Постановление Правительства Российской Федерации от 28.01.2022 № 64 "О внесении изменений в Положение о лицензировании деятельности, связанной с обращением взрывчатых материалов промышленного назначения"
ПРАВИТЕЛЬСТВО РОССИЙСКОЙ ФЕДЕРАЦИИ
ПОСТАНОВЛЕНИЕ
от 28 января 2022 г. № 64
МОСКВА
О внесении изменений в Положение о лицензировании деятельности, связанной с обращением взрывчатых материалов промышленного назначения
Правительство Российской Федерации постановляет:
1. Утвердить прилагаемые изменения, которые вносятся в Положение о лицензировании деятельности, связанной с обращением взрывчатых материалов промышленного назначения, утвержденное постановлением Правительства Российской Федерации от 15 сентября 2020 г. № 1435 "О лицензировании деятельности, связанной с обращением взрывчатых материалов промышленного назначения" (Собрание законодательства Российской Федерации, 2020, № 39, ст. 6032).
2. Настоящее постановление вступает в силу с 1 марта 2022 г.
Председатель Правительства
Российской Федерации М.Мишустин
УТВЕРЖДЕНЫ
постановлением Правительства
Российской Федерации
от 28 января 2022 г. № 64
ИЗМЕНЕНИЯ,
которые вносятся в Положение о лицензировании деятельности, связанной с обращением взрывчатых материалов промышленного назначения
1. Пункт 1 дополнить словами ", и порядок федерального государственного лицензионного контроля (надзора) за деятельностью, связанной с обращением взрывчатых материалов промышленного назначения".
2. В пункте 2:
а) абзац первый дополнить словами "(далее - лицензирующий орган)";
б) абзац второй дополнить словами "для проведения взрывных работ".
3. В подпункте "в" пункта 5 слова "у соискателя лицензии" заменить словами "у лицензиата".
4. В пункте 6 слова "установленные частью 11 статьи 19" заменить словами "установленные частью 10 статьи 192".
5. В пункте 7:
а) в абзаце первом слова "направляет или" исключить;
б) подпункт "в" дополнить следующими словами "(в случае прохождения аттестации в территориальной аттестационной комиссии указываются реквизиты таких документов)".
6. В пункте 8:
а) в абзаце первом слова "не указанным в лицензии" заменить словами "не предусмотренным реестром лицензий", слова "не указанные в лицензии" заменить словами "не предусмотренные реестром лицензий", слова "в заявлении о переоформлении лицензии" заменить словами "в заявлении о внесении изменений в реестр лицензий";
б) в абзаце втором слова "не указанным в лицензии, не требует переоформления лицензии" заменить словами "не указанным в реестре лицензий, не требует внесения изменений в реестр лицензий".
7. Дополнить пунктом 81 следующего содержания:
"81. Заявление о предоставлении лицензии (внесении изменений в реестр лицензий), может быть представлено на бумажном носителе непосредственно или направлено посредством заказного почтового отправления с уведомлением о вручении либо посредством использования личного кабинета в федеральной государственной информационной системе "Единый портал государственных и муниципальных услуг (функций)".
При направлении заявления о предоставлении лицензии (внесении изменений в реестр лицензий) посредством использования личного кабинета в федеральной государственной информационной системе "Единый портал государственных и муниципальных услуг (функций)", опись документов, предусмотренная подпунктом "ж" пункта 7 настоящего постановления, не прилагается.
При направлении заявления о предоставлении лицензии (внесении изменений в реестр лицензий) юридическим лицом, индивидуальным предпринимателем или физическим лицом при представлении интересов юридического лица (при наличии соответствующих полномочий у физического лица) подписание такого заявления осуществляется усиленной квалифицированной электронной подписью.".
8. В абзаце первом пункта 9 слова "заявлении о предоставлении (переоформлении) лицензии" заменить словами "заявлении о предоставлении лицензии (внесении изменений в реестр лицензий)".
