Постановление Правительства Российской Федерации от 04.06.2020 № 823 "Об утверждении Правил предоставления субсидий из федерального бюджета производителям специализированной техники или оборудования в целях предоставления покупателям скидки при приобретении такой техники или оборудования"
ПРАВИТЕЛЬСТВО РОССИЙСКОЙ ФЕДЕРАЦИИ
ПОСТАНОВЛЕНИЕ
от 4 июня 2020 г. № 823
МОСКВА
Об утверждении Правил предоставления субсидий из федерального бюджета производителям специализированной техники или оборудования в целях предоставления покупателям скидки при приобретении такой техники или оборудования
(В редакции постановлений Правительства Российской Федерации от 28.12.2020 № 2323, от 15.02.2022 № 170)
Правительство Российской Федерации постановляет:
1. Утвердить прилагаемые Правила предоставления субсидий из федерального бюджета производителям специализированной техники или оборудования в целях предоставления покупателям скидки при приобретении такой техники или оборудования.
2. Настоящее постановление вступает в силу со дня его официального опубликования.
Председатель Правительства
Российской Федерации М.Мишустин
УТВЕРЖДЕНЫ
постановлением Правительства
Российской Федерации
от 4 июня 2020 г. № 823
(в редакции постановления
Правительства Российской Федерации
от 28 декабря 2020 г. № 2323)
ПРАВИЛА
предоставления субсидий из федерального бюджета производителям специализированной техники или оборудования в целях предоставления покупателям скидки при приобретении такой техники или оборудования
(В редакции Постановления Правительства Российской Федерации от 15.02.2022 № 170)
1. Настоящие Правила устанавливают цели, порядок и условия предоставления субсидий из федерального бюджета производителям специализированной техники или оборудования в целях предоставления покупателям скидки при приобретении такой техники или оборудования (далее соответственно - субсидия, производитель, продукция).
Субсидия предоставляется в рамках государственной программы Российской Федерации "Развитие промышленности и повышение ее конкурентоспособности" в целях достижения индекса реализации отечественной продукции машиностроения для пищевой и перерабатывающей промышленности по отношению к предыдущему году и производства важнейших видов продукции машиностроения специализированных производств, установленных указанной программой. (В редакции Постановления Правительства Российской Федерации от 15.02.2022 № 170)
Сведения о субсидии в установленном порядке размещаются на едином портале бюджетной системы Российской Федерации в информационно-телекоммуникационной сети "Интернет" (далее соответственно - единый портал, сеть "Интернет") при формировании проекта федерального закона о федеральном бюджете на очередной финансовый год и плановый период (проекта федерального закона о внесении изменений в федеральный закон о федеральном бюджете на текущий финансовый год и плановый период). (В редакции Постановления Правительства Российской Федерации от 15.02.2022 № 170)
Обмен документами и информацией при проведении отбора, подаче заявлений о предоставлении субсидии, представлении отчетности в соответствии с настоящими Правилами, а также при осуществлении контроля (мониторинга) за соблюдением производителями целей, порядка и условий предоставления субсидий при наличии технической возможности осуществляется с использованием государственной информационной системы промышленности в сети "Интернет". (Дополнен - Постановление Правительства Российской Федерации от 15.02.2022 № 170)
2. Понятия, используемые в настоящих Правилах, означают следующее:
"дата поставки продукции" - дата подписания производителем (продавцом) и покупателем акта приема-передачи продукции;
"дилерский договор" - договор поставки продукции, заключенный производителем с продавцом и продавцом (продавцами) с продавцом (продавцами) (при наличии);
"договор о реализации" - договор о реализации продукции (дополнительное соглашение, приложение и (или) спецификация к нему), заключенный между производителем (продавцом) и покупателем;
"отбор" - отбор производителей, проводимый способом запроса предложений на основании заявок об участии в отборе, направленных производителями, исходя из соответствия производителей критериям отбора, установленным настоящими Правилами;
"покупатель" - юридическое или физическое лицо, приобретающее или принимающее продукцию для собственного использования в соответствии с ее назначением;
"продавец" - юридическое или физическое лицо, реализующее или передающее во временное владение и в пользование покупателям продукцию производителя;
"продукция" - специализированная техника или оборудование, соответствующие требованиям, установленным пунктом 5 настоящих Правил;
"проект реестра получателей субсидии" - перечень производителей, прошедших отбор в соответствии с настоящими Правилами, с которыми в соответствующем финансовом году могут быть заключены соглашения о предоставлении субсидии, по форме согласно приложению № 1;
"реестр получателей субсидии" - перечень производителей, прошедших отбор в соответствии с настоящими Правилами, с которыми в соответствующем финансовом году заключены соглашения о предоставлении субсидии, предусмотренный приложением № 1 к настоящим Правилам;
"реестр получателей субсидии по договорам о реализации, заключенным в 2018 - 2019 годах" - перечень производителей, которые предоставили скидку покупателю продукции в соответствии с договорами о реализации, заключенными в 2018 - 2019 годах, поставка продукции по которым осуществлена покупателю не позднее 31 декабря 2019 г., и с которыми в 2020 году заключены соглашения о предоставлении субсидии, содержащий размер субсидии на 2020 год, значения результата предоставления субсидии и показателя, необходимого для достижения результата предоставления субсидии, в отношении каждого производителя. (В редакции Постановления Правительства Российской Федерации от 15.02.2022 № 170)
3. Результатом предоставления субсидии является достижение стоимостного объема реализации продукции производителем (с учетом налога на добавленную стоимость) в соответствующем финансовом году. В 2020 году при предоставлении субсидии по договорам о реализации, заключенным в 2018 - 2019 годах, поставка продукции по которым осуществлена покупателю не позднее 31 декабря 2019 г., результатом предоставления субсидии является стоимостный объем реализации продукции производителем (с учетом налога на добавленную стоимость) в 2019 году.
Показателем, необходимым для достижения результата предоставления субсидии, является отношение стоимостного объема реализации продукции производителем (с учетом налога на добавленную стоимость) в соответствующем финансовом году к объему субсидии, предоставляемой производителю в соответствующем финансовом году. В 2020 году при предоставлении субсидии по договорам о реализации, заключенным в 2018 - 2019 годах, поставка продукции по которым осуществлена покупателю не позднее 31 декабря 2019 г., показателем, необходимым для достижения результата предоставления субсидии, является отношение стоимостного объема реализации продукции производителем (с учетом налога на добавленную стоимость) в 2019 году к объему субсидии, предоставляемой в 2020 году производителю в отношении продукции в соответствии с договорами о реализации, заключенными не ранее 1 июля 2018 г., поставка продукции по которым осуществлена покупателю не позднее 31 декабря 2019 г.
4. В 2020 году предельный размер субсидии, предоставляемой производителю в отношении продукции, при приобретении которой покупателю была предоставлена скидка в соответствии с договорами о реализации, заключенными не ранее 1 июля 2019 г., поставка продукции по которым осуществлена покупателю не ранее 1 января 2020 г., равен 15 процентам не распределенных после формирования реестра получателей субсидии по договорам о реализации, заключенным в 2018 - 2019 годах, лимитов бюджетных обязательств, доведенных в установленном порядке до Министерства промышленности и торговли Российской Федерации как получателя средств федерального бюджета на цели, указанные в пункте 1 настоящих Правил, на 2020 год.
Начиная с отбора, проводимого на 2021 год, в отношении продукции, классифицируемой в соответствии с Общероссийским классификатором продукции по видам экономической деятельности (ОКПД 2) кодами, указанными в абзаце втором пункта 5 настоящих Правил:
совокупный размер субсидии, предоставляемой производителям в соответствующем финансовом году, не превышает 40 процентов лимитов бюджетных обязательств, доведенных в установленном порядке до Министерства промышленности и торговли Российской Федерации как получателя средств федерального бюджета на цели, указанные в пункте 1 настоящих Правил, на соответствующий финансовый год;
размер субсидии, предоставляемой одному производителю в соответствующем финансовом году, не превышает 15 процентов размера субсидии, указанного в абзаце третьем настоящего пункта.
