Постановление Правительства Российской Федерации от 19.09.2025 № 1445 "О внесении изменений в постановление Правительства Российской Федерации от 15 апреля 2014 г. № 316"
ПРАВИТЕЛЬСТВО РОССИЙСКОЙ ФЕДЕРАЦИИ
ПОСТАНОВЛЕНИЕ
от 19 сентября 2025 г. № 1445
МОСКВА
О внесении изменений в постановление Правительства Российской Федерации от 15 апреля 2014 г. № 316
Правительство Российской Федерации постановляет:
Утвердить прилагаемые изменения, которые вносятся в государственную программу Российской Федерации "Экономическое развитие и инновационная экономика", утвержденную постановлением Правительства Российской Федерации от 15 апреля 2014 г. № 316 "Об утверждении государственной программы Российской Федерации "Экономическое развитие и инновационная экономика" (Собрание законодательства Российской Федерации, 2014, № 18, ст. 2162; 2021, № 16, ст. 2761; 2022, № 1, ст. 142, 153, 161, 192; № 18, ст. 3100; № 23, ст. 3811; 2023, № 17, ст. 3161; № 25, ст. 4593; 2024, № 13, ст. 1784; № 21, ст. 2776; № 25, ст. 3513; № 50, ст. 7778, 7779; № 52, ст. 8345).
Председатель Правительства
Российской Федерации М.Мишустин
УТВЕРЖДЕНЫ
постановлением Правительства
Российской Федерации
от 19 сентября 2025 г. № 1445
ИЗМЕНЕНИЯ,
которые вносятся в государственную программу Российской Федерации "Экономическое развитие и инновационная экономика"
1. Раздел II дополнить абзацем следующего содержания:
"Правила предоставления и распределения в 2025 году субсидий из федерального бюджета, источником финансового обеспечения которых являются бюджетные ассигнования резервного фонда Правительства Российской Федерации, бюджетам субъектов Российской Федерации в целях софинансирования расходных обязательств субъектов Российской Федерации, возникающих при реализации мероприятия, направленного на предоставление субъектам малого и среднего предпринимательства услуг и мер поддержки центрами поддержки экспорта, в субъектах Российской Федерации, приведены в приложении № 51.".
2. Дополнить приложением № 51 следующего содержания:
"ПРИЛОЖЕНИЕ № 51
к государственной программе
Российской Федерации "Экономическое развитие и инновационная экономика"
ПРАВИЛА
предоставления и распределения в 2025 году субсидий из федерального бюджета, источником финансового обеспечения которых являются бюджетные ассигнования резервного фонда Правительства Российской Федерации, бюджетам субъектов Российской Федерации в целях софинансирования расходных обязательств субъектов Российской Федерации, возникающих при реализации мероприятия, направленного на предоставление субъектам малого и среднего предпринимательства услуг и мер поддержки центрами поддержки экспорта, в субъектах Российской Федерации
1. Настоящие Правила устанавливают цели, условия и порядок предоставления и распределения в 2025 году субсидий из федерального бюджета, источником финансового обеспечения которых являются бюджетные ассигнования резервного фонда Правительства Российской Федерации, бюджетам субъектов Российской Федерации в целях софинансирования расходных обязательств субъектов Российской Федерации, возникающих при реализации мероприятия, направленного на предоставление субъектам малого и среднего предпринимательства услуг и мер поддержки центрами поддержки экспорта, в субъектах Российской Федерации, в рамках государственной программы Российской Федерации "Экономическое развитие и инновационная экономика" (далее - субсидии).
Субсидии предоставляются в целях софинансирования расходных обязательств субъектов Российской Федерации, возникающих при реализации региональных проектов, обеспечивающих достижение целей, показателей и результатов федерального проекта "Системные меры развития международной кооперации и экспорта" национального проекта "Международная кооперация и экспорт", предусматривающих оказание поддержки субъектам малого и среднего предпринимательства.
Результат использования субсидий - субъектами малого и среднего предпринимательства осуществлен экспорт товаров (работ, услуг) при участии центров поддержки экспорта.
2. Предоставление субсидий осуществляется в пределах лимитов бюджетных обязательств, доведенных в установленном порядке до Министерства экономического развития Российской Федерации как получателя средств федерального бюджета на предоставление субсидий на цели, указанные в пункте 1 настоящих Правил.