9. Пункты 10 - 19 изложить в следующей редакции:
"10. Представление соискателем лицензии (лицензиатом) заявления о предоставлении лицензии (внесении изменений в реестр лицензий) и документов, необходимых для получения лицензии, их прием лицензирующим органом, принятие решения о предоставлении лицензии (об отказе в предоставлении лицензии), о внесении изменений в реестр лицензий (об отказе во внесении изменений в реестр лицензий), приостановлении, возобновлении, прекращении действия лицензии или об аннулировании лицензии, формирование и ведение лицензионного дела, ведение реестра лицензий и предоставление сведений, содержащихся в реестре лицензий, лицензионных делах соискателей лицензий (лицензиатов), осуществляются в порядке, установленном Федеральным законом "О лицензировании отдельных видов деятельности".
11. Оценка соответствия соискателя лицензии или лицензиата лицензионным требованиям осуществляется лицензирующим органом в соответствии со статьей 191 Федерального закона "О лицензировании отдельных видов деятельности".
Оценка соответствия соискателя лицензии или лицензиата лицензионным требованиям проводится в форме документарной оценки и (или) выездной оценки.
12. Обеспечение соблюдения лицензиатом лицензионных требований (далее - лицензионный контроль) осуществляется посредством проведения профилактических мероприятий, плановых контрольных (надзорных) мероприятий, внеплановых контрольных (надзорных) мероприятий в соответствии с Федеральным законом "О государственном контроле (надзоре) и муниципальном контроле в Российской Федерации".
Лицензионный контроль осуществляется лицензирующим органом.
13. Предметом лицензионного контроля является соблюдение лицензиатом лицензионных требований.
14. Лицензионный контроль осуществляется посредством организации и проведения мероприятий по профилактике нарушений лицензионных требований, организации и проведения контрольных (надзорных) мероприятий в отношении лицензиата и принятия предусмотренных законодательством Российской Федерации мер по пресечению, предупреждению нарушений лицензионных требований и (или) устранению их последствий.
15. Должностными лицами, уполномоченными на осуществление лицензионного контроля, являются:
а) руководитель лицензирующего органа, его заместители;
б) руководители структурных подразделений центрального аппарата лицензирующего органа, их заместители, в ведении которых находятся вопросы лицензионного контроля;
в) федеральные государственные гражданские служащие категории "специалисты" ведущей и старшей групп должностей в структурных подразделениях центрального аппарата лицензирующего органа, в ведении которых находятся вопросы лицензионного контроля;
г) руководители территориальных органов лицензирующего органа, их заместители;
д) начальники отделов и заместители начальников отделов территориальных органов лицензирующего органа, в ведении которых находятся вопросы лицензионного контроля;
е) федеральные государственные гражданские служащие категории "специалисты" ведущей и старшей групп должностей в территориальных органах лицензирующего органа, в ведении которых находятся вопросы лицензионного контроля.
16. Должностными лицами, уполномоченными на принятие решений о проведении контрольных (надзорных) мероприятий, являются:
а) руководитель лицензирующего органа, его заместители;
б) руководители территориальных органов лицензирующего органа, их заместители.
17. Должностные лица, осуществляющие лицензионный контроль в пределах своих полномочий и в объеме проводимых контрольных (надзорных) действий, пользуются правами, установленными частью 2 статьи 29 Федерального закона "О государственном контроле (надзоре) и муниципальном контроле в Российской Федерации".
18. Объектом лицензионного контроля является деятельность лицензиатов по применению, хранению и производству взрывчатых материалов промышленного назначения.
19. При осуществлении лицензионного контроля применяется система управления рисками причинения вреда (ущерба) охраняемым законом ценностям.".
10. Дополнить пунктами 20 - 72 следующего содержания:
"20. Лицензирующий орган относит объекты лицензионного контроля в зависимости от вероятности наступления негативных событий и тяжести причинения вреда (ущерба) охраняемым законом ценностям к одной из следующих категорий риска причинения вреда (ущерба):
а) высокий риск;
б) средний риск;
в) низкий риск.
21. К высокой категории риска относится деятельность по применению взрывчатых материалов промышленного назначения.
22. К средней категории риска относятся деятельность по производству взрывчатых материалов промышленного назначения, а также деятельность по хранению взрывчатых материалов промышленного назначения, за исключением случая, указанного в пункте 23 настоящего Положения.