Начиная с отбора, проводимого на 2021 год, в отношении продукции, классифицируемой в соответствии с Общероссийским классификатором продукции по видам экономической деятельности (ОКПД 2) кодами, указанными в абзаце третьем пункта 5 настоящих Правил:
совокупный размер субсидии, предоставляемой производителям в соответствующем финансовом году, не превышает 60 процентов лимитов бюджетных обязательств, доведенных в установленном порядке до Министерства промышленности и торговли Российской Федерации как получателя средств федерального бюджета на цели, указанные в пункте 1 настоящих Правил, на соответствующий финансовый год;
размер субсидии, предоставляемой одному производителю в соответствующем финансовом году, не превышает 15 процентов размера субсидии, указанного в абзаце шестом настоящего пункта.
В 2020 году условия, указанные в абзацах первом - седьмом настоящего пункта, не применяются к субсидиям в отношении продукции, при приобретении которой покупателю была предоставлена скидка в соответствии с договорами о реализации, заключенными не ранее 1 июля 2018 г., поставка продукции по которым осуществлена покупателю не позднее 31 декабря 2019 г.
5. Право на участие в отборе и получение субсидии имеет производитель, продукция которого классифицируется в соответствии с Общероссийским классификатором продукции по видам экономической деятельности (ОКПД 2) следующими кодами и на которую Министерством промышленности и торговли Российской Федерации выдано заключение о подтверждении производства промышленной продукции на территории Российской Федерации в соответствии с постановлением Правительства Российской Федерации от 17 июля 2015 г. № 719 "О подтверждении производства промышленной продукции на территории Российской Федерации" (далее - заключение о подтверждении производства промышленной продукции):
25.29.1, 25.73.50, 25.91.11, 28.13.12, 28.13.14.190, 28.13.21, из 28.21.12 (инсинераторы), 28.21.13, 28.22.17.111, 28.22.17.112, 28.22.17.113, 28.22.17.114, 28.22.17.115, 28.22.17.116, 28.22.17.119, 28.22.17.120, 28.22.17.190, 28.22.18.261, 28.22.18.264, 28.22.18.320, 28.25.11.110, 28.25.13.110, 28.25.14.112, 28.25.14.129, 28.29.12, 28.29.21, 28.29.31.110, 28.29.31.120, 28.29.31.130, 28.29.39, 28.29.41, 28.29.43, 28.29.50, 28.30.81, 28.30.82, 28.30.83, 28.30.84, 28.30.85, 28.30.86.110, 28.30.86.120, 28.30.86.140, 28.93.1 (кроме 28.93.19), 28.93.2;
28.22.14.125, 28.22.14.151, 28.22.14.159, 28.22.15, 28.30 (в части машин и оборудования для лесного хозяйства), 28.92.21, 28.92.22, 28.92.23, 28.92.24, 28.92.25, 28.92.26, 28.92.27, 28.92.29, 28.92.3, 28.92.4, 28.92.5, 28.99.39.190, 29.10.5 (за исключением 29.10.59.150, 29.10.59.160, 29.10.59.170, 29.10.59.210), 29.20.23, 30.92.10.
6. Производитель по состоянию на дату не ранее чем за 30 календарных дней до дня подачи заявления о включении в реестр получателей субсидии по договорам о реализации, заключенным в 2018 - 2019 годах, и (или) заявки об участии в отборе должен соответствовать следующим требованиям:
а) у производителя отсутствует неисполненная обязанность по уплате налогов, сборов, страховых взносов, пеней, штрафов, процентов, подлежащих уплате в соответствии с законодательством Российской Федерации о налогах и сборах;
б) у производителя отсутствуют просроченная задолженность по возврату в федеральный бюджет субсидий, бюджетных инвестиций, предоставленных в том числе в соответствии с иными правовыми актами, а также иная просроченная (неурегулированная) задолженность по денежным обязательствам перед Российской Федерацией; (В редакции Постановления Правительства Российской Федерации от 15.02.2022 № 170)
в) производитель - юридическое лицо не находится в процессе реорганизации (за исключением реорганизации в форме присоединения к производителю, являющемуся участником отбора, другого юридического лица), ликвидации, в отношении его не введена процедура банкротства, его деятельность не приостановлена в порядке, предусмотренном законодательством Российской Федерации, а производитель - индивидуальный предприниматель не должен прекращать деятельность в качестве индивидуального предпринимателя; (В редакции Постановления Правительства Российской Федерации от 15.02.2022 № 170)
г) производитель не является иностранным юридическим лицом, а также российским юридическим лицом, в уставном (складочном) капитале которого доля участия иностранных юридических лиц, местом регистрации которых является государство или территория, включенные в утвержденный Министерством финансов Российской Федерации перечень государств и территорий, предоставляющих льготный налоговый режим налогообложения и (или) не предусматривающих раскрытия и предоставления информации при проведении финансовых операций (офшорные зоны), в совокупности превышает 50 процентов;
д) производитель не получает средства из федерального бюджета на основании иных нормативных правовых актов Российской Федерации на цели, указанные в пункте 1 настоящих Правил;
е) в реестре дисквалифицированных лиц отсутствуют сведения о дисквалифицированных руководителе, членах коллегиального исполнительного органа, лице, исполняющем функции единоличного исполнительного органа, или главном бухгалтере (при наличии) производителя, являющегося юридическим лицом, о производителе, являющемся индивидуальным предпринимателем.
7. Субсидия предоставляется на основании соглашения о предоставлении субсидии, заключенного Министерством промышленности и торговли Российской Федерации и производителем в соответствии с типовой формой, установленной Министерством финансов Российской Федерации (далее - соглашение о предоставлении субсидии).
Соглашение о предоставлении субсидии заключается с соблюдением требований о защите государственной тайны в форме электронного документа с использованием государственной интегрированной информационной системы управления общественными финансами "Электронный бюджет" (далее - система "Электронный бюджет") и подписывается усиленной квалифицированной электронной подписью лиц, имеющих право действовать от имени каждой из сторон.
В соглашении о предоставлении субсидии предусматриваются в том числе план мероприятий по получению производителем результата предоставления субсидии с указанием событий, отражающих факт завершения соответствующего мероприятия (контрольной точки), формы и сроки представления производителем дополнительной отчетности по запросу Министерства промышленности и торговли Российской Федерации (отчет о выполнении условий предоставления субсидии, отчет о реализации плана мероприятий по получению результата предоставления субсидии с указанием событий, отражающих факт завершения соответствующего мероприятия (контрольной точки), согласие производителя на проведение Министерством промышленности и торговли Российской Федерации и органами государственного финансового контроля проверок соблюдения производителем целей, условий и порядка предоставления субсидии, которые установлены настоящими Правилами, значение результата предоставления субсидии и значение показателя, необходимого для достижения результата предоставления субсидии, а также условия о согласовании новых условий соглашения о предоставлении субсидии или о расторжении соглашения о предоставлении субсидии при недостижении согласия по новым условиям в случае уменьшения Министерству промышленности и торговли Российской Федерации как получателю средств федерального бюджета на соответствующий финансовый год ранее доведенных лимитов бюджетных обязательств на цели, указанные в пункте 1 настоящих Правил, приводящего к невозможности предоставления субсидии в размере, определенном в соглашении о предоставлении субсидии. (В редакции Постановления Правительства Российской Федерации от 15.02.2022 № 170)
В соглашении о предоставлении субсидии в 2020 году предусматривается в том числе обязательство производителя осуществить расходование денежных средств на производство продукции в течение 2020 года в сумме не менее полученных в 2020 году средств субсидии в отношении продукции, при приобретении которой покупателю была предоставлена скидка в соответствии с договорами о реализации, заключенными не ранее 1 июля 2018 г., поставка продукции по которым осуществлена покупателю не позднее 31 декабря 2019 г. (данные средства не покрывают сумму налога на добавленную стоимость, предъявленную производителю, при приобретении материалов, работ или услуг, используемых при производстве продукции).