3. Министерство экономического развития Российской Федерации определяет:
а) перечень и формы документов, а также сроки и порядок их представления субъектами Российской Федерации в Министерство экономического развития Российской Федерации для рассмотрения (согласования) мероприятия, указанного в пункте 1 настоящих Правил;
б) формы, сроки и порядок представления субъектами Российской Федерации документов, предусматривающих направления расходования (сметы) субсидий, ключевые показатели эффективности реализации мероприятия, указанного в пункте 1 настоящих Правил.
4. Субсидии из федерального бюджета предоставляются при соблюдении субъектом Российской Федерации условий, предусмотренных абзацами вторым - четвертым пункта 8 Правил формирования, предоставления и распределения субсидий из федерального бюджета бюджетам субъектов Российской Федерации, утвержденных постановлением Правительства Российской Федерации от 30 сентября 2014 г. № 999 "О формировании, предоставлении и распределении субсидий из федерального бюджета бюджетам субъектов Российской Федерации" (далее - Правила формирования, предоставления и распределения субсидий).
5. Критериями отбора субъектов Российской Федерации для предоставления субсидий являются:
а) соответствие мероприятия, указанного в заявке субъекта Российской Федерации на получение субсидии по форме согласно приложению (далее - заявка), мероприятию, указанному в пункте 1 настоящих Правил;
б) наличие центра поддержки экспорта, созданного в соответствии с требованиями, установленными Министерством экономического развития Российской Федерации, или принятие высшим исполнительным органом субъекта Российской Федерации обязательства по его созданию в субъекте Российской Федерации;
в) уровень расчетной бюджетной обеспеченности субъекта Российской Федерации до распределения дотаций, рассчитываемый Министерством финансов Российской Федерации в соответствии с методикой распределения дотаций на выравнивание бюджетной обеспеченности субъектов Российской Федерации, утвержденной постановлением Правительства Российской Федерации от 22 ноября 2004 г. № 670 "О распределении дотаций на выравнивание бюджетной обеспеченности субъектов Российской Федерации", который в 2025 году составляет менее 1,3.
6. Расчетный размер субсидии, предоставляемой бюджету i-го субъекта Российской Федерации (
), определяется по формуле:
,
где:
С - общий объем бюджетных ассигнований, предусмотренных в федеральном бюджете на предоставление субсидий в 2025 году в целях софинансирования расходных обязательств субъектов Российской Федерации, возникающих при реализации мероприятия, указанного в пункте 1 настоящих Правил;
n - общее количество субъектов Российской Федерации, которым предоставляются субсидии;
- предельный уровень софинансирования расходных обязательств i-го субъекта Российской Федерации, установленный в соответствии с положениями Правил формирования, предоставления и распределения субсидий;
- групповой коэффициент, характеризующий уровень экспортного развития или экспортного потенциала в i-м субъекте Российской Федерации, на 1 января 2025 г.:
равный 5, - если коэффициент, характеризующий количество субъектов малого и среднего предпринимательства, в том числе экспортеров, общий объем несырьевого неэнергетического экспорта, отраслевую и страновую диверсификацию в i-м субъекте Российской Федерации на 1 января 2025 г. (
), больше или равен 4,8, субъекты Российской Федерации относятся к 5 группе с высоким уровнем экспортного развития;
равный 4, - если коэффициент, характеризующий количество субъектов малого и среднего предпринимательства, в том числе экспортеров, общий объем несырьевого неэнергетического экспорта, отраслевую и страновую диверсификацию в i-м субъекте Российской Федерации на 1 января 2025 г. (
), больше или равен 4 и меньше 4,8, субъекты Российской Федерации относятся к 4 группе с достаточным уровнем экспортного развития;
равный 3, - если коэффициент, характеризующий количество субъектов малого и среднего предпринимательства, в том числе экспортеров, общий объем несырьевого неэнергетического экспорта, отраслевую и страновую диверсификацию в i-м субъекте Российской Федерации на 1 января 2025 г. (
), больше или равен 3 и меньше 4, субъекты Российской Федерации относятся к 3 группе с умеренным уровнем экспортного развития;
