения).
При определении подконтрольных расходов по формулам (9.19), (9.24) Методических указаний в отношении территориальных сетевых организаций, оказывающих услуги по передаче электрической энергии на территории субъекта Российской Федерации, часть территории которого отнесена к районам Крайнего Севера и местностям, приравненным к районам Крайнего Севера, и на указанной части территории субъекта Российской Федерации расположено более 80 процентов общего количества условных единиц, относящихся к активам и объектам электросетевого хозяйства территориальной сетевой организации, участвующих в регулируемой деятельности, учитывается коэффициент 1,7, соответствующий уровню оплаты труда в районах Крайнего Севера и приравненных к ним местностях. Положения настоящего абзаца не применяются в случае отнесения всей территории субъекта Российской Федерации к районам Крайнего Севера и местностям, приравненным к районам Крайнего Севера.
11(9). Для территориальных сетевых организаций, указанных в пунктах 11(5), 11(6) Методических указаний, корректировка подконтрольных расходов, определяемых с применением эталонов затрат территориальных сетевых организаций, в связи с изменением планируемых параметров расчета тарифов
рассчитывается по формуле (9.23):
, (9.23),
где:
- подконтрольные расходы, определенные исходя из фактического количества относящегося к виду k оборудования в году i-2, тыс. руб.;
- подконтрольные расходы, учтенные при установлении тарифов на услуги по передаче электрической энергии на год i-2, тыс. руб.
Для территориальных сетевых организаций, за исключением территориальных сетевых организаций, являющихся единым хозяйствующим субъектом железнодорожного транспорта или дочерним (зависимым) обществом такого субъекта, которое владеет инфраструктурой железнодорожного транспорта общего пользования, или права акционера или собственника имущества которых осуществляют Российская Федерация в лице Министерства обороны Российской Федерации и (или) подведомственные Министерству обороны Российской Федерации организации,
определяются по формуле (9.24):
, (9.24),
где:
- фактическое среднегодовое (среднее за 12 месяцев) количество относящегося к виду k оборудования в году i-2;
- фактический совокупный композитный индекс.
Для территориальных сетевых организаций, являющихся единым хозяйствующим субъектом железнодорожного транспорта или дочерним (зависимым) обществом такого субъекта, которое владеет инфраструктурой железнодорожного транспорта общего пользования, или права акционера или собственника имущества которых осуществляют Российская Федерация в лице Министерства обороны Российской Федерации и (или) подведомственные Министерству обороны Российской Федерации организации,
определяются по формуле (9.25):
, (9.25).
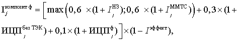
Фактический совокупный композитный индекс
определяется по формуле (9.26):
, (9.26),
где:
- прирост среднемесячной начисленной заработной платы работников организаций, установленный прогнозом социально-экономического развития Российской Федерации на год (j);
- прирост минимальной месячной тарифной ставки рабочих первого разряда промышленно-производственного персонала в году (j) по отношению к году (j-1) в соответствии с отраслевыми тарифными соглашениями в электроэнергетике Российской Федерации с учетом применения регионального повышающего коэффициента;
- индекс цен производителей, в том числе без продукции топливно-энергетического комплекса (нефть, нефтепродукты, уголь, газ, энергетика), установленный прогнозом социально-экономического развития Российской Федерации на год (j);
Iэффект - индекс эффективности, определяемый в соответствии с пунктом 38(4) Основ ценообразования.
При отсутствии территориальной сетевой организации в реестре организаций, на которых распространяется действие отраслевого тарифного соглашения в электроэнергетике Российской Федерации, величина фактического совокупного композитного индекса
определяется без учета
.
11(10). Для территориальных сетевых организаций, указанных в пунктах 11(5), 11(6) Методических указаний, расчет корректировки подконтрольных расходов, определяемых с применением эталонов затрат территориальных сетевых организаций, по итогам деятельности в 2026 и 2027 годах (
,
) осуществляется по формулам:
, (9.27),
, (9.28),
где:
,
- корректировка подконтрольных расходов, рассчитанная по формуле (9.23) Методических указаний, при этом в качестве величины подконтрольных расходов, учтенных при установлении тарифов на услуги по передаче электрической энергии на год i-2
, принимается величина подконтрольных расходов, определенных с применением эталонов затрат территориальных сетевых организаций в соответствии с формулой (9.19) или (9.20) Методических указаний;
,
- корректировка подконтрольных расходов, рассчитанная как разность между фактической и плановой величинами подконтрольных расходов, определенными в соответствии с абзацами седьмым - девятым пункта 11(7) Методических указаний при соблюдении условия абзаца десятого пункта 11(7) Методических указаний.".