Начиная с 2021 года в соглашении о предоставлении субсидии предусматривается обязательство производителя осуществлять инвестиции в производство продукции на территории Российской Федерации в финансовом году получения субсидии, а также сроки и форма отчетности производителя об осуществлении инвестиций в производство продукции на территории Российской Федерации в финансовом году получения субсидии и обязательство ее предоставления.
8. В целях формирования в 2020 году реестра получателей субсидии по договорам о реализации, заключенным в 2018 - 2019 годах, производитель до 25 июня 2020 г. представляет в Министерство промышленности и торговли Российской Федерации заявление о включении в реестр получателей субсидии по договорам о реализации, заключенным в 2018 - 2019 годах, подписанное руководителем производителя (уполномоченным лицом с представлением документов, подтверждающих полномочия указанного лица), с приложением:
а) выписки из Единого государственного реестра юридических лиц, заверенной в установленном порядке, или сведений о юридическом лице, полученных с официального сайта Федеральной налоговой службы в сети "Интернет" в форме электронного документа, подписанного усиленной квалифицированной электронной подписью, на дату не ранее чем за 30 календарных дней до дня подачи заявления о включении в реестр получателей субсидии по договорам о реализации, заключенным в 2018 - 2019 годах (в случае непредставления производителем такого документа Министерство промышленности и торговли Российской Федерации запрашивает его самостоятельно);
б) справки налогового органа, подтверждающей отсутствие у производителя на дату не ранее чем за 30 календарных дней до дня подачи заявления о включении в реестр получателей субсидии по договорам о реализации, заключенным в 2018 - 2019 годах, неисполненной обязанности по уплате налогов, сборов, страховых взносов, пеней, штрафов и процентов, подлежащих уплате в соответствии с законодательством Российской Федерации о налогах и сборах, заверенной в установленном порядке или подписанной усиленной квалифицированной электронной подписью (в случае непредставления производителем такого документа Министерство промышленности и торговли Российской Федерации запрашивает его самостоятельно);
в) справки, подписанной руководителем (уполномоченным лицом с представлением документов, подтверждающих полномочия указанного лица) и главным бухгалтером (при наличии) производителя, подтверждающей соответствие производителя на дату не ранее чем за 30 календарных дней до дня подачи заявления о включении в реестр получателей субсидии по договорам о реализации, заключенным в 2018 - 2019 годах, требованиям, установленным подпунктами "б" - "д" пункта 6 настоящих Правил;
г) копии заключения о подтверждении производства промышленной продукции;
д) перечня наименований видов продукции, которые предлагались производителем к реализации в соответствующем календарном году, с указанием кодов Общероссийского классификатора продукции по видам экономической деятельности (ОКПД 2), цен на каждый вид продукции (с учетом налога на добавленную стоимость), которые предлагались к реализации в течение соответствующего календарного года, подписанного руководителем (уполномоченным лицом с представлением документов, подтверждающих полномочия указанного лица) и главным бухгалтером (при наличии) производителя;
е) сведений о запрашиваемом в 2020 году размере субсидии, значениях результата предоставления субсидии и показателя, необходимого для достижения результата предоставления субсидии, на основании объема скидок, предоставленных покупателям по договорам о реализации, заключенным в 2018 - 2019 годах, поставка продукции по которым осуществлена покупателю не позднее 31 декабря 2019 г., подписанных руководителем (уполномоченным лицом с представлением документов, подтверждающих полномочия указанного лица) и главным бухгалтером (при наличии) производителя. (В редакции Постановления Правительства Российской Федерации от 15.02.2022 № 170)
9. Министерство промышленности и торговли Российской Федерации:
а) регистрирует в порядке поступления заявления и документы, указанные в пункте 8 настоящих Правил;
б) проверяет в течение 10 рабочих дней со дня окончания подачи заявлений и документов, указанных в пункте 8 настоящих Правил, полноту и достоверность содержащихся в них сведений;
в) в случае, если совокупный размер запрашиваемой субсидии превышает лимиты бюджетных обязательств, доведенные в установленном порядке до Министерства промышленности и торговли Российской Федерации как получателя средств федерального бюджета в 2020 году на цели, указанные в пункте 1 настоящих Правил, осуществляет пропорциональное уменьшение размера запрашиваемой субсидии, а также пересчет значения показателя, необходимого для достижения результата предоставления субсидии, для каждого производителя; (В редакции Постановления Правительства Российской Федерации от 15.02.2022 № 170)
г) заключает с производителями соглашения о предоставлении субсидии в течение 15 рабочих дней со дня окончания проверки, предусмотренной подпунктом "б" настоящего пункта. В случае если производитель не подписывает соглашение о предоставлении субсидии в течение 5 рабочих дней со дня его поступления на подписание с использованием системы "Электронный бюджет", Министерство промышленности и торговли Российской Федерации принимает решение об отказе в заключении соглашения о предоставлении субсидии, уведомляет об этом производителя и возвращает заявление о включении в реестр получателей субсидии по договорам о реализации, заключенным в 2018 - 2019 годах, и документы, представленные производителем в соответствии с пунктом 8 настоящих Правил;
д) в течение 10 рабочих дней со дня окончания срока заключения соглашений о предоставлении субсидии, установленного подпунктом "г" настоящего пункта, формирует реестр получателей субсидии по договорам о реализации, заключенным в 2018 - 2019 годах, и размещает его в государственной информационной системе промышленности в сети "Интернет";
е) в течение 15 рабочих дней со дня окончания проверки, предусмотренной подпунктом "б" настоящего пункта, уведомляет производителя об отказе во включении в реестр получателей субсидии по договорам о реализации, заключенным в 2018 - 2019 годах, и возвращает заявление о включении в реестр получателей субсидии по договорам о реализации, заключенным в 2018 - 2019 годах, с прилагаемыми документами в случае непредставления (представления не в полном объеме) документов, указанных в пункте 8 настоящих Правил, и (или) в случае наличия в представленных документах недостоверной информации, и (или) нарушения сроков их представления, и (или) несоответствия представленных документов требованиям, установленным пунктами 5, 6, и (или) 8 настоящих Правил.
10. В целях формирования реестра получателей субсидии на год, следующий за текущим финансовым годом, Министерство промышленности и торговли Российской Федерации проводит отбор, размещая в срок не позднее 3 календарных дней до дня начала проведения отбора в государственной информационной системе промышленности в сети "Интернет" (с размещением указателя страницы на едином портале) объявление о проведении отбора по форме согласно приложению № 2 (далее - объявление). (В редакции Постановления Правительства Российской Федерации от 15.02.2022 № 170)
Критериями отбора производителей являются их соответствие требованиям, установленным пунктами 5 и 6 настоящих Правил, а также установление ими значения запланированного к достижению показателя, необходимого для достижения результата предоставления субсидии, на соответствующий финансовый год в размере не менее 7.
Отбор проводится отдельно в отношении производителей продукции, классифицируемой в соответствии с Общероссийским классификатором продукции по видам экономической деятельности (ОКПД 2) кодами, указанными в абзацах втором и третьем пункта 5 настоящих Правил соответственно.