равный 2, - если коэффициент, характеризующий количество субъектов малого и среднего предпринимательства, в том числе экспортеров, общий объем несырьевого неэнергетического экспорта, отраслевую и страновую диверсификацию в i-м субъекте Российской Федерации на 1 января 2025 г. (
), больше или равен 1,6 и меньше 3, субъекты Российской Федерации относятся к 2 группе с экспортным потенциалом;
равный нулю, - если коэффициент, характеризующий количество субъектов малого и среднего предпринимательства, в том числе экспортеров, общий объем несырьевого неэнергетического экспорта, отраслевую и страновую диверсификацию в i-м субъекте Российской Федерации на 1 января 2025 г. (
), меньше 1,6, а также в случае, если отсутствуют данные о количестве субъектов малого и среднего предпринимательства, в том числе экспортеров, общем объеме несырьевого неэнергетического экспорта, отраслевой и страновой диверсификации в i-м субъекте Российской Федерации на 1 января 2025 г. (за исключением Донецкой Народной Республики и Луганской Народной Республики, для которых групповой коэффициент, характеризующий уровень экспортного развития или экспортного потенциала, равен 2, и Запорожской области и Херсонской области, для которых групповой коэффициент, характеризующий уровень экспортного развития или экспортного потенциала, равен 1), субъекты Российской Федерации относятся к 1 группе с формирующимся экспортным потенциалом;
- коэффициент, характеризирующий уровень эффективности использования субсидии:
равный 1,5, - если уровень эффективности i-го центра поддержки экспорта больше или равен 30;
равный 1,25, - если уровень эффективности i-го центра поддержки экспорта больше или равен 15 и меньше 30;
равный 1, - если уровень эффективности i-го центра поддержки экспорта больше или равен 7 и меньше 15;
равный 0,5, - если уровень эффективности i-го центра поддержки экспорта больше или равен 1 и меньше 7 или годовой объем бюджетных ассигнований федерального и регионального бюджетов, направленных на создание и (или) развитие центра поддержки экспорта i-го субъекта Российской Федерации, в 2024 году равен нулю;
равный нулю, - если уровень эффективности i-го центра поддержки экспорта меньше 1, за исключением Донецкой Народной Республики, Луганской Народной Республики, Запорожской области, Херсонской области, для которых коэффициент, характеризирующий уровень эффективности использования субсидии, равен 1;
- коэффициент, характеризующий позицию i-го субъекта Российской Федерации в рейтинге центров поддержки экспорта по итогам года, который формируется акционерным обществом "Российский экспортный центр" по состоянию на 1 января 2025 г. в соответствии с методикой формирования рейтинга центров поддержки экспорта, установленной Министерством экономического развития Российской Федерации:
равный 1,5, - для субъектов Российской Федерации, центры поддержки экспорта которых занимают в рейтинге места с 1-го по 27-е;
равный 1,25, - для субъектов Российской Федерации, центры поддержки экспорта которых занимают в рейтинге места с 28-го по 54-е;
равный 1, - для субъектов Российской Федерации, центры поддержки экспорта которых занимают в рейтинге места с 55-го и ниже, а также для субъектов Российской Федерации, у которых годовой объем бюджетных ассигнований в бюджете субъекта Российской Федерации на исполнение расходных обязательств субъекта Российской Федерации, в целях софинансирования которых предоставляется субсидия, предусмотренная настоящим пунктом, включающий размер такой субсидии и размер средств бюджета субъекта Российской Федерации на исполнение указанных расходных обязательств, направленных на создание и (или) развитие i-го центра поддержки экспорта, по состоянию на 1 января 2025 г. равен нулю;
- коэффициент, характеризующий уровень бюджетной обеспеченности в i-м субъекте Российской Федерации:
равный 1, - при уровне бюджетной обеспеченности i-го субъекта Российской Федерации меньше 0,9;
равный 0,75, - при уровне бюджетной обеспеченности i-го субъекта Российской Федерации от 0,9 включительно до 1;
равный 0,5, - при уровне бюджетной обеспеченности i-го субъекта Российской Федерации от 1 включительно до 1,1;
равный 0,25, - при уровне бюджетной обеспеченности i-го субъекта Российской Федерации от 1,1 включительно до 1,3.