23. К низкой категории риска относится деятельность по хранению взрывчатых материалов промышленного назначения на складах взрывчатых материалов, являющихся опасными производственными объектами в соответствии с Федеральным законом "О промышленной безопасности опасных производственных объектов".
24. В случае если деятельность лицензиата может быть отнесена к разным категориям риска, то присваивается наиболее высокая категория риска.
25. Лицензирующий орган ведет учет объектов лицензионного контроля посредством ведения перечня объектов лицензионного контроля в информационной системе лицензирующего органа (далее - перечень).
26. Включение объектов лицензионного контроля в перечень осуществляется на основании решений руководителя лицензирующего органа об отнесении объектов лицензионного контроля к соответствующим категориям риска.
27. Перечень содержит следующую информацию:
а) полное наименование лицензиата;
б) основной государственный регистрационный номер;
в) идентификационный номер налогоплательщика;
г) место нахождения лицензиата;
д) место осуществления деятельности лицензиата;
е) реквизиты решения о присвоении категории риска, указание на категорию риска, а также сведения, на основании которых было принято решение об отнесении объекта лицензионного контроля к категории риска;
ж) виды работ, выполняемых в рамках лицензируемого вида деятельности.
28. Организация, проведение и оформление результатов контрольных (надзорных) мероприятий осуществляются в соответствии с требованиями Федерального закона "О государственном контроле (надзоре) и муниципальном контроле в Российской Федерации".
29. При осуществлении лицензионного контроля проводятся следующие виды контрольных (надзорных) мероприятий:
а) выездная проверка;
б) документарная проверка;
в) инспекционный визит.
30. Внеплановые контрольные (надзорные) мероприятия могут проводиться в форме выездной проверки или документарной проверки.
31. Контрольные (надзорные) мероприятия в отношении лицензиатов в зависимости от присвоенной им категории риска осуществляются со следующей периодичностью:
а) для категории высокого риска проводится плановая выездная проверка один раз в 2 года со дня внесения записи о предоставлении лицензии в реестр лицензий;
б) для категории среднего риска проводится плановая выездная проверка один раз в 3 года со дня внесения записи о предоставлении лицензии в реестр лицензий.
32. Для категории низкого риска плановые контрольные (надзорные) мероприятия не проводятся.
33. Индивидуальный предприниматель, в отношении которого назначено (запланировано) проведение контрольного (надзорного) мероприятия, вправе представить в лицензирующий орган или его территориальный орган информацию о невозможности присутствия при проведении контрольного (надзорного) мероприятия в случае наступления обстоятельств непреодолимой силы, препятствующих его присутствию при проведении контрольного (надзорного) мероприятия (военные действия, катастрофа, стихийное бедствие, крупная авария, эпидемия и другие чрезвычайные обстоятельства, болезнь индивидуального предпринимателя и его близких родственников, его участие в судебном процессе или исполнение судебных решений, нахождение в отпуске), в связи с чем проведение контрольного (надзорного) мероприятия переносится контрольным (надзорным) органом на срок, необходимый для устранения указанных обстоятельств.
34. Плановые контрольные (надзорные) мероприятия проводятся на основании плана проведения плановых контрольных (надзорных) мероприятий на очередной календарный год, согласованного с органами прокуратуры.
35. В ходе выездной проверки могут совершаться следующие контрольные (надзорные) действия:
а) осмотр;
б) опрос;
в) получение письменных объяснений;
г) истребование документов.
36. Срок проведения выездной проверки не может превышать 10 рабочих дней.
37. В ходе документарной проверки могут совершаться следующие контрольные (надзорные) действия:
а) получение письменных объяснений;
б) истребование документов.
38. В ходе инспекционного визита могут совершаться следующие контрольные (надзорные) действия:
а) осмотр;
б) опрос;
в) получение письменных объяснений.
39. При проведении выездных проверок должностными лицами, уполномоченными на проведение проверки, для фиксации доказательств нарушения обязательных требований могут использоваться фотосъемка, аудио- и видеозапись, а также иные способы фиксации доказательств.
Решение об использовании фотосъемки, аудио- и видеозаписи, а также иных способов фиксации доказательств нарушения обязательных требований принимается должностными лицами, уполномоченными на проведение проверки.