11. Для участия в отборе производитель с 10 ноября и не позднее 10 декабря соответствующего финансового года или в сроки, указанные в объявлении, представляет в Министерство промышленности и торговли Российской Федерации заявку об участии в отборе в произвольной форме, подписанную руководителем производителя (уполномоченным лицом с представлением документов, подтверждающих полномочия указанного лица), с приложением:
а) выписки из Единого государственного реестра юридических лиц или выписки из Единого государственного реестра индивидуальных предпринимателей, заверенной в установленном порядке, или сведений о юридическом лице или индивидуальном предпринимателе, полученных с официального сайта Федеральной налоговой службы в сети "Интернет" в форме электронного документа, подписанного усиленной квалифицированной электронной подписью, на дату не ранее чем за 30 календарных дней до дня подачи заявки об участии в отборе (в случае непредставления производителем такого документа Министерство промышленности и торговли Российской Федерации запрашивает его самостоятельно);
б) справки налогового органа, подтверждающей отсутствие у производителя на дату не ранее чем за 30 календарных дней до дня подачи заявки об участии в отборе неисполненной обязанности по уплате налогов, сборов, страховых взносов, пеней, штрафов и процентов, подлежащих уплате в соответствии с законодательством Российской Федерации о налогах и сборах, заверенной в установленном порядке или подписанной усиленной квалифицированной электронной подписью (в случае непредставления производителем такого документа Министерство промышленности и торговли Российской Федерации запрашивает его самостоятельно);
в) справки, подписанной руководителем (уполномоченным лицом с представлением документов, подтверждающих полномочия указанного лица) и главным бухгалтером (при наличии) производителя, подтверждающей соответствие производителя на дату не ранее чем за 30 календарных дней до дня подачи заявки об участии в отборе требованиям, установленным подпунктами "б" - "е" пункта 6 настоящих Правил, в произвольной форме;
г) копии заключения о подтверждении производства промышленной продукции;
д) перечня наименований видов продукции, предлагаемых производителем к реализации в соответствующем календарном году, с указанием кодов Общероссийского классификатора продукции по видам экономической деятельности (ОКПД 2), цен на каждый вид продукции (с учетом налога на добавленную стоимость), предлагаемых в течение соответствующего календарного года производителем к реализации, подписанного руководителем (уполномоченным лицом с представлением документов, подтверждающих полномочия указанного лица) и главным бухгалтером (при наличии) производителя, в произвольной форме;
е) справки, подписанной руководителем (уполномоченным лицом с представлением документов, подтверждающих полномочия указанного лица) и главным бухгалтером (при наличии) производителя, подтверждающей обязательство производителя достигнуть запланированного результата предоставления субсидии в соответствующем финансовом году с указанием значения данного результата, а также обязательство производителя об осуществлении инвестиций в производство продукции на территории Российской Федерации в финансовом году получения субсидии, в произвольной форме;
ж) сведений о запрашиваемом в соответствующем финансовом году размере субсидии и о запланированном к достижению значении показателя, необходимого для достижения результата предоставления субсидии, подписанных руководителем (уполномоченным лицом с представлением документов, подтверждающих полномочия указанного лица) и главным бухгалтером (при наличии) производителя, в произвольной форме; (В редакции Постановления Правительства Российской Федерации от 15.02.2022 № 170)
з) согласие на публикацию (размещение) в сети "Интернет" информации о производителе, о подаваемой производителем заявке об участии в отборе, иной информации о производителе, связанной с отбором, а также согласие на обработку персональных данных (для индивидуального предпринимателя) в произвольной форме. (В редакции Постановления Правительства Российской Федерации от 15.02.2022 № 170)
12. В 2020 году при наличии не распределенных после формирования реестра получателей субсидии по договорам о реализации, заключенным в 2018 - 2019 годах, средств субсидии в пределах лимитов бюджетных обязательств, доведенных в установленном порядке до Министерства промышленности и торговли Российской Федерации как получателя средств федерального бюджета на цели, указанные в пункте 1 настоящих Правил, Министерство промышленности и торговли Российской Федерации вправе провести отбор с предварительным размещением объявления в государственной информационной системе промышленности в сети "Интернет" (с размещением указателя страницы на едином портале). (В редакции Постановления Правительства Российской Федерации от 15.02.2022 № 170)
В случае, предусмотренном абзацем первым настоящего пункта, для участия в отборе производитель в целях формирования реестра получателей субсидии на 2020 год представляет в Министерство промышленности и торговли Российской Федерации заявку об участии в отборе, подписанную руководителем производителя (уполномоченным лицом с представлением документов, подтверждающих полномочия указанного лица), с приложением документов, указанных в пункте 11 настоящих Правил.
Министерство промышленности и торговли Российской Федерации разъясняет положения объявления со дня начала и до дня окончания срока отбора.
Производитель не позднее чем за 5 календарных дней до дня окончания проведения отбора имеет право отозвать заявку об участии в отборе или внести в нее изменения.
13. Министерство промышленности и торговли Российской Федерации:
а) регистрирует в порядке поступления заявки об участии в отборе и документы, указанные в пункте 11 настоящих Правил;
б) проверяет в течение 15 рабочих дней со дня окончания подачи заявок об участии в отборе, указанного в объявлении, полноту и достоверность содержащихся в них сведений;
в) в случае, если размер запрашиваемой производителем субсидии превышает указанное в абзаце четвертом или седьмом пункта 4 настоящих Правил значение, осуществляет уменьшение размера субсидии производителя с учетом положений абзаца четвертого или седьмого пункта 4 настоящих Правил соответственно и пропорциональное снижение значения результата предоставления субсидии для такого производителя. В таком случае обязательство производителя достигнуть запланированного значения результата предоставления субсидии в соответствующем финансовом году, предусмотренное подпунктом "е" пункта 11 настоящих Правил, будет относиться к пропорционально сниженному значению результата предоставления субсидии. (В редакции Постановления Правительства Российской Федерации от 15.02.2022 № 170)
В случае если совокупный размер запрашиваемой производителями субсидии превышает нераспределенные средства субсидии в пределах лимитов бюджетных обязательств, доведенных в установленном порядке до Министерства промышленности и торговли Российской Федерации как получателя средств федерального бюджета на цели, указанные в пункте 1 настоящих Правил, на соответствующий финансовый год, в том числе после действий, указанных в абзаце первом настоящего подпункта, Министерство промышленности и торговли Российской Федерации осуществляет пропорциональное уменьшение запрашиваемого размера субсидии и пропорциональное снижение результата предоставления субсидии для каждого производителя. В таком случае обязательство производителя достигнуть запланированного результата предоставления субсидии в соответствующем финансовом году, предусмотренное подпунктом "е" пункта 11 настоящих Правил, будет относиться к пропорционально сниженному результату предоставления субсидии;
г) в течение 20 рабочих дней со дня окончания проверки, предусмотренной подпунктом "б" настоящего пункта, формирует проект реестра получателей субсидии, включая в него производителей, которые ранее не были включены в реестр получателей субсидии на соответствующий финансовый год, перечень производителей, не прошедших отбор (при наличии таких производителей) по форме согласно приложению № 3, а также перечень производителей, заявки об участии в отборе которых были рассмотрены, по форме согласно приложению № 4, и размещает их в государственной информационной системе промышленности в сети "Интернет" (с размещением указателя страницы на едином портале); (В редакции Постановления Правительства Российской Федерации от 15.02.2022 № 170)
д) заключает с производителями, включенными в проект реестра получателей субсидии, соглашения о предоставлении субсидии в течение 15 рабочих дней со дня размещения проекта реестра получателей субсидии. В случае если производитель не подписывает соглашение о предоставлении субсидии в течение 5 рабочих дней со дня его поступления на подписание с использованием системы "Электронный бюджет", Министерство промышленности и торговли Российской Федерации принимает решение об отказе в заключении соглашения о предоставлении субсидии, уведомляет об этом производителя и возвращает заявку об участии в отборе и документы, представленные производителем в соответствии с пунктом 11 настоящих Правил;
е) в течение 10 рабочих дней со дня окончания срока заключения соглашений о предоставлении субсидии, установленного подпунктом "д" настоящего пункта, формирует реестр получателей субсидии и размещает его в государственной информационной системе промышленности в сети "Интернет" (с размещением указателя страницы на едином портале); (В редакции Постановления Правительства Российской Федерации от 15.02.2022 № 170)
ж) в течение 15 рабочих дней со дня окончания проверки, предусмотренной подпунктом "б" настоящего пункта, уведомляет производителя о непрохождении отбора и возвращает заявку об участии в отборе с прилагаемыми документами с указанием оснований, предусмотренных пунктом 14 настоящих Правил;
з) в случае, если производитель был включен в реестр получателей субсидии на соответствующий финансовый год, вместо действий, указанных в подпунктах "г" - "е" настоящего пункта, заключает с производителем дополнительное соглашение к соглашению о предоставлении субсидии и корректирует реестр получателей субсидии, суммируя размеры субсидии на соответствующий финансовый год, значения результатов предоставления субсидии, а также осуществляя пересчет значений показателей, необходимых для достижения результата предоставления субсидии, для такого производителя в течение 10 рабочих дней со дня окончания проверки, предусмотренной подпунктом "б" настоящего пункта. (В редакции Постановления Правительства Российской Федерации от 15.02.2022 № 170)
В случае если производитель не подписывает дополнительное соглашение к соглашению о предоставлении субсидии в течение 5 рабочих дней со дня его поступления на подписание с использованием системы "Электронный бюджет", Министерство промышленности и торговли Российской Федерации принимает решение об отказе в заключении дополнительного соглашения к соглашению о предоставлении субсидии, уведомляет об этом производителя и возвращает заявку об участии в отборе и документы, представленные производителем в соответствии с пунктом 11 настоящих Правил.