Приложение № 2
к приказу ФАС России
от 19 декабря 2025 г. № 1129/25
Изменения,
вносимые в Методические указания по регулированию тарифов с применением метода доходности инвестированного капитала, утвержденные приказом ФСТ России от 30 марта 2012 г. № 228-э
1. Дополнить пунктом 7(1) следующего содержания:
"7(1). В отношении территориальных сетевых организаций, указанных в пункте 38(4) Основ ценообразования, операционные расходы определяются с применением эталонов затрат территориальных сетевых организаций в соответствии с порядком, установленным пунктом 38(4) Основ ценообразования (далее - эталон затрат территориальной сетевой организации). При этом для расчета необходимой валовой выручки таких территориальных сетевых организаций на долгосрочный период регулирования не применяются (не устанавливаются) следующие долгосрочные параметры регулирования:
1) базовый уровень операционных расходов;
2) индекс эффективности операционных расходов;
3) коэффициент эластичности операционных расходов по количеству активов, определяемый в соответствии с Методическими указаниями.".
2. Абзац шестой пункта 10 изложить в следующей редакции:
"OPi - операционные расходы в году i, определяемые в соответствии с пунктами 11, 14 Методических указаний или в соответствии с пунктами 13(1) - 13(3) Методических указаний в случае применения эталонов затрат территориальных сетевых организаций;".
3. Дополнить пунктами 13(1) - 13(3) следующего содержания:
"13(1). Для территориальных сетевых организаций, за исключением указанных в пункте 13(2) Методических указаний, операционные расходы, определяемые с применением эталонов затрат территориальных сетевых организаций и учитываемые при установлении тарифов на услуги по передаче электрической энергии
, рассчитываются по формуле:
![]()
где:
i - период регулирования;
j - год;
k - вид оборудования, к которому относятся объекты электросетевого хозяйства, принадлежащие территориальной сетевой организации на праве собственности или на ином законном основании и применяемые в сфере оказания услуг по передаче электрической энергии, вторичное оборудование, обеспечивающее функционирование и управление первичным (основным) электросетевым оборудованием, непосредственно участвующим в процессе передачи и распределения электрической энергии, а также приборы учета электрической энергии и иное оборудование, которые необходимы для выполнения в соответствии с пунктом 5 статьи 37 Федерального закона от 26 марта 2003 г. № 35-ФЗ "Об электроэнергетике" обязанностей по обеспечению коммерческого учета электрической энергии (мощности), в отношении которого утверждены значения эталонов затрат территориальных сетевых организаций в соответствии с приложением № 8 к Основам ценообразования;
r - субъект Российской Федерации;
Vk i _ среднегодовое (среднее за 12 месяцев) количество относящегося к виду k оборудования, планируемого к эксплуатации в соответствующем году i долгосрочного периода регулирования. При наличии известных фактических значений используется фактическое среднегодовое (среднее за 12 месяцев) количество относящегося к виду k оборудования, которое определяется с учетом фактического количества оборудования без учета месяца ввода в эксплуатацию. В отношении территориальных сетевых организаций, необходимая валовая выручка которых с учетом расходов на оплату потерь и оплату услуг других территориальных сетевых организаций за 3 последних периода регулирования превысила 10 процентов суммарной необходимой валовой выручки территориальных сетевых организаций, учтенной при установлении единых (котловых) тарифов на услуги по передаче электрической энергии, дополнительно учитывается среднегодовое (среднее за 12 месяцев) количество относящегося к виду k оборудования, планируемого к вводу в соответствующем году долгосрочного периода регулирования, в том числе в соответствии с долгосрочной инвестиционной программой, определяемое без учета месяца ввода в эксплуатацию.