7. Коэффициент, характеризующий количество субъектов малого и среднего предпринимательства, в том числе экспортеров, общий объем несырьевого неэнергетического экспорта, отраслевую и страновую диверсификацию в i-м субъекте Российской Федерации на 1 января 2025 г. (
), определяется по формуле:
,
где:
- коэффициент, характеризующий общее количество зарегистрированных субъектов малого и среднего предпринимательства в i-м субъекте Российской Федерации и осуществляющих в качестве основной деятельности относящуюся к классам разделов А, C, G, J (за исключением класса 33 раздела С, класса 47 раздела G и классов 60 - 63 раздела J) Общероссийского классификатора видов экономической деятельности ОК 029-2014 (КДЕС Ред. 2), на 10 января 2025 г., по данным Федеральной налоговой службы:
равный 5, - если в i-м субъекте Российской Федерации количество зарегистрированных субъектов малого и среднего предпринимательства больше или равно 30 тыс.;
равный 4, - если в i-м субъекте Российской Федерации количество зарегистрированных субъектов малого и среднего предпринимательства больше или равно 20 тыс.;
равный 3, - если в i-м субъекте Российской Федерации количество зарегистрированных субъектов малого и среднего предпринимательства больше или равно 10 тыс.;
равный 2, - если в i-м субъекте Российской Федерации количество зарегистрированных субъектов малого и среднего предпринимательства больше или равно 3,5 тыс.;
равный 1, - если в i-м субъекте Российской Федерации количество зарегистрированных субъектов малого и среднего предпринимательства меньше 3,5 тыс.;
- коэффициент, характеризующий количество субъектов малого и среднего предпринимательства, зарегистрированных в i-м субъекте Российской Федерации, являющихся экспортерами, за 2024 год, по данным акционерного общества "Российский экспортный центр":
равный 5, - если в i-м субъекте Российской Федерации количество субъектов малого и среднего предпринимательства, являющихся экспортерами, больше или равно 1000;
равный 4, - если в i-м субъекте Российской Федерации количество субъектов малого и среднего предпринимательства, являющихся экспортерами, больше или равно 500;
равный 3, - если в i-м субъекте Российской Федерации количество субъектов малого и среднего предпринимательства, являющихся экспортерами, больше или равно 200;
равный 2, - если в i-м субъекте Российской Федерации количество субъектов малого и среднего предпринимательства, являющихся экспортерами, больше или равно 40;
равный 1, - если в i-м субъекте Российской Федерации количество субъектов малого и среднего предпринимательства, являющихся экспортерами, меньше 40;
- коэффициент, характеризующий общий объем несырьевого неэнергетического экспорта субъектов малого и среднего предпринимательства в i-м субъекте Российской Федерации, за 2024 год, по данным акционерного общества "Российский экспортный центр":
равный 5, - если в i-м субъекте Российской Федерации объем несырьевого неэнергетического экспорта субъектов малого и среднего предпринимательства больше или равен 400 млн. долларов США;
равный 4, - если в i-м субъекте Российской Федерации объем несырьевого неэнергетического экспорта субъектов малого и среднего предпринимательства больше или равен 150 млн. долларов США;
равный 3, - если в i-м субъекте Российской Федерации объем несырьевого неэнергетического экспорта субъектов малого и среднего предпринимательства больше или равен 50 млн. долларов США;
равный 2, - если в i-м субъекте Российской Федерации объем несырьевого неэнергетического экспорта субъектов малого и среднего предпринимательства больше или равен 25 млн. долларов США;
равный 1, - если в i-м субъекте Российской Федерации объем несырьевого неэнергетического экспорта субъектов малого и среднего предпринимательства меньше 25 млн. долларов США;
- коэффициент, характеризующий отраслевую диверсификацию i-го субъекта Российской Федерации (количество товарных позиций до 4-го знака), за 2024 год, по данным акционерного общества "Российский экспортный центр":
равный 5, - если в i-м субъекте Российской Федерации количество товарных позиций до 4-го знака больше или равно 330;
равный 4, - если в i-м субъекте Российской Федерации количество товарных позиций до 4-го знака больше или равно 250;
равный 3, - если в i-м субъекте Российской Федерации количество товарных позиций до 4-го знака больше или равно 150;
равный 2, - если в i-м субъекте Российской Федерации количество товарных позиций до 4-го знака больше или равно 35;
равный 1, - если в i-м субъекте Российской Федерации количество товарных позиций до 4-го знака меньше 35;
- коэффициент, характеризующий страновую диверсификацию i-го субъекта Российской Федерации (количество стран, в которые осуществляются экспортные поставки), за 2024 год, по данным акционерного общества "Российский экспортный центр":
равный 5, - если в i-м субъекте Российской Федерации количество стран, в которые осуществляются экспортные поставки, больше или равно 70;
равный 4, - если в i-м субъекте Российской Федерации количество стран, в которые осуществляются экспортные поставки, больше или равно 50;
равный 3, - если в i-м субъекте Российской Федерации количество стран, в которые осуществляются экспортные поставки, больше или равно 30;
равный 2, - если в i-м субъекте Российской Федерации количество стран, в которые осуществляются экспортные поставки, больше 10;
равный 1, - если в i-м субъекте Российской Федерации количество стран, в которые осуществляются экспортные поставки, меньше или равно 10.