Скорректированный реестр получателей субсидии, перечень производителей, не прошедших отбор (при наличии таких производителей), предусмотренный приложением № 3 к настоящим Правилам, а также перечень производителей, заявки об участии в отборе которых были рассмотрены, предусмотренный приложением № 4 к настоящим Правилам, в течение 10 рабочих дней со дня окончания срока заключения дополнительных соглашений к соглашениям о предоставлении субсидии, установленного подпунктом "з" настоящего пункта, размещаются Министерством промышленности и торговли Российской Федерации в государственной информационной системе промышленности в сети "Интернет" (с размещением указателя страницы на едином портале). (В редакции Постановления Правительства Российской Федерации от 15.02.2022 № 170)
14. Производитель признается не прошедшим отбор и его заявка об участии в отборе отклоняется в следующих случаях:
а) непредставление (представление не в полном объеме) документов, указанных в пункте 11 настоящих Правил и в объявлении, нарушение сроков их представления, установленных пунктом 11 настоящих Правил или в объявлении, и (или) несоответствие представленных документов требованиям, установленным пунктами 4, 5 и (или) 11 настоящих Правил и объявлением;
б) значение показателя, необходимого для достижения результата предоставления субсидии, составляет менее 7; (В редакции Постановления Правительства Российской Федерации от 15.02.2022 № 170)
в) недостоверность представленной производителем информации, в том числе информации о месте нахождения и адресе производителя - юридического лица или индивидуального предпринимателя;
г) несоответствие производителя требованиям, установленным пунктом 6 настоящих Правил.
15. В случае наличия нераспределенного объема средств субсидии в пределах лимитов бюджетных обязательств, доведенных в установленном порядке до Министерства промышленности и торговли Российской Федерации как получателя средств федерального бюджета на цели, указанные в пункте 1 настоящих Правил, на соответствующий финансовый год, Министерство промышленности и торговли Российской Федерации вправе провести повторный отбор с предварительным размещением объявления о проведении повторного отбора в срок не позднее 3 календарных дней до дня начала проведения отбора в государственной информационной системе промышленности в сети "Интернет" (с размещением указателя страницы на едином портале), предусмотренного приложением № 2 к настоящим Правилам. (В редакции Постановления Правительства Российской Федерации от 15.02.2022 № 170)
Повторный отбор проводится при представлении производителем в Министерство промышленности и торговли Российской Федерации заявки об участии в отборе в произвольной форме, подписанной руководителем производителя (уполномоченным лицом с представлением документов, подтверждающих полномочия указанного лица), с приложением документов, указанных в пункте 11 настоящих Правил, в порядке, установленном пунктами 13 и 14 настоящих Правил, и в сроки, установленные в объявлении о проведении повторного отбора, размещенном в государственной информационной системе промышленности в сети "Интернет" (с размещением указателя страницы на едином портале). (В редакции Постановления Правительства Российской Федерации от 15.02.2022 № 170)
16. Субсидии предоставляются Министерством промышленности и торговли Российской Федерации ежемесячно в пределах лимитов бюджетных обязательств, доведенных в установленном порядке до Министерства промышленности и торговли Российской Федерации как получателя средств федерального бюджета на цели, предусмотренные пунктом 1 настоящих Правил.
17. Субсидия предоставляется производителю при выполнении следующих условий:
а) покупателю продукции предоставлена скидка в размере не менее размера субсидии (производителем - по договору о реализации, заключенному производителем с покупателем; производителем через продавца (продавцов), заключившего (заключивших) дилерский (дилерские) договор (договоры), - по договору о реализации, заключенному продавцом с покупателем);
б) продукция произведена не ранее 1 января года, предшествующего календарному году, в котором был заключен договор о реализации;
в) сведения о производителе, предусмотренные постановлением Правительства Российской Федерации от 21 декабря 2017 г. № 1604 "О предоставлении субъектами деятельности в сфере промышленности, органами государственной власти и органами местного самоуправления информации для включения в государственную информационную систему промышленности и размещении информации государственной информационной системы промышленности в открытом доступе в информационно-телекоммуникационной сети "Интернет", размещены в государственной информационной системе промышленности в сети "Интернет";
г) при предоставлении субсидии производителю, включенному в реестр получателей субсидии по договорам о реализации, заключенным в 2018 - 2019 годах, договор о реализации должен быть заключен не ранее 1 июля 2018 г., поставка продукции по которому должна быть осуществлена покупателю не позднее 31 декабря 2019 г.;
д) при предоставлении субсидии производителю, включенному в реестр получателей субсидии, договор о реализации должен быть заключен не ранее 1 июля года, предшествующего финансовому году получения субсидии, поставка продукции по которому должна быть осуществлена покупателю не ранее 1 января финансового года получения субсидии;
е) государственная поддержка производства и реализации одной и той же единицы продукции оказывается производителю один раз в течение срока службы продукции, за исключением государственной поддержки, оказываемой в рамках постановлений Правительства Российской Федерации от 15 января 2014 г. № 30 "Об утверждении Правил предоставления субсидий из федерального бюджета российским производителям колесных транспортных средств на компенсацию части затрат на использование энергоресурсов энергоемкими предприятиями автомобильной промышленности", от 15 января 2014 г. № 31 "Об утверждении Правил предоставления субсидий из федерального бюджета российским производителям колесных транспортных средств на компенсацию части затрат, связанных с выпуском и поддержкой гарантийных обязательств в отношении колесных транспортных средств, соответствующих нормам Евро-4 и Евро-5", от 15 января 2014 г. № 32 "Об утверждении Правил предоставления субсидий из федерального бюджета российским производителям колесных транспортных средств на компенсацию части затрат на содержание рабочих мест", от 10 февраля 2018 г. № 145 "Об утверждении Правил предоставления субсидий из федерального бюджета российским производителям на компенсацию части затрат, связанных с выпуском и поддержкой гарантийных обязательств в отношении высокопроизводительной сельскохозяйственной самоходной и прицепной техники, и признании утратившими силу некоторых актов Правительства Российской Федерации" и от 10 февраля 2018 г. № 146 "Об утверждении Правил предоставления субсидий из федерального бюджета российским производителям на компенсацию части затрат, связанных с выпуском и поддержкой гарантийных обязательств в отношении высокопроизводительной самоходной и прицепной техники, и признании утратившими силу некоторых актов Правительства Российской Федерации".
18. Для получения субсидии производитель, включенный в реестр получателей субсидии по договорам о реализации, заключенным в 2018 - 2019 годах, и (или) реестр получателей субсидии, представляет в Министерство промышленности и торговли Российской Федерации не чаще одного раза в месяц и не позднее 5 декабря соответствующего финансового года заявление о предоставлении субсидии по форме, приведенной в соглашении о предоставлении субсидии, подписанное руководителем производителя (уполномоченным лицом с представлением документов, подтверждающих полномочия указанного лица), с приложением следующих документов:
а) справка для получения субсидии по форме согласно приложению № 5, подписанная руководителем (уполномоченным лицом с представлением документов, подтверждающих полномочия указанного лица) и главным бухгалтером (при наличии).