При осуществлении видеозаписи при проведении проверки фиксируются дата, время и место ее проведения, а также характеристика выявленных нарушений.
Фотографии, аудио- и видеозаписи, используемые для фиксации доказательств, должны позволять однозначно идентифицировать нарушение обязательных требований. Фотографии, аудио- и видеозаписи, используемые для доказательств нарушения обязательных требований, прилагаются к акту контрольного (надзорного) мероприятия.
40. При осуществлении лицензионного контроля могут проводиться следующие виды профилактических мероприятий:
а) информирование;
б) обобщение правоприменительной практики;
в) объявление предостережений;
г) профилактический визит;
д) консультирование.
41. Информирование по вопросу лицензионного контроля осуществляется в порядке, установленном статьей 46 Федерального закона "О государственном контроле (надзоре) и муниципальном контроле в Российской Федерации".
42. Доклад по итогам обобщения правоприменительной практики по осуществлению лицензионного контроля готовится один раз в год, утверждается приказом руководителя лицензирующего органа до 1 марта года, следующего за отчетным, и размещается на официальном сайте лицензирующего органа в информационно-телекоммуникационной сети "Интернет" (далее - сеть "Интернет") до 1 апреля года, следующего за отчетным.
43. В случае наличия у лицензирующего органа сведений о готовящемся нарушении обязательных требований или признаках нарушения обязательных требований и (или) в случае отсутствия подтвержденных данных о том, что нарушение обязательных требований причинило вред (ущерб) охраняемым законом ценностям либо создало угрозу причинения вреда (ущерба) охраняемым законом ценностям, лицензирующий орган (территориальный орган лицензирующего органа) объявляет лицензиату предостережение о недопустимости нарушения обязательных требований и предлагает принять меры по обеспечению соблюдения обязательных требований.
44. Лицензиатом по результатам рассмотрения предостережения в течение 5 рабочих дней после его получения могут быть поданы в лицензирующий орган возражения, в которых указываются:
а) наименование лицензиата;
б) идентификационный номер налогоплательщика лицензиата;
в) дата и номер предостережения, направленного в адрес лицензиата;
г) обоснование позиции в отношении указанных в предостережении действий (бездействия) лицензиата, которые приводят или могут привести к нарушению обязательных требований.
45. Возражения направляются лицензиатом в бумажном виде почтовым отправлением в лицензирующий орган либо в виде электронного документа, подписанного простой электронной подписью лица, уполномоченного действовать от имени юридического лица, на указанный в предостережении адрес электронной почты, либо иными указанными в предостережении способами.
46. Лицензирующий орган рассматривает возражения и по итогам рассмотрения направляет ответ лицензиату в течение 20 рабочих дней со дня получения возражений.
47. Объявленные предостережения о недопустимости нарушения обязательных требований и результаты рассмотрения возражений на объявленные предостережения подлежат учету, а соответствующие данные используются для проведения иных профилактических мероприятий и контрольных (надзорных) мероприятий.
48. Профилактический визит, в том числе обязательный профилактический визит, проводится в порядке, установленном статьей 52 Федерального закона "О государственном контроле (надзоре) и муниципальном контроле в Российской Федерации".
Лицензирующий орган предлагает проведение профилактического визита не позднее чем в течение одного года с даты начала деятельности, связанной с обращением взрывчатых материалов промышленного назначения.
Профилактический визит проводится в форме выезда либо с применением видео-конференц-связи.
Обязательный профилактический визит осуществляется в отношении лицензиатов высокой категории риска, а также лицензиатов, впервые получивших лицензию.
В ходе обязательного профилактического визита лицензиат информируется об обязательных требованиях, предъявляемых к его деятельности, основаниях и рекомендуемых способах снижения категории риска, а также о видах и содержании контрольных (надзорных) мероприятий, проводимых в отношении объектов лицензионного контроля различных категорий риска.
В ходе обязательного профилактического визита должностным лицом лицензирующего органа может осуществляться консультирование лицензиата в порядке, установленном статьей 50 Федерального закона "О государственном контроле (надзоре) и муниципальном контроле в Российской Федерации".
О проведении обязательного профилактического визита лицензиат должен быть уведомлен не позднее чем за 5 рабочих дней до дня его проведения.