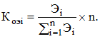
8. Уровень эффективности i-го центра поддержки экспорта (Эi) рассчитывается следующим образом:
,
где:
- годовой объем поддержанного экспорта центра поддержки экспорта i-го субъекта Российской Федерации по состоянию на 1 января 2025 г., в рублях по курсу Центрального банка Российской Федерации по состоянию на 1 января 2025 г.;
- годовой объем бюджетных ассигнований федерального бюджета, направленных на создание и (или) развитие центра поддержки экспорта i-го субъекта Российской Федерации в 2024 году, в рублях;
- годовой объем бюджетных ассигнований бюджета субъекта Российской Федерации, направленных на создание и (или) развитие центра поддержки экспорта i-го субъекта Российской Федерации в целях софинансирования годового объема бюджетных ассигнований федерального бюджета, направленных на создание и (или) развитие центра поддержки экспорта i-го субъекта Российской Федерации в 2024 году, в рублях.
9. Высвободившиеся бюджетные ассигнования на предоставление субсидий или не востребованные субъектами Российской Федерации субсидии перераспределяются между другими субъектами Российской Федерации, представившими заявки.
10. Расчетный размер дополнительных бюджетных ассигнований на предоставление субсидии i-му субъекту Российской Федерации, представившему заявку, в целях софинансирования расходных обязательств субъекта Российской Федерации, возникающих при реализации мероприятия, указанного в пункте 1 настоящих Правил (
), определяется по формуле:
,
где:
r - количество субъектов Российской Федерации в зависимости от порядка ранжирования, которые на выделение дополнительных бюджетных ассигнований на предоставление субсидий в целях софинансирования расходных обязательств субъектов Российской Федерации, возникающих при реализации мероприятия, указанного в пункте 1 настоящих Правил, представили заявки;
- коэффициент относительной эффективности использования субсидии;
- размер высвободившихся или не востребованных i-м субъектом Российской Федерации бюджетных ассигнований на предоставление субсидии в целях софинансирования расходных обязательств субъекта Российской Федерации, возникающих при реализации мероприятия, указанного в пункте 1 настоящих Правил, который:
не может превышать 5 процентов расчетного размера субсидии, предоставляемой бюджету i-го субъекта Российской Федерации в очередном финансовом году в целях софинансирования расходных обязательств субъекта Российской Федерации, возникающих при реализации мероприятия, указанного в пункте 1 настоящих Правил, для субъектов Российской Федерации, отнесенных к 2 - 5 группам;
может составлять до 100 процентов расчетного размера субсидии, предоставляемой бюджету i-го субъекта Российской Федерации в очередном финансовом году в целях софинансирования расходных обязательств субъекта Российской Федерации, возникающих при реализации мероприятия, указанного в пункте 1 настоящих Правил, для субъектов Российской Федерации, отнесенных к 1 группе.
11. Коэффициент относительной эффективности использования субсидии (
) рассчитывается по формуле:

12. Министерство экономического развития Российской Федерации ранжирует субъекты Российской Федерации, представившие заявки, в целях софинансирования расходных обязательств субъектов Российской Федерации, возникающих при реализации мероприятия, указанного в пункте 1 настоящих Правил, в порядке возрастания места центра поддержки экспорта субъекта Российской Федерации в годовом рейтинге центров поддержки экспорта, который формируется акционерным обществом "Российский экспортный центр" в соответствии с методикой формирования рейтинга центров поддержки экспорта, установленной Министерством экономического развития Российской Федерации (далее - рейтинг центров поддержки экспорта).
Дополнительные объемы субсидий предоставляются в соответствии с ранжированием субъектов Российской Федерации в следующем приоритетном порядке:
субъекты Российской Федерации, отнесенные к 4 группе, центры поддержки экспорта которых заняли в рейтинге центров поддержки экспорта с 1-го по 27-е место включительно;
субъекты Российской Федерации, отнесенные к 5 группе, центры поддержки экспорта которых заняли в рейтинге центров поддержки экспорта с 1-го по 27-е место включительно;
субъекты Российской Федерации, отнесенные к 2 - 3 группам, центры поддержки экспорта которых заняли в рейтинге центров поддержки экспорта с 1-го по 27-е место включительно;
субъекты Российской Федерации, отнесенные к 4 группе, центры поддержки экспорта которых заняли в рейтинге центров поддержки экспорта с 28-го по 54-е место включительно;
субъекты Российской Федерации, отнесенные к 5 группе, центры поддержки экспорта которых заняли в рейтинге центров поддержки экспорта с 28-го по 54-е место включительно;
субъекты Российской Федерации, отнесенные к 2 - 3 группам, центры поддержки экспорта которых заняли в рейтинге центров поддержки экспорта с 28-го по 54-е место включительно.