Документы, подтверждающие достоверность сведений, указанных в справке для получения субсидии, указанной в абзаце первом настоящего подпункта, хранятся у производителя в течение 5 лет со дня перечисления Министерством промышленности и торговли Российской Федерации субсидии в установленном порядке на расчетный счет производителя, открытый в учреждениях Центрального банка Российской Федерации или кредитных организациях в соответствии с пунктом 26 настоящих Правил;
б) расчет размера субсидии по форме согласно приложению № 6, при этом размер запрашиваемой субсидии не может превышать суммарный объем скидок, предоставленных покупателям по договорам о реализации на дату представления заявления о предоставлении субсидии, подписанный руководителем (уполномоченным лицом с представлением документов, подтверждающих полномочия указанного лица) и главным бухгалтером (при наличии) производителя;
в) копия заключения о подтверждении производства промышленной продукции, действующего:
в отношении продукции по договорам о реализации, заключенным не ранее 1 июля 2018 г., поставка продукции по которым осуществлена покупателю не позднее 31 декабря 2019 г., - на дату заключения договора о реализации;
в отношении продукции по договорам о реализации, заключенным не ранее 1 июля года, предшествующего финансовому году получения субсидии, поставка продукции по которым осуществлена покупателю не ранее 1 января финансового года получения субсидии, - в течение не менее 30 календарных дней после дня подачи заявления о предоставлении субсидии;
г) справка о выполнении производителем требований, установленных пунктами 3 и 5 Правил предоставления субъектами деятельности в сфере промышленности, органами государственной власти и органами местного самоуправления информации для включения в государственную информационную систему промышленности, утвержденных постановлением Правительства Российской Федерации от 21 декабря 2017 г. № 1604 "О предоставлении субъектами деятельности в сфере промышленности, органами государственной власти и органами местного самоуправления информации для включения в государственную информационную систему промышленности и размещении информации государственной информационной системы промышленности в открытом доступе в информационно-телекоммуникационной сети "Интернет", подписанная руководителем (уполномоченным лицом с представлением документов, подтверждающих полномочия указанного лица) и главным бухгалтером (при наличии) производителя.
(Пункт в редакции Постановления Правительства Российской Федерации от 15.02.2022 № 170)
19. Министерство промышленности и торговли Российской Федерации при рассмотрении заявлений о предоставлении субсидии:
а) регистрирует заявления о предоставлении субсидии и документы, указанные в пункте 18 настоящих Правил, в порядке их поступления;
б) в течение 15 рабочих дней со дня регистрации заявлений о предоставлении субсидии и документов, указанных в пункте 18 настоящих Правил, проверяет зарегистрированные заявления о предоставлении субсидии и прилагаемые к ним документы, в том числе полноту и достоверность содержащихся в них сведений и их соответствие требованиям, установленным настоящими Правилами, и принимает решения о предоставлении субсидии либо об отказе в предоставлении субсидии; (В редакции Постановления Правительства Российской Федерации от 15.02.2022 № 170)
в) в случае принятия решения об отказе в предоставлении субсидии в течение 15 рабочих дней со дня окончания проверки, предусмотренной подпунктом "б" настоящего пункта, направляет производителю уведомление об отказе в предоставлении субсидии с приложением заявления о предоставлении субсидии и документов, представленных производителем в соответствии с пунктом 18 настоящих Правил.
20. Министерство промышленности и торговли Российской Федерации отказывает производителю в предоставлении субсидии в следующих случаях:
а) непредставление (представление не в полном объеме) документов, указанных в пункте 18 настоящих Правил, нарушение сроков их представления и (или) несоответствие представленных документов положениям пунктов 5, 17 и (или) 18 настоящих Правил;
б) установление факта недостоверности представленной производителем информации;
в) превышение производителем объемов субсидии на текущий финансовый год, предусмотренных реестром получателей субсидии по договорам о реализации, заключенным в 2018 - 2019 годах, и (или) реестром получателей субсидии;
г) наличие у производителя просроченной задолженности по денежным обязательствам перед Российской Федерацией, определенным в статье 934 Бюджетного кодекса Российской Федерации.
21. В случае сокращения в текущем финансовом году потребности в средствах субсидии производитель, включенный в реестр получателей субсидии, не позднее 1 сентября текущего финансового года представляет в Министерство промышленности и торговли Российской Федерации скорректированные сведения о потребности в средствах субсидии на текущий финансовый год, подписанные руководителем (уполномоченным лицом с представлением документов, подтверждающих полномочия указанного лица) и главным бухгалтером (при наличии) производителя. На основании указанных сведений Министерство промышленности и торговли Российской Федерации не позднее 15 сентября текущего финансового года обеспечивает:
а) корректировку реестра получателей субсидии в части уменьшения размеров субсидии на текущий финансовый год;
б) размещение скорректированного реестра получателей субсидии в государственной информационной системе промышленности в сети "Интернет".
22. В случае представления производителем, включенным в реестр получателей субсидии, не позднее 1 сентября текущего финансового года сведений о сокращении в текущем финансовом году потребности в средствах субсидии и неиспользования при этом по итогам текущего финансового года средств субсидии в соответствии с реестром получателей субсидии к такому производителю применяются штрафные санкции (Свозвр1), размер которых определяется по формуле:
Свозвр1 = (Sп - Sф) x k,
где:
Sп - объем субсидии в соответствии с реестром получателей субсидии;
Sф - объем субсидии, фактически предоставленной производителю в текущем финансовом году;
k - коэффициент возврата, учитывающий средний размер ключевой ставки, устанавливаемой Центральным банком Российской Федерации, за период предоставления субсидии в текущем финансовом году, выраженный в долях единицы.
23. В случае непредставления производителем, включенным в реестр получателей субсидии, не позднее 1 сентября текущего финансового года сведений о сокращении в текущем финансовом году потребности в средствах субсидии и неиспользования при этом по итогам текущего финансового года средств субсидии в соответствии с реестром получателей субсидии к такому производителю применяются штрафные санкции (Свозвр2), размер которых определяется по формуле: (В редакции Постановления Правительства Российской Федерации от 15.02.2022 № 170)
Свозвр2 = (Sп - Sф) x 3 x k,
где:
Sп - объем субсидии в соответствии с реестром получателей субсидии;
Sф - объем субсидии, фактически предоставленной производителю в текущем финансовом году;
k - коэффициент возврата, учитывающий средний размер ключевой ставки, устанавливаемой Центральным банком Российской Федерации, за период предоставления субсидии в текущем финансовом году, выраженный в долях единицы.
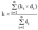
24. Коэффициент возврата, учитывающий средний размер ключевой ставки, устанавливаемой Центральным банком Российской Федерации, за период предоставления субсидии в текущем финансовом году (k), определяется по формуле:
,
где:
n - количество периодов, в которых в текущем финансовом году изменялось значение ключевой ставки, устанавливаемой Центральным банком Российской Федерации, начиная с даты заключения производителем соглашения о предоставлении субсидии в соответствии с подпунктом "д" пункта 13 настоящих Правил;
ki - выраженный в долях единицы размер устанавливаемой в текущем финансовом году Центральным банком Российской Федерации ключевой ставки в i-м периоде начиная с даты заключения производителем соглашения о предоставлении субсидии в соответствии с подпунктом "д" пункта 13 настоящих Правил;
di - количество календарных дней начиная с даты заключения производителем соглашения о предоставлении субсидии в соответствии с подпунктом "д" пункта 13 настоящих Правил в периоде, в котором в текущем финансовом году изменялось значение ключевой ставки, устанавливаемой Центральным банком Российской Федерации.
25. Сумма штрафных санкций подлежит перечислению в доход федерального бюджета в порядке, установленном бюджетным законодательством Российской Федерации.