Среднегодовое (среднее за 12 месяцев) количество относящегося к виду k оборудования определяется как частное от деления суммы, полученной в результате сложения количества относящегося к виду k оборудования на первое число каждого месяца регулируемого периода (финансового года) и последнее число регулируемого периода, на количество месяцев в году, увеличенное на единицу.
Nk - значение эталона затрат территориальных сетевых организаций в отношении относящегося к виду k оборудования, определяемое в соответствии с приложением № 8 к Основам ценообразования;
Sk i - коэффициент учета влияния сроков эксплуатации оборудования, определяемый ежегодно на год i в соответствии с приложением № 11 к Основам ценообразования в отношении каждого относящегося к виду k оборудования в зависимости от срока его эксплуатации;
Rr - региональный коэффициент, определяемый в соответствии с приложением № 9 к Основам ценообразования;
Mr - коэффициент распределения сетей территориальных сетевых организаций, определяемый в соответствии с приложением № 10 к Основам ценообразования.
При определении операционных расходов по формуле абзаца второго настоящего пункта в отношении территориальных сетевых организаций, у которых более 80 процентов количества условных единиц, относящихся к объектам электросетевого хозяйства, участвующих в регулируемой деятельности, расположено на территориях городских населенных пунктов в соответствии с данными первичного бухгалтерского учета, к значениям эталонов затрат территориальных сетевых организаций дополнительно применяется понижающий коэффициент 0,9 (за исключением территориальных сетевых организаций, осуществляющих регулируемую деятельность на территориях городов федерального значения).
При определении операционных расходов по формуле абзаца второго настоящего пункта в отношении территориальных сетевых организаций, оказывающих услуги по передаче электрической энергии на территории субъекта Российской Федерации, часть территории которого отнесена к районам Крайнего Севера и местностям, приравненным к районам Крайнего Севера, и на указанной части территории субъекта Российской Федерации расположено более 80 процентов общего количества условных единиц, относящихся к активам и объектам электросетевого хозяйства территориальной сетевой организации, участвующих в регулируемой деятельности, учитывается коэффициент 1,7, соответствующий уровню оплаты труда в районах Крайнего Севера и приравненных к ним местностях. Положения настоящего абзаца не применяются в случае отнесения всей территории субъекта Российской Федерации к районам Крайнего Севера и местностям, приравненным к районам Крайнего Севера.
13(2). Для территориальных сетевых организаций, являющихся единым хозяйствующим субъектом железнодорожного транспорта или дочерним (зависимым) обществом такого субъекта, которое владеет инфраструктурой железнодорожного транспорта общего пользования, или права акционера или собственника имущества которых осуществляют Российская Федерация в лице Министерства обороны Российской Федерации и (или) подведомственные Министерству обороны Российской Федерации организации, операционные расходы, определяемые с применением эталонов затрат территориальных сетевых организаций и учитываемые при установлении тарифов на услуги по передаче электрической энергии
, рассчитываются по формуле:
![]()
где:
- коэффициент приведения эталонов затрат, определяемый в соответствии с приложением № 12 к Основам ценообразования.
13(3). Для территориальных сетевых организаций, указанных в пунктах 13(1), 13(2) Методических указаний, величина операционных расходов, учитываемая в тарифах на услуги по передаче электрической энергии на 2026, 2027 годы (
,
), рассчитывается по формулам:
![]()
![]()
где:
,
- операционные расходы, определенные соответственно на 2026, 2027 годы с применением эталонов затрат территориальных сетевых организаций в соответствии с формулой абзаца второго пункта 13(1) Методических указаний или абзаца второго пункта 13(2) Методических указаний;
ОР2026, ОР2027 - операционные расходы, определенные соответственно на 2026, 2027 годы:
- с применением метода экономически обоснованных расходов (затрат) в случае если 2026 или 2027 год является первым годом долгосрочного периода регулирования территориальной сетевой организации;
- с применением метода экономически обоснованных расходов (затрат) на 2026 год с учетом индексации на индекс потребительских цен в соответствии с параметрами прогноза социально-экономического развития Российской Федерации и индекс изменения количества активов (без учета коэффициента эластичности операционных расходов) в случае если 2027 год является вторым годом долгосрочного периода регулирования территориальной сетевой организации;
- учтенных при установлении тарифов на услуги по передаче электрической энергии на 2025 год операционных расходов, проиндексированных на индексы потребительских цен в соответствии с параметрами прогноза социально-экономического развития Российской Федерации и индексы изменения количества активов (без учета коэффициента эластичности операционных расходов) в случае если 2026 год и 2027 год являются очередными годами долгосрочного периода регулирования территориальной сетевой организации.".