13. Для получения субсидий субъекты Российской Федерации представляют в Министерство экономического развития Российской Федерации следующие документы:
а) заявка, подписанная высшим должностным лицом субъекта Российской Федерации, включает обязательство субъекта Российской Федерации по созданию центра поддержки экспорта в субъекте Российской Федерации, в случае если в субъекте Российской Федерации центр поддержки экспорта не создан;
б) документ об определении исполнительного органа субъекта Российской Федерации высшим исполнительным органом субъекта Российской Федерации, уполномоченным на взаимодействие с Министерством экономического развития Российской Федерации по реализации мероприятия, указанного в пункте 1 настоящих Правил (далее - уполномоченный орган);
в) выписка из государственной программы (подпрограммы) субъекта Российской Федерации, в которой региональный проект, соответствующий федеральному проекту "Системные меры развития международной кооперации и экспорта" национального проекта "Международная кооперация и экспорт", обособлен в виде отдельного структурного элемента, или обязательство субъекта Российской Федерации по обеспечению внесения соответствующих изменений в государственную программу (подпрограмму) субъекта Российской Федерации, включенное в заявку;
г) выписка из закона субъекта Российской Федерации о бюджете субъекта Российской Федерации на 2025 год и плановый период 2026 и 2027 годов (сводной бюджетной росписи бюджета субъекта Российской Федерации), подтверждающая наличие в бюджете субъекта Российской Федерации бюджетных ассигнований на исполнение расходных обязательств субъекта Российской Федерации, в целях софинансирования которых предоставляется субсидия, или обязательство субъекта Российской Федерации по обеспечению внесения соответствующих изменений в закон субъекта Российской Федерации о бюджете субъекта Российской Федерации на 2025 год и плановый период 2026 и 2027 годов (сводную бюджетную роспись бюджета субъекта Российской Федерации), или обязательство субъекта Российской Федерации по обеспечению, включенное в заявку.
14. Документы, указанные в пункте 13 настоящих Правил, заполняются уполномоченным органом в бумажном виде.
15. Документы, указанные в пункте 13 настоящих Правил, представляются субъектами Российской Федерации в сроки, указанные Министерством экономического развития Российской Федерации в извещениях о приеме документов субъектов Российской Федерации для предоставления субсидий, направленных субъектам Российской Федерации.
16. В случае включения субъектом Российской Федерации в заявку обязательства, предусмотренного подпунктом "в" пункта 13 настоящих Правил, субъект Российской Федерации представляет в Министерство экономического развития Российской Федерации выписку из государственной программы (подпрограммы) субъекта Российской Федерации, в которой региональный проект, соответствующий федеральному проекту "Системные меры развития международной кооперации и экспорта" национального проекта "Международная кооперация и экспорт", обособлен в виде отдельного структурного элемента, не позднее 15-го рабочего дня со дня ее утверждения.
17. В случае включения субъектом Российской Федерации обязательства, предусмотренного подпунктом "г" пункта 13 настоящих Правил, субъект Российской Федерации представляет в Министерство экономического развития Российской Федерации выписку из закона субъекта Российской Федерации о бюджете субъекта Российской Федерации на 2025 год и плановый период 2026 и 2027 годов (сводной бюджетной росписи бюджета субъекта Российской Федерации), подтверждающую наличие в бюджете субъекта Российской Федерации бюджетных ассигнований на исполнение расходных обязательств субъекта Российской Федерации, в целях софинансирования которых предоставляется субсидия, не позднее 15-го рабочего дня со дня принятия закона субъекта Российской Федерации о внесении соответствующих изменений в закон субъекта Российской Федерации о бюджете субъекта Российской Федерации на 2025 год и плановый период 2026 и 2027 годов (внесения соответствующих изменений в сводную бюджетную роспись бюджета субъекта Российской Федерации).
18. Предоставление субсидии осуществляется на основании соглашения о предоставлении субсидии из федерального бюджета бюджету субъекта Российской Федерации, заключенного между Министерством экономического развития Российской Федерации и высшим исполнительным органом субъекта Российской Федерации в соответствии с пунктом 10 Правил формирования, предоставления и распределения субсидий, в государственной интегрированной информационной системе управления общественными финансами "Электронный бюджет" в соответствии с типовой формой соглашения о предоставлении субсидии, утвержденной Министерством финансов Российской Федерации (далее - соглашение о предоставлении субсидии).
19. Перечисление субсидий осуществляется в установленном порядке на единые счета бюджетов, открытые финансовым органам субъектов Российской Федерации в территориальных органах Федерального казначейства.