Продолжительность обязательного профилактического визита контролируемого лица не может составлять более одного рабочего дня.
Лицензиат вправе отказаться от проведения обязательного профилактического визита, уведомив об этом лицензирующий орган не позднее чем за 3 рабочих дня до дня его проведения.
49. Должностные лица лицензирующего органа по обращениям лицензиатов осуществляют консультирование (дают разъяснения по вопросам, связанным с организацией и осуществлением лицензионного контроля).
50. Консультирование может осуществляться должностным лицом по телефону, посредством видео-конференц-связи, на личном приеме либо в ходе проведения контрольного (надзорного) мероприятия.
51. Консультирование по телефону либо посредством видео-конференц-связи осуществляется не реже одного раза в месяц в соответствии с планом-графиком, утверждаемым руководителем территориального органа лицензирующего органа и размещаемым на его официальном сайте в сети "Интернет".
52. План-график, указанный в пункте 51 настоящего Положения, должен содержать:
а) даты и время проведения консультирования;
б) номер (номера) телефона и (или) указание на специальный сервис видео-конференц-связи;
в) фамилию, имя, отчество (при наличии) должностного лица, проводящего консультирование.
53. В случае поступления обращений об осуществлении письменного консультирования такое консультирование осуществляется в сроки, установленные Федеральным законом "О порядке рассмотрения обращений граждан Российской Федерации".
54. Консультирование, включая письменное консультирование, осуществляется по следующим вопросам:
а) разъяснение положений нормативных правовых актов, содержащих обязательные требования, оценка соблюдения которых осуществляется в рамках лицензионного контроля;
б) разъяснение положений нормативных правовых актов, регламентирующих порядок осуществления лицензионного контроля;
в) порядок обжалования действий (бездействия) должностных лиц.
55. В случае поступления 10 однотипных вопросов в рамках организации и проведения консультирования на официальном сайте территориального органа лицензирующего органа в сети "Интернет" размещается соответствующее письменное разъяснение.
56. Действия (бездействие) должностных лиц лицензирующего органа и решения, принятые ими в ходе осуществления лицензионного контроля, могут быть обжалованы в досудебном порядке, предусмотренном Федеральным законом "О государственном контроле (надзоре) и муниципальном контроле в Российской Федерации".
57. Жалоба на решение территориального органа лицензирующего органа либо действия (бездействие) его должностных лиц рассматривается руководителем (заместителем руководителя) этого территориального органа либо руководителем лицензирующего органа или уполномоченным заместителем руководителя.
Жалоба на действия (бездействие) руководителя (заместителя руководителя) территориального органа лицензирующего органа рассматривается руководителем лицензирующего органа или уполномоченным заместителем руководителя.
В случае обжалования решений лицензирующего органа, принятых его центральным аппаратом, либо действий (бездействия) должностных лиц центрального аппарата лицензирующего органа жалоба рассматривается руководителем лицензирующего органа.
58. При осуществлении оценки результативности и эффективности осуществления лицензионного контроля используются ключевые показатели.
59. Ключевыми показателями результативности и эффективности осуществления лицензионного контроля являются:
а) снижение количества аварий, произошедших при производстве, хранении и применении взрывчатых материалов промышленного назначения;
б) снижение количества случаев со смертельным исходом в результате аварий, произошедших при производстве, хранении и применении взрывчатых материалов промышленного назначения;
в) снижение количества лиц, травмированных в результате аварий, произошедших при производстве, хранении и применении взрывчатых материалов промышленного назначения.
60. Целевым значением ключевого показателя "снижение количества аварий, произошедших при производстве, хранении и применении взрывчатых материалов промышленного назначения" (ПА) является положительное значение указанного показателя (процентов), которое определяется по формуле:
,
где:
П1 - количество аварий, произошедших при производстве, хранении и применении взрывчатых материалов промышленного назначения, за отчетный год;
Псга - среднегодовое количество аварий, произошедших при производстве, хранении и применении взрывчатых материалов промышленного назначения.
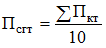
61. Среднегодовое количество аварий, произошедших при производстве, хранении и применении взрывчатых материалов промышленного назначения (Псга), определяется по формуле:
,
где
- общее количество аварий, произошедших при производстве, хранении и применении взрывчатых материалов промышленного назначения, за 10-летний период, предшествующий отчетному году.