26. Министерство промышленности и торговли Российской Федерации не позднее 10-го рабочего дня, следующего за днем принятия решения о предоставлении субсидии, обеспечивает перечисление субсидии в установленном порядке на расчетный счет производителя, открытый в учреждениях Центрального банка Российской Федерации или кредитных организациях.
27. Производитель ежеквартально, не позднее 15-го рабочего дня, следующего за отчетным кварталом финансового года получения субсидии, представляет в Министерство промышленности и торговли Российской Федерации отчеты о достижении значений результата предоставления субсидии и показателя, необходимого для достижения результата предоставления субсидии, указанных в реестре получателей субсидии по договорам о реализации, заключенным в 2018 - 2019 годах, и (или) реестре получателей субсидии, по формам, определенным типовой формой соглашения, установленной Министерством финансов Российской Федерации. (В редакции Постановления Правительства Российской Федерации от 15.02.2022 № 170)
28. В случае недостижения производителем значения результата предоставления субсидии, указанного в реестре получателей субсидии по договорам о реализации, заключенным в 2018 - 2019 годах, и (или) реестре получателей субсидии, соответствующие средства субсидии подлежат возврату в доход федерального бюджета в части, пропорциональной величине недостижения такого значения результата в стоимостном выражении, на основании документов, указанных в абзацах третьем и четвертом пункта 30 настоящих Правил. (В редакции Постановления Правительства Российской Федерации от 15.02.2022 № 170)
29. В случае недостижения производителем значения показателя, необходимого для достижения результата предоставления субсидии, указанного в реестре получателей субсидии по договорам о реализации, заключенным в 2018 - 2019 годах, и (или) в реестре получателей субсидии, соответствующие средства субсидии в размере одного процента объема полученной производителем субсидии подлежат возврату в доход федерального бюджета на основании документов, указанных в абзацах третьем и четвертом пункта 30 настоящих Правил. (В редакции Постановления Правительства Российской Федерации от 15.02.2022 № 170)
30. Министерство промышленности и торговли Российской Федерации и органы государственного финансового контроля проводят проверки соблюдения производителем целей, порядка и условий предоставления субсидии. (В редакции Постановления Правительства Российской Федерации от 15.02.2022 № 170)
В случае установления по итогам проверок, проведенных Министерством промышленности и торговли Российской Федерации и органом государственного финансового контроля фактов нарушения производителем условий, установленных при предоставлении субсидии, соответствующие средства в размере выявленных нарушений подлежат возврату в доход федерального бюджета: (В редакции Постановления Правительства Российской Федерации от 15.02.2022 № 170)
на основании требования Министерства промышленности и торговли Российской Федерации - не позднее 20-го рабочего дня со дня получения производителем указанного требования;
на основании представления и (или) предписания органа государственного финансового контроля - в сроки, установленные в соответствии с бюджетным законодательством Российской Федерации. (В редакции Постановления Правительства Российской Федерации от 15.02.2022 № 170)
Министерством промышленности и торговли Российской Федерации осуществляется мониторинг достижения результата предоставления субсидии исходя из достижения значения результата предоставления субсидии, определенного соглашением о предоставлении субсидии, и событий, отражающих факт завершения соответствующего мероприятия по получению результата предоставления субсидии (контрольная точка), в порядке и по формам, которые установлены Министерством финансов Российской Федерации. (Дополнен - Постановление Правительства Российской Федерации от 15.02.2022 № 170)
31. В случае нарушения производителем сроков представления отчетности, предусмотренной пунктом 27 настоящих Правил, производитель уплачивает штраф за каждый день просрочки в размере одной трехсотой ключевой ставки Центрального банка Российской Федерации, действующей по состоянию на 26-й рабочий день со дня окончания отчетного квартала финансового года получения субсидии производителем, от объема полученной производителем субсидии в доход федерального бюджета на основании документа, указанного в абзаце третьем пункта 30 настоящих Правил. (В редакции Постановления Правительства Российской Федерации от 15.02.2022 № 170)
____________
ПРИЛОЖЕНИЕ № 1
к Правилам предоставления субсидий
из федерального бюджета производителям специализированной техники или оборудования в целях предоставления покупателям скидки при приобретении такой техники или оборудования
(В редакции постановлений Правительства Российской Федерации от 28.12.2020 № 2323, от 15.02.2022 № 170)
(форма)
ПРОЕКТ РЕЕСТРА ПОЛУЧАТЕЛЕЙ СУБСИДИИ
Дата, время и место рассмотрения заявок об участии в отборе _____________________
| № п/п | Дата и номер заявки об участии в отборе | Наименование производителя | ИНН производителя | Размер субсидии на соответствующий финансовый год, рублей | Значение результата предоставления субсидии, рублей | Значение показателя, необходимого для достижения результата предоставления субсидии |
| 1 | 2 | 3 | 4 | 5 | 6 | 7 |
(форма)
РЕЕСТР ПОЛУЧАТЕЛЕЙ СУБСИДИИ
Дата, время и место рассмотрения заявок об участии в отборе _____________________
| № п/п | Дата и номер заявки об участии в отборе | Наименование производителя | ИНН производителя | Размер субсидии на соответствующий финансовый год, рублей | Значение результата предоставления субсидии, рублей | Значение показателя, необходимого для достижения результата предоставления субсидии |
| 1 | 2 | 3 | 4 | 5 | 6 | 7 |
_____________
ПРИЛОЖЕНИЕ № 2
к Правилам предоставления субсидий из федерального бюджета производителям специализированной техники или оборудования в целях предоставления покупателям скидки при приобретении такой техники или оборудования
(в редакции постановления Правительства Российской Федерации от 15 февраля 2022 г. № 170)
(форма)
ОБЪЯВЛЕНИЕ
о проведении отбора на право получения субсидий из федерального бюджета производителям специализированной техники или оборудования в целях предоставления покупателям скидки при приобретении такой техники или оборудования на _____ год
Информация о проведении отбора | |
| Дата и время начала и окончания приема заявок об участии в отборе* |
|
| Дата размещения результатов отбора в государственной информационной системе промышленности в информационно-телекоммуникационной сети "Интернет" (с размещением указателя страницы сайта на едином портале)** |
|
| Доменное имя и (или) указатели страниц государственной интегрированной информационной системы управления общественными финансами "Электронный бюджет" или сайта в информационно-телекоммуникационной сети "Интернет", на котором обеспечивается проведение отбора | |
Информация о главном распорядителе как получателе средств | |
| Наименование | |
| Место нахождения | |
| Почтовый адрес | |
| Адрес электронной почты | |
Информация об условиях отбора | |
| Результат предоставления субсидии | |
| Требования к производителям и перечень документов, представляемых производителями для подтверждения их соответствия данным требованиям | |
| Порядок подачи заявок об участии в отборе производителями и требования, предъявляемые к форме и содержанию заявок об участии в отборе, подаваемых производителями | |
| Порядок отзыва заявок об участии в отборе производителей и порядок внесения изменений в них | |
| Порядок возврата заявок об участии в отборе производителей, определяющий в том числе основания для возврата заявок об участии в отборе | |
| Правила рассмотрения заявок об участии в отборе производителей | |
| Порядок предоставления производителям разъяснений положений объявления о проведении отбора, даты начала и окончания срока такого предоставления | |
| Срок, в течение которого производители, прошедшие отбор, должны подписать соглашение о предоставлении субсидии | |
| Условия признания производителей, прошедших отбор, уклонившимися от заключения соглашения о предоставлении субсидии | |
______________________
* Сроки проведения отбора не могут быть меньше 30 календарных дней, следующих за днем размещения объявления. Сроки проведения повторного отбора устанавливаются Министерством промышленности и торговли Российской Федерации.
** В соответствии со сроками, установленными подпунктом "г" и абзацем третьим подпункта "з" пункта 13 Правил предоставления субсидий из федерального бюджета производителям специализированной техники или оборудования в целях предоставления покупателям скидки при приобретении такой техники или оборудования, утвержденных постановлением Правительства Российской Федерации от 4 июня 2020 г. № 823 "Об утверждении Правил предоставления субсидий из федерального бюджета производителям специализированной техники или оборудования в целях предоставления покупателям скидки при приобретении такой техники или оборудования" (в редакции настоящего постановления).