20. В случае нарушения субъектом Российской Федерации целей, установленных при предоставлении субсидии, применяются бюджетные меры принуждения, предусмотренные бюджетным законодательством Российской Федерации.
21. Порядок и условия возврата средств из бюджета субъекта Российской Федерации в федеральный бюджет в случае нарушения субъектом Российской Федерации обязательств по достижению значений результатов использования субсидии, а также основания для освобождения субъекта Российской Федерации от применения мер финансовой ответственности установлены пунктами 16 - 18 и 20 Правил формирования, предоставления и распределения субсидий.
22. Уполномоченный орган размещает в сроки, установленные соглашением о предоставлении субсидии, в государственной интегрированной информационной системе управления общественными финансами "Электронный бюджет" отчет об осуществлении расходов бюджета субъекта Российской Федерации, в целях софинансирования которых предоставляется субсидия, а также отчет о достижении значений результатов использования субсидии.
Отчеты об осуществлении расходов бюджета субъекта Российской Федерации, в целях софинансирования которых предоставляется субсидия, предусмотренные соглашением о предоставлении субсидии, составляются нарастающим итогом по состоянию на 1-е число месяца, следующего за отчетным кварталом, и представляются до 10-го числа месяца, следующего за отчетным кварталом, в случае осуществления кассового расхода бюджета субъекта Российской Федерации, софинансируемого из федерального бюджета, при этом отчеты за IV квартал представляются до 20 января года, следующего за годом предоставления субсидии, независимо от факта осуществления кассового расхода бюджета субъекта Российской Федерации, софинансируемого из федерального бюджета.
Отчеты о достижении значений результатов использования субсидии представляются в порядке и сроки, которые установлены соглашением о предоставлении субсидии.
23. Министерство экономического развития Российской Федерации осуществляет контроль за выполнением субъектами Российской Федерации обязательств по достижению значений результатов использования субсидий в отчетном году на основании отчетности, представленной субъектами Российской Федерации.
24. Контроль за соблюдением субъектами Российской Федерации условий предоставления субсидий осуществляется Министерством экономического развития Российской Федерации и уполномоченными органами государственного финансового контроля.
25. Оценка эффективности использования субсидии в рамках мероприятия, указанного в пункте 1 настоящих Правил, осуществляется Министерством экономического развития Российской Федерации путем сравнения плановых значений результатов использования субсидии и фактически достигнутых субъектом Российской Федерации значений результатов использования субсидии - субъектами малого и среднего предпринимательства осуществлен экспорт товаров (работ, услуг) при участии центров поддержки экспорта.
26. Субъекты Российской Федерации несут ответственность за достоверность представляемых в рамках настоящих Правил информации и документов.
27. Министерство экономического развития Российской Федерации вправе запрашивать у субъектов Российской Федерации необходимые документы и материалы в целях осуществления контроля за соблюдением субъектами Российской Федерации условий предоставления субсидий и других обязательств, предусмотренных соглашением о предоставлении субсидии, в том числе данные бухгалтерского учета и первичную документацию, связанные с реализацией субъектами Российской Федерации мероприятия, указанного в пункте 1 настоящих Правил.
28. Мероприятие, указанное в пункте 1 настоящих Правил, включает в себя создание и (или) развитие центров поддержки экспорта.
29. Средства субсидии не могут использоваться на формирование фонда оплаты труда, премиального фонда, начислений на оплату труда центров поддержки экспорта, на приобретение расходных материалов и прочие текущие расходы центров поддержки экспорта, а также на оказание поддержки субъектам малого и среднего предпринимательства в случае, если в отношении заявителя - субъекта малого и среднего предпринимательства было принято решение об оказании аналогичной поддержки федеральными органами исполнительной власти, исполнительными органами субъектов Российской Федерации (поддержка, условия оказания которой совпадают, включая форму, вид поддержки и цели ее оказания) и сроки ее оказания не истекли.
30. Субъекты Российской Федерации обеспечивают создание и (или) развитие центров поддержки экспорта в соответствии с требованиями, установленными Министерством экономического развития Российской Федерации в соответствии с частью 3 статьи 15 Федерального закона "О развитии малого и среднего предпринимательства в Российской Федерации".