62. Сбор данных о количестве аварий, произошедших при производстве, хранении и применении взрывчатых материалов промышленного назначения, осуществляется Федеральной службой по экологическому, технологическому и атомному надзору на основании материалов технического расследования причин аварий.
63. Целевое значение показателя "снижение количества аварий, произошедших при производстве, хранении и применении взрывчатых материалов промышленного назначения", превышающее нулевое значение, свидетельствует о положительной динамике снижения количества аварий, произошедших при производстве, хранении и применении взрывчатых материалов промышленного назначения, за отчетный год.
64. Целевым значением ключевого показателя "снижение количества случаев со смертельным исходом в результате аварий, произошедших при производстве, хранении и применении взрывчатых материалов промышленного назначения" (Псм) является положительное значение указанного показателя (процентов), который определяется по формуле:
,
где:
П2 - количество случаев со смертельным исходом в результате аварий, произошедших при производстве, хранении и применении взрывчатых материалов промышленного назначения, за отчетный год;
Псгс - среднегодовое количество случаев со смертельным исходом в результате аварий, произошедших при производстве, хранении и применении взрывчатых материалов промышленного назначения.
65. Среднегодовое количество случаев со смертельным исходом в результате аварий, произошедших при производстве, хранении и применении взрывчатых материалов промышленного назначения (Псгс), определяется по формуле:
,
где
- общее количество случаев со смертельным исходом в результате аварий, произошедших при производстве, хранении и применении взрывчатых материалов промышленного назначения за 10-летний период, предшествующий отчетному году.
66. Сбор данных о количестве случаев со смертельным исходом в результате аварий, произошедших при производстве, хранении и применении взрывчатых материалов промышленного назначения, осуществляется Федеральной службой по экологическому, технологическому и атомному надзору на основании актов о несчастных случаях на производстве, оформленных в соответствии с трудовым законодательством.
67. Целевое значение показателя "снижение количества случаев со смертельным исходом в результате аварий, произошедших при производстве, хранении и применении взрывчатых материалов промышленного назначения", превышающее нулевое значение, свидетельствует о положительной динамике снижения количества случаев со смертельным исходом в результате аварий, произошедших при производстве, хранении и применении взрывчатых материалов промышленного назначения, за отчетный год.
68. Целевым значением ключевого показателя "снижение количества лиц, травмированных в результате аварий, произошедших при производстве, хранении и применении взрывчатых материалов промышленного назначения" (Птр) является положительное значение указанного показателя (процентов), который определяется по формуле:
,
где:
П3 - количество лиц, травмированных в результате аварий, произошедших при производстве, хранении и применении взрывчатых материалов промышленного назначения, за отчетный год;
Псгт - среднегодовое количество лиц, травмированных в результате аварий, произошедших при производстве, хранении и применении взрывчатых материалов промышленного назначения.
69. Среднегодовое количество лиц, травмированных в результате аварий, произошедших при производстве, хранении и применении взрывчатых материалов промышленного назначения (Псгт), определяется по формуле:
,
где
- общее количество лиц, травмированных в результате аварий, произошедших при производстве, хранении и применении взрывчатых материалов промышленного назначения за 10-летний период, предшествующий отчетному году.
70. Сбор данных о количестве лиц, травмированных в результате аварий, произошедших при производстве, хранении и применении взрывчатых материалов промышленного назначения, осуществляется Федеральной службой по экологическому, технологическому и атомному надзору на основании актов о несчастных случаях на производстве, оформленных в соответствии с трудовым законодательством.
71. Целевое значение показателя "снижение количества лиц, травмированных в результате аварий, произошедших при производстве, хранении и применении взрывчатых материалов промышленного назначения", превышающее нулевое значение, свидетельствует о положительной динамике снижения количества лиц, травмированных в результате аварий, произошедших при производстве, хранении и применении взрывчатых материалов промышленного назначения, за отчетный год.
72. Анализ ключевых показателей осуществляется в докладе о виде контроля, подготавливаемом лицензирующим органом по итогам календарного года.".
____________

Подписаться на обновления