Постановление Правительства Российской Федерации от 08.05.2020 № 650 "О внесении изменений в Правила предоставления субсидий производителям сельскохозяйственной техники и отмене постановления Правительства Российской Федерации от 14 декабря 2018 г. № 1555"
ПРАВИТЕЛЬСТВО РОССИЙСКОЙ ФЕДЕРАЦИИ
ПОСТАНОВЛЕНИЕ
от 8 мая 2020 г. № 650
МОСКВА
О внесении изменений в Правила предоставления субсидий производителям сельскохозяйственной техники и отмене постановления Правительства Российской Федерации
от 14 декабря 2018 г. № 1555
Правительство Российской Федерации постановляет:
1. Утвердить прилагаемые изменения, которые вносятся в Правила предоставления субсидий производителям сельскохозяйственной техники, утвержденные постановлением Правительства Российской Федерации от 27 декабря 2012 г. № 1432 "Об утверждении Правил предоставления субсидий производителям сельскохозяйственной техники" (Собрание законодательства Российской Федерации, 2013, № 1, ст. 29; 2015, № 24, ст. 3471; 2016, № 24, ст. 3525, 3542; 2017, № 4, ст. 653; № 11, ст. 1578; 2018, № 39, ст. 5963; 2019, № 4, ст. 329).
2. Отменить постановление Правительства Российской Федерации от 14 декабря 2018 г. № 1555 "О внесении изменения в пункт 17 Правил предоставления субсидий производителям сельскохозяйственной техники" (Собрание законодательства Российской Федерации, 2018, № 52, ст. 8286).
3. Настоящее постановление вступает в силу со дня его официального опубликования.
Исполняющий обязанности
Председателя Правительства
Российской Федерации А.Белоусов
УТВЕРЖДЕНЫ
постановлением Правительства
Российской Федерации
от 8 мая 2020 г. № 650
ИЗМЕНЕНИЯ,
которые вносятся в Правила предоставления субсидий производителям сельскохозяйственной техники
Правила предоставления субсидий производителям сельскохозяйственной техники изложить в следующей редакции:
"УТВЕРЖДЕНЫ
постановлением Правительства
Российской Федерации
от 27 декабря 2012 г. № 1432
(в редакции постановления
Правительства Российской Федерации
от 8 мая 2020 г. № 650)
ПРАВИЛА
предоставления субсидий производителям
сельскохозяйственной техники
1. Настоящие Правила устанавливают порядок, цели и условия предоставления субсидий из федерального бюджета производителям сельскохозяйственной техники (далее - производители).
Субсидии предоставляются производителям на возмещение недополученных доходов, возникших вследствие реализации сельскохозяйственной техники (далее - субсидии) в рамках подпрограммы "Развитие транспортного и специального машиностроения" государственной программы Российской Федерации "Развитие промышленности и повышение ее конкурентоспособности", в целях достижения индекса производства продукции по отношению к предыдущему финансовому году (производство машин и оборудования для сельского и лесного хозяйства) путем стимулирования реализации конкурентоспособной сельскохозяйственной техники на внутреннем рынке.
2. Используемые в настоящих Правилах понятия означают следующее:
"дата поставки продукции" - день подписания производителем (продавцом) и покупателем акта приема-передачи продукции;
"дилерский договор" - договор поставки продукции, заключенный с продавцом;
"договор о реализации" - договор о реализации продукции (дополнительное соглашение, приложение и (или) спецификация к нему), в соответствии с которым производитель (продавец) обязуется передать продукцию в собственность покупателю;
"квалификационный отбор" - отбор производителей, которые соответствуют требованиям, установленным настоящими Правилами;
"контрагент производителя" - юридическое лицо или индивидуальный предприниматель, являющиеся налоговыми резидентами Российской Федерации, осуществляющие часть технологических операций, соответствующих требованиям согласно приложению № 1, или передающие их результат по гражданско-правовому договору, заключенному с производителем;
"лизинговая компания" - коммерческая организация - резидент Российской Федерации, приобретающая в ходе реализации договора финансовой аренды (лизинга) в собственность продукцию у производителя (продавца) и предоставляющая ее в качестве предмета договора финансовой аренды (лизинга) лизингополучателю за определенную плату, на определенный срок и на определенных условиях во временное владение и в пользование с переходом или без перехода к лизингополучателю права собственности на продукцию;
"лизингополучатель" - гражданин, или индивидуальный предприниматель, или юридическое лицо, заключившие договор финансовой аренды (лизинга) с лизинговой компанией;
"показатель, необходимый для достижения результата предоставления субсидии" - отношение стоимостного объема продукции, реализованной производителем на территории Российской Федерации в соответствующем финансовом году (без учета налога на добавленную стоимость), к объему субсидии, предоставляемой производителю в соответствующем финансовом году (в 2020 году в объем субсидии, предоставляемой производителю в соответствующем финансовом году, не включается объем субсидии, предоставленной производителям, предоставившим скидку на продукцию в 2019 году, поставка которой осуществлена не позднее 31 декабря 2019 г.). В 2020 году при предоставлении субсидии производителям, предоставившим скидку на продукцию в 2019 году, поставка которой осуществлена не позднее 31 декабря 2019 г., показателем, необходимым для достижения результата предоставления субсидии, является отношение стоимостного объема продукции, реализованной производителем на территории Российской Федерации (без учета налога на добавленную стоимость), субсидия по которой не предоставлялась производителю в 2019 году, к объему субсидии, предоставляемой производителю в 2020 году;
"покупатель" - гражданин, или индивидуальный предприниматель, или юридическое лицо, являющиеся сельскохозяйственными товаропроизводителями либо осуществляющие производство и (или) переработку продукции птицеводства, мукомольно-крупяной и комбикормовой промышленности, или лизинговая компания, приобретающая продукцию для последующей передачи лизингополучателю;
"предельные объемы государственной поддержки" - лимиты бюджетных ассигнований, доведенных в установленном порядке до Министерства промышленности и торговли Российской Федерации как получателя средств федерального бюджета на цели, указанные в пункте 1 настоящих Правил, распределенные по продукции, предусмотренной приложением № 1 к настоящим Правилам. В 2020 году данное условие не применяется к субсидиям, предоставляемым производителям в отношении договоров о реализации продукции, заключенных в 2019 году, поставка продукции по которым осуществлена не позднее 31 декабря 2019 г.;
"продавец" - юридическое лицо или индивидуальный предприниматель, реализующие продукцию;
"продукция" - сельскохозяйственная техника или оборудование, предназначенные для выполнения сельскохозяйственных работ, по перечню, предусмотренному приложением № 1 к настоящим Правилам;
"проект реестра получателей субсидии" - перечень производителей, прошедших квалификационный отбор в соответствии с настоящими Правилами, с которыми в соответствующем финансовом году могут быть заключены соглашения о предоставлении субсидии;
"реестр получателей субсидии" - перечень производителей, прошедших квалификационный отбор в соответствии с настоящими Правилами, с которыми в соответствующем финансовом году заключены соглашения о предоставлении субсидии, содержащий размер субсидии на соответствующий финансовый год, показатель, необходимый для достижения результата