_____________
ПРИЛОЖЕНИЕ № 3
к Правилам предоставления субсидий из федерального бюджета производителям специализированной техники или оборудования в целях предоставления покупателям скидки при приобретении такой техники или оборудования
(В редакции постановлений Правительства Российской Федерации от 28.12.2020 № 2323, от 15.02.2022 № 170)
(форма)
ПЕРЕЧЕНЬ
производителей, не прошедших отбор на право получения субсидий из федерального бюджета производителям специализированной техники или оборудования в целях предоставления покупателям скидки при приобретении такой техники или оборудования
Дата, время и место рассмотрения заявок об участии в отборе _____________________
| № п/п | Дата и номер заявки об участии в отборе | Наименование производителя | ИНН производителя | Размер субсидии на соответствующий финансовый год, рублей | Значение результата предоставления субсидии, рублей | Значение показателя, необходимого для достижения результата предоставления субсидии | Причины отклонения заявки об участии в отборе, в том числе положения объявления, которым не соответствует заявка об участии в отборе |
| 1 | 2 | 3 | 4 | 5 | 6 | 7 | 8 |
______________
ПРИЛОЖЕНИЕ № 4
к Правилам предоставления субсидий из федерального бюджета производителям специализированной техники или оборудования в целях предоставления покупателям скидки при приобретении такой техники или оборудования
(В редакции постановлений Правительства Российской Федерации от 28.12.2020 № 2323, от 15.02.2022 № 170)
(форма)
ПЕРЕЧЕНЬ
производителей, заявки об участии в отборе которых были рассмотрены
Дата, время и место рассмотрения заявок об участии в отборе _____________________
| № п/п | Дата и номер заявки об участии в отборе | Наименование производителя | ИНН производителя | Размер субсидии на соответствующий финансовый год, рублей | Значение результата предоставления субсидии, рублей | Значение показателя, необходимого для достижения результата предоставления субсидии |
| 1 | 2 | 3 | 4 | 5 | 6 | 7 |
______________
ПРИЛОЖЕНИЕ № 5
к Правилам предоставления субсидий из федерального бюджета производителям специализированной техники или оборудования в целях предоставления покупателям скидки при приобретении такой техники или оборудования
(В редакции Постановления Правительства Российской Федерации от 28.12.2020 № 2323)
(форма)
СПРАВКА
для получения субсидии из федерального бюджета производителями специализированной техники или оборудования в целях предоставления покупателям скидки при приобретении такой техники или оборудования
Наименование производителя _________________________________________________
Адрес _____________________________________________________________________
ОГРН _____________________________________________________________________
ИНН ______________________________________________________________________
КПП ______________________________________________________________________
| Наименование покупателя продукции | ИНН покупателя продукции | Реквизиты (дата и номер) договора о реализации и дилерского договора (при наличии) | Наименование вида продукции с указанием кода Общероссийского классификатора продукции по видам экономической деятельности | Идентификационный (серийный) номер продукции | Дата производства продукции (ДД.ММ.ГГГГ) | Цена единицы продукции в соответствии с перечнем наименований видов продукции | Конечная цена реализации единицы продукции покупателю по договору о реализации (с учетом налога на добавленную стоимость), рублей | Размер предоставленной скидки покупателю по договору | Количество единиц продукции, штук | Суммарный объем скидок покупателю по договору о реализации (с учетом налога на добавленную стоимость), рублей | Реквизиты (дата и номер) акта приема-передачи продукции по договору о реализации | Реквизиты (дата, номер и сумма) платежных документов об оплате покупателем продукции в соответствии с условиями договора о реализации | Дата и номер заключения о подтверждении производства промышленной продукции на территории Российской Федерации, выданного Министерством промышленности и торговли Российской Федерации в соответствии с постановлением Правительства Российской Федерации |
| А | Б | В | Г | Д | Е | Ж | З | И = Ж - З | К | Л = И x К | М | Н | О |
| Договоры о реализации, заключенные не ранее 1 июля 2018 г., поставка продукции по которым осуществлена покупателю не позднее 31 декабря 2019 г. | |||||||||||||
| Договоры о реализации, заключенные не ранее 1 июля года, предшествующего финансовому году получения субсидии, поставка продукции по которым осуществлена покупателю не ранее 1 января финансового года получения субсидии | |||||||||||||
___________________________________ подтверждает, что государственная поддержка
(наименование производителя)
производства и реализации одной и той же единицы продукции, указанной в настоящей справке, оказывается ему один раз в течение срока службы такой продукции, за исключением государственной поддержки, оказываемой в рамках постановлений Правительства Российской Федерации от 15 января 2014 г. № 30 "Об утверждении Правил предоставления субсидий из федерального бюджета российским производителям колесных транспортных средств на компенсацию части затрат на использование энергоресурсов энергоемкими предприятиями автомобильной промышленности", от 15 января 2014 г. № 31 "Об утверждении Правил предоставления субсидий из федерального бюджета российским производителям колесных транспортных средств на компенсацию части затрат, связанных с выпуском и поддержкой гарантийных обязательств в отношении колесных транспортных средств, соответствующих нормам Евро-4 и Евро-5", от 15 января 2014 г. № 32 "Об утверждении Правил предоставления субсидий из федерального бюджета российским производителям колесных транспортных средств на компенсацию части затрат на содержание рабочих мест", от 10 февраля 2018 г. № 145 "Об утверждении Правил предоставления субсидий из федерального бюджета российским производителям на компенсацию части затрат, связанных с выпуском и поддержкой гарантийных обязательств в отношении высокопроизводительной сельскохозяйственной самоходной и прицепной техники, и признании утратившими силу некоторых актов Правительства Российской Федерации" и от 10 февраля 2018 г. № 146 "Об утверждении Правил предоставления субсидий из федерального бюджета российским производителям на компенсацию части затрат, связанных с выпуском и поддержкой гарантийных обязательств в отношении высокопроизводительной самоходной и прицепной техники, и признании утратившими силу некоторых актов Правительства Российской Федерации".
| Руководитель производителя | __________________ | ______________________ |
| Главный бухгалтер (при наличии) |
__________________ |
________________________ |
| Исполнитель | ____________________ | Телефон __________________ |
"___" ____________ 20__ г.
М.П. (при наличии)
_____________
ПРИЛОЖЕНИЕ № 6
к Правилам предоставления субсидий из федерального бюджета производителям специализированной техники или оборудования в целях предоставления покупателям скидки при приобретении такой техники или оборудования
(В редакции Постановления Правительства Российской Федерации от 28.12.2020 № 2323)
(форма)
РАСЧЕТ
размера субсидии из федерального бюджета производителям специализированной техники или оборудования в целях предоставления покупателям скидки при приобретении такой техники или оборудования
Наименование производителя ________________________________________________
Адрес _____________________________________________________________________
ОГРН _____________________________________________________________________
ИНН ______________________________________________________________________
КПП ______________________________________________________________________
| Суммарный объем скидок, предоставленных покупателям по договорам о реализации, заключенным не ранее 1 июля 2018 г., поставка продукции по которым осуществлена покупателю не позднее 31 декабря 2019 г., на дату представления заявления о предоставлении субсидии (рублей) | |
| Суммарный объем скидок, предоставленных покупателям по договорам о реализации, заключенным не ранее 1 июля года, предшествующего финансовому году получения субсидии, поставка продукции по которым осуществлена покупателю не ранее 1 января финансового года получения субсидии, на дату представления заявления о предоставлении субсидии (рублей) |
| Руководитель производителя | ________________ | ____________________ | |
| Главный бухгалтер (при наличии) |
_________________ |
_____________________ | |
| Исполнитель | _____________________ | ||
| Телефон _______________ | |||
| "__" ____________ 20__ г. | |||
| М.П. (при наличии) |
____________

Подписаться на обновления