Приказ Федерального медико-биологического агентства от 20.10.2025 № 229 "Об утверждении Порядка определения коэффициентов приведения, применяемых при формировании обоснований бюджетных ассигнований федерального бюджета на очередной финансовый год и плановый период в целях уточнения объема финансового обеспечения выполнения государственного задания на оказание государственных услуг в отношении отдельного федерального бюджетного или автономного учреждения, в отношении которого Федеральное медико-биологическое агентство осуществляет функции и полномочия учредителя"
Министерство юстиции
Российской Федерации
ЗАРЕГИСТРИРОВАНО
Регистрационный № 84230
от 20 ноября 2025 г.
ФЕДЕРАЛЬНОЕ МЕДИКО-БИОЛОГИЧЕСКОЕ АГЕНТСТВО
ПРИКАЗ
Москва
20 октября 2025 г. № 229
Об утверждении Порядка определения коэффициентов приведения, применяемых при формировании обоснований бюджетных ассигнований федерального бюджета на очередной финансовый год и плановый период в целях уточнения объема финансового обеспечения выполнения государственного задания на оказание государственных услуг в отношении отдельного федерального бюджетного или автономного учреждения, в отношении которого Федеральное медико-биологическое агентство осуществляет функции и полномочия учредителя
В соответствии с пунктом 26(1) Положения о формировании государственного задания на оказание государственных услуг (выполнение работ) в отношении федеральных государственных учреждений и финансовом обеспечении выполнения государственного задания, утвержденного постановлением Правительства Российской Федерации от 26 июня 2015 г № 640, приказываю:
Утвердить прилагаемый Порядок определения коэффициентов приведения, применяемых при формировании обоснований бюджетных ассигнований федерального бюджета на очередной финансовый год и плановый период в целях уточнения объема финансового обеспечения выполнения государственного задания на оказание государственных услуг в отношении отдельного федерального бюджетного или автономного учреждения, в отношении которого Федеральное медико-биологическое агентство осуществляет функции и полномочия учредителя.
Руководитель В.И.Скворцова
Приложение
к приказу Федерального медико-биологического агентства
от 20 октября 2025 г. № 229
Порядок определения коэффициентов приведения, применяемых при формировании обоснований бюджетных ассигнований федерального бюджета на очередной финансовый год и плановый период в целях уточнения объема финансового обеспечения выполнения государственного задания на оказание государственных услуг в отношении отдельного федерального бюджетного или автономного учреждения, в отношении которого Федеральное медико-биологическое агентство осуществляет функции и полномочия учредителя
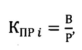
1. Коэффициент приведения (КПР i) применяется в отношении отдельного федерального бюджетного или автономного учреждения, в отношении которого Федеральное медико-биологическое агентство осуществляет функции и полномочия учредителя, отдельно для каждой составляющей нормативных затрат на оказание государственных услуг, используемых при формировании обоснований бюджетных ассигнований федерального бюджета на очередной финансовый год и плановый период для определения объема финансового обеспечения выполнения государственного задания на оказание государственных услуг, в отношении которых имеется необходимость изменения соответствующих значений (далее - нормативные затраты, коэффициент приведения, государственное задание, учреждение, учредитель), и определяется по формуле:

где:
В - предельный объем бюджетных ассигнований, предусмотренных учреждению на финансовое обеспечение выполнения государственного задания в соответствии с расчетом базовых бюджетных ассигнований на основании абзаца третьего пункта 2 Правил составления проекта федерального бюджета и проектов бюджетов государственных внебюджетных фондов Российской Федерации на очередной финансовый год и плановый период, утвержденных постановлением Правительства Российской Федерации от 24 марта 2018 г. № 326, а также согласованными предложениями по перераспределению предельных базовых бюджетных ассигнований между главными распорядителями средств федерального бюджета и дополнительными бюджетными ассигнованиями, предоставленными ответственными исполнителями государственных программ Российской Федерации;
Р - объем финансового обеспечения выполнения государственного задания, определенный в соответствии с пунктом 12 Положения о формировании государственного задания на оказание государственных услуг (выполнение работ) в отношении федеральных государственных учреждений и финансовом обеспечении выполнения государственного задания, утвержденного постановлением Правительства Российской Федерации от 26 июня 2015 г. № 640, предусмотренный отдельному учреждению на оказание соответствующей государственной услуги.
2. В целях формирования обоснований бюджетных ассигнований на предоставление субсидий учреждениям на финансовое обеспечение государственного задания в государственной интегрированной информационной системе управления общественными финансами "Электронный бюджет", функционирующей в соответствии с Положением о государственной интегрированной информационной системе управления общественными финансами "Электронный бюджет", утвержденным постановлением Правительства Российской Федерации от 30 июня 2015 г. № 658, используется показатель значения коэффициента приведения в абсолютном выражении (КЭБ), определяемый по формуле:
КЭБ = Р х (Кпр i - 1).
3. Определение коэффициента приведения допускается в случаях:
1) доведения значений нормативных затрат в целях сохранения целевых показателей по соотношению среднего уровня заработной платы отдельных категорий работников, определенных Указом Президента Российской Федерации от 7 мая 2012 г. № 597 "О мероприятиях по реализации государственной социальной политики", к средней заработной плате в соответствующем субъекте Российской Федерации;
2) реализации исполнения отдельных поручений (решений) Президента Российской Федерации и Правительства Российской Федерации;
3) индексации нормативных затрат на прогнозный уровень инфляции (индекс роста потребительских цен) в соответствии с прогнозом социально-экономического развития Российской Федерации;
4) наличия информации, раскрывающей структуру затрат на выполнение государственного задания, с приложением соответствующих обосновывающих материалов, свидетельствующих о недостатке финансирования на:
содержание работников с учетом объема планируемых расходов;
административно-хозяйственные нужды, в том числе расходы на аренду недвижимого имущества, на содержание, ремонт и обслуживание собственного и арендованного имущества, коммунальные расходы, расходы на услуги связи, на транспортные услуги, на приобретение основных средств и материальных запасов, на приобретение программного обеспечения, техническое сопровождение и разработку программного обеспечения, командировочные расходы с учетом объема планируемых расходов;
5) отдельных решений учредителя при наличии информации, раскрывающей отличие (особенности) материально-технической (имущественной) базы учреждения, отражающей отраслевую специфику, которая не предусмотрена федеральным органом исполнительной власти, осуществляющим функции по выработке государственной политики и нормативно-правовому регулированию в установленной сфере деятельности, в части отраслевых коэффициентов.