Реализация мероприятия, указанного в пункте 1 настоящих Правил, осуществляется при информационном и методическом взаимодействии уполномоченного органа с акционерным обществом "Российский экспортный центр" на основании соглашения, в котором содержатся:
направления расходов бюджета субъекта Российской Федерации (объем бюджетных ассигнований федерального бюджета, а также объем бюджетных ассигнований бюджета субъекта Российской Федерации, направленных на создание и (или) развитие центра поддержки экспорта);
ключевые показатели эффективности деятельности центров поддержки экспорта;
план командировок сотрудников центра поддержки экспорта.
ПРИЛОЖЕНИЕ
к Правилам предоставления и распределения в 2025 году субсидий из федерального бюджета, источником финансового обеспечения которых являются бюджетные ассигнования резервного фонда Правительства Российской Федерации, бюджетам субъектов Российской Федерации в целях софинансирования расходных обязательств субъектов Российской Федерации, возникающих при реализации мероприятия, направленного на предоставление субъектам малого и среднего предпринимательства услуг и мер поддержки центрами поддержки экспорта, в субъектах Российской Федерации
(форма)
Министерство экономического развития Российской Федерации
ЗАЯВКА
__________________________________________________________________________
(наименование субъекта Российской Федерации)
на получение субсидии из федерального бюджета, источником финансового обеспечения которой являются бюджетные ассигнования резервного фонда Правительства Российской Федерации, бюджетам субъектов Российской Федерации в целях софинансирования расходных обязательств субъектов Российской Федерации, возникающих при реализации мероприятия, направленного на предоставление субъектам малого и среднего предпринимательства услуг и мер поддержки центрами поддержки экспорта, в субъектах Российской Федерации
В соответствии с Правилами предоставления и распределения в 2025 году субсидий из федерального бюджета, источником финансового обеспечения которых являются бюджетные ассигнования резервного фонда Правительства Российской Федерации, бюджетам субъектов Российской Федерации в целях софинансирования расходных обязательств субъектов Российской Федерации, возникающих при реализации мероприятия, направленного на предоставление субъектам малого и среднего предпринимательства услуг и мер поддержки центрами поддержки экспорта, в субъектах Российской Федерации, приведенными в приложении № 51 к государственной программе Российской Федерации "Экономическое развитие и инновационная экономика", утвержденной постановлением Правительства Российской Федерации от 15 апреля 2014 г. № 316 "Об утверждении государственной программы Российской Федерации "Экономическое развитие и инновационная экономика", выражаю согласие с условиями предоставления и распределения субсидии и обязуюсь обеспечить предельный уровень софинансирования расходного обязательства субъекта Российской Федерации, установленный в соответствии с положениями Правил формирования, предоставления и распределения субсидий из федерального бюджета бюджетам субъектов Российской Федерации, утвержденных постановлением Правительства Российской Федерации от 30 сентября 2014 г. № 999 "О формировании, предоставлении и распределении субсидий из федерального бюджета бюджетам субъектов Российской Федерации", в отношении мероприятия, направленного на предоставление субъектам малого и среднего предпринимательства услуг и мер поддержки центрами поддержки экспорта, в субъектах Российской Федерации, по результатам реализации которого субъектами малого и среднего предпринимательства осуществлен экспорт товаров (работ, услуг) при участии центров поддержки экспорта, в объеме:
__________________________________________________________________________ .
(предполагаемая сумма субсидии на реализацию указанного мероприятия (млн. рублей)
Обязуюсь обеспечить в 2025 году создание центра поддержки экспорта в _________________________________________________________________________ *.
(субъект Российской Федерации)
Также обязуюсь обеспечить внесение соответствующих изменений в государственную программу (подпрограмму) субъекта Российской Федерации_______________________
__________________________________________________________________________
(реквизиты и наименование нормативного акта)
и бюджет субъекта Российской Федерации на 2025 год и плановый период 2026 и 2027 годов (сводную бюджетную роспись бюджета субъекта Российской Федерации), утвержденный _____________________________________________________________
________________________________________________________________________**.
(указываются реквизиты и наименование нормативного акта)
________________________ (должность высшего должностного лица | ___________ (подпись) | ___________________________ (фамилия, имя, отчество |
МП
______________________
* Абзац включается субъектом Российской Федерации в заявку в случае, если в субъекте Российской Федерации не создан центр поддержки экспорта.
** Абзац включается субъектом Российской Федерации в заявку в случае отсутствия в бюджете субъекта Российской Федерации на 2025 год и плановый период 2026 и 2027 годов (сводной бюджетной росписи бюджета субъекта Российской Федерации) бюджетных ассигнований на исполнение расходных обязательств субъекта Российской Федерации, в целях софинансирования которых предоставляется субсидия.".
___________
Ссылки

Подписаться на обновления