4. Предложение третье пункта 14 после слов "При установлении базового уровня операционных расходов" дополнить словами "методом экономически обоснованных расходов (затрат)".
5. Дополнить пунктами 19(1) - 19(4) следующего содержания:
"19(1). Для территориальных сетевых организаций, за исключением указанных в пункте 19(2) Методических указаний, скорректированная величина операционных расходов, определяемых с применением эталонов затрат территориальных сетевых организаций
, рассчитывается по формуле:
![]()
где:
- скорректированное среднегодовое (среднее за 12 месяцев) количество относящегося к виду k оборудования, планируемого к эксплуатации в соответствующем году i долгосрочного периода регулирования. При наличии известных фактических значений используется фактическое среднегодовое (среднее за 12 месяцев) количество относящегося к виду k оборудования, которое определяется с учетом фактического количества оборудования без учета месяца ввода в эксплуатацию. В отношении территориальных сетевых организаций, необходимая валовая выручка которых с учетом расходов на оплату потерь и оплату услуг других территориальных сетевых организаций за 3 последних периода регулирования превысила 10 процентов суммарной необходимой валовой выручки территориальных сетевых организаций, учтенной при установлении единых (котловых) тарифов на услуги по передаче электрической энергии, дополнительно учитывается среднегодовое (среднее за 12 месяцев) количество относящегося к виду k оборудования, планируемого к вводу в соответствующем году долгосрочного периода регулирования, в том числе в соответствии с долгосрочной инвестиционной программой, определяемое без учета месяца ввода в эксплуатацию.
При определении скорректированных операционных расходов по формуле абзаца второго настоящего пункта в отношении территориальных сетевых организаций, у которых более 80 процентов количества условных единиц, относящихся к объектам электросетевого хозяйства, участвующих в регулируемой деятельности, расположено на территориях городских населенных пунктов в соответствии с данными первичного бухгалтерского учета, к значениям эталонов затрат территориальных сетевых организаций дополнительно применяется понижающий коэффициент 0,9 (за исключением территориальных сетевых организаций, осуществляющих регулируемую деятельность на территориях городов федерального значения).
При определении скорректированных операционных расходов по формуле абзаца второго настоящего пункта в отношении территориальных сетевых организаций, оказывающих услуги по передаче электрической энергии на территории субъекта Российской Федерации, часть территории которого отнесена к районам Крайнего Севера и местностям, приравненным к районам Крайнего Севера, и на указанной части территории субъекта Российской Федерации расположено более 80 процентов общего количества условных единиц, относящихся к активам и объектам электросетевого хозяйства территориальной сетевой организации, участвующих в регулируемой деятельности, учитывается коэффициент 1,7, соответствующий уровню оплаты труда в районах Крайнего Севера и приравненных к ним местностях. Положения настоящего абзаца не применяются в случае отнесения всей территории субъекта Российской Федерации к районам Крайнего Севера и местностям, приравненным к районам Крайнего Севера.
19(2). Для территориальных сетевых организаций, являющихся единым хозяйствующим субъектом железнодорожного транспорта или дочерним (зависимым) обществом такого субъекта, которое владеет инфраструктурой железнодорожного транспорта общего пользования, или права акционера или собственника имущества которых осуществляют Российская Федерация в лице Министерства обороны Российской Федерации и (или) подведомственные Министерству обороны Российской Федерации организации, скорректированная величина операционных расходов, определяемых с применением эталонов затрат территориальных сетевых организаций
, рассчитывается по формуле:
![]()
19(3). Для территориальных сетевых организаций, указанных в пунктах 19(1), 19(2) Методических указаний, скорректированная величина операционных расходов, учитываемая в тарифах на услуги по передаче электрической энергии на 2026, 2027 годы (
,
) рассчитывается по формулам:
![]()
![]()
где:
,
- скорректированные операционные расходы, определенные соответственно на 2026, 2027 гг с применением эталонов затрат территориальных сетевых организаций в соответствии с формулой абзаца второго пункта 19(1) или абзаца второго пункта 19(2) Методических указаний;
,
- скорректированные операционные расходы, определенные соответственно на 2026, 2027 годы:
- с применением метода экономически обоснованных расходов (затрат) в случае если 2026 или 2027 год является первым годом долгосрочного периода регулирования территориальной сетевой организации;
- с применением метода экономически обоснованных расходов (затрат) на 2026 год с учетом индексации на индекс потребительских цен в соответствии с параметрами прогноза социально-экономического развития Российской Федерации и индекс изменения количества активов (без учета коэффициента эластичности операционных расходов) в случае если 2027 год является вторым годом долгосрочного периода регулирования территориальной сетевой организации;
- учтенных при установлении тарифов на услуги по передаче электрической энергии на 2025 год операционных расходов, проиндексированных на индексы потребительских цен в соответствии с параметрами прогноза социально-экономического развития Российской Федерации и индексы изменения количества активов (без учета коэффициента эластичности операционных расходов) в случае если 2026 год и 2027 год являются очередными годами долгосрочного периода регулирования территориальной сетевой организации.
19(4). При определении операционных расходов в соответствии с абзацами седьмым - девятым пункта 13(3) Методических указаний, абзацами седьмым - девятым пункта 19(3) Методических указаний должно соблюдаться условие непревышения удельной величины операционных расходов территориальной сетевой организации в расчете на единицу количества активов, необходимых для осуществления регулируемой деятельности, над удельной величиной операционных расходов территориальной сетевой организации, которая соответствует на очередной период регулирования критериям отнесения территориальной сетевой организации к крупнейшей территориальной сетевой организации в административных границах субъекта Российской Федерации, предусмотренным приложением № 3(1) к Основам ценообразования, в расчете на единицу количества активов, необходимых для осуществления регулируемой деятельности в очередном периоде регулирования.".
6. Подпункт 3 пункта 20 изложить в следующей редакции:
"3) налог на прибыль организаций и другие обязательные налоги, платежи и сборы, расходы на уплату страховых взносов на обязательное пенсионное страхование, на обязательное социальное страхование на случай временной нетрудоспособности и в связи с материнством, обязательное медицинское страхование, взносов на обязательное социальное страхование от несчастных случаев на производстве и профессиональных заболеваний;".
7. Абзац шестой пункта 23 изложить в следующей редакции:
"
- скорректированные операционные расходы на год i, определяемые в соответствии с пунктом 19 Методических указаний или в соответствии с пунктами 19(1) - 19(3) Методических указаний в случае применения эталонов затрат территориальных сетевых организаций;".
8. В пункте 42:
а) абзац тридцать первый изложить в следующей редакции:
"
- компенсация операционных расходов, связанная с изменением фактического индекса инфляции и объема условных единиц, по отношению к учтенным при установлении тарифа значениям, определяемая по формуле абзаца тридцать второго настоящего пункта или по формуле абзаца второго пункта 42(1) Методических указаний в случае применения эталонов затрат территориальных сетевых организаций. Компенсация может принимать как положительные, так и отрицательные значения.";
б) абзац сорок третий дополнить словами ", за исключением корректировки операционных расходов, определенных с применением эталонов затрат территориальных сетевых организаций.".
9. Дополнить пунктом 42(1) следующего содержания:
"42(1). В отношении указанных в пункте 38(4) Основ ценообразования территориальных сетевых организаций, операционные расходы которых определяются с применением эталонов затрат территориальных сетевых организаций, корректировка операционных расходов в связи с изменением планируемых параметров расчета тарифов
рассчитывается по формуле:
![]()
где:
- операционные расходы, определенные исходя из фактического количества относящегося к виду k оборудования в году i-2, тыс. руб.;
- операционные расходы, учтенные при установлении тарифов на год i-2.
Для территориальных сетевых организаций, за исключением территориальных сетевых организаций, являющихся единым хозяйствующим субъектом железнодорожного транспорта или дочерним (зависимым) обществом такого субъекта, которое владеет инфраструктурой железнодорожного транспорта общего пользования, или права акционера или собственника имущества которых осуществляют Российская Федерация в лице Министерства обороны Российской Федерации и (или) подведомственные Министерству обороны Российской Федерации организации,
определяются по формуле:
![]()
где:
- фактическое среднегодовое (среднее за 12 месяцев) количество относящегося к виду k оборудования в году i-2;
- фактический совокупный композитный индекс.
Для территориальных сетевых организаций, являющихся единым хозяйствующим субъектом железнодорожного транспорта или дочерним (зависимым) обществом такого субъекта, которое владеет инфраструктурой железнодорожного транспорта общего пользования, или права акционера или собственника имущества которых осуществляют Российская Федерация в лице Министерства обороны Российской Федерации и (или) подведомственные Министерству обороны Российской Федерации организации,
определяются по формуле:
![]()
Фактический совокупный композитный индекс
определяется по формуле:

где:
- прирост среднемесячной начисленной заработной платы работников организаций, установленный прогнозом социально-экономического развития Российской Федерации на год (j);
- прирост минимальной месячной тарифной ставки рабочих первого разряда промышленно-производственного персонала в году (j) по отношению к году (j-1) в соответствии с отраслевыми тарифными соглашениями в электроэнергетике Российской Федерации с учетом применения регионального повышающего коэффициента;
- индекс цен производителей, в том числе без продукции топливно-энергетического комплекса (нефть, нефтепродукты, уголь, газ, энергетика), установленный прогнозом социально-экономического развития Российской Федерации на год (j);
Iэффект - индекс эффективности, определяемый в соответствии с пунктом 38(4) Основ ценообразования.
При отсутствии территориальной сетевой организации в реестре организаций, на которых распространяется действие отраслевого тарифного соглашения в электроэнергетике Российской Федерации, величина фактического совокупного композитного индекса
определяется без учета
.
При определении операционных расходов по формуле абзаца седьмого настоящего пункта, в отношении территориальных сетевых организаций, у которых более 80 процентов количества условных единиц, относящихся к объектам электросетевого хозяйства, участвующих в регулируемой деятельности, расположено на территориях городских населенных пунктов в соответствии с данными первичного бухгалтерского учета, к значениям эталонов затрат территориальных сетевых организаций дополнительно применяется понижающий коэффициент 0,9 (за исключением территориальных сетевых организаций, осуществляющих регулируемую деятельность на территориях городов федерального значения).
При определении операционных расходов по формуле абзаца седьмого настоящего пункта в отношении территориальных сетевых организаций, оказывающих услуги по передаче электрической энергии на территории субъекта Российской Федерации, часть территории которого отнесена к районам Крайнего Севера и местностям, приравненным к районам Крайнего Севера, и на указанной части территории субъекта Российской Федерации расположено более 80 процентов общего количества условных единиц, относящихся к активам и объектам электросетевого хозяйства территориальной сетевой организации, участвующих в регулируемой деятельности, учитывается коэффициент 1,7, соответствующий уровню оплаты труда в районах Крайнего Севера и приравненных к ним местностях. Положения настоящего абзаца не применяются в случае отнесения всей территории субъекта Российской Федерации к районам Крайнего Севера и местностям, приравненным к районам Крайнего Севера.
Расчет корректировки операционных расходов, определяемых с применением эталонов затрат территориальных сетевых организаций, по итогам деятельности в 2026 и 2027 годах (
,
) осуществляется по формулам:
![]()
![]()
где:
,
_ корректировка операционных расходов, рассчитанная по формуле абзаца второго настоящего пункта, при этом в качестве величины операционных расходов, учтенных при установлении тарифов на год i-2
, принимается величина операционных расходов, определенных с применением эталонов затрат территориальных сетевых организаций в соответствии с формулой абзаца второго пункта 13(1) или абзаца второго пункта 13(2) Методических указаний или абзаца второго пункта 19(1) или абзаца второго пункта 19(2) Методических указаний;
,
- корректировка операционных расходов, рассчитанная как разность между фактической и плановой величинами операционных расходов, определенными в соответствии с абзацами седьмым - девятым пункта 13(3) Методических указаний или абзацами седьмым - девятым пункта 19(3) Методических указаний при соблюдении условия пункта 19(4) Методических указаний.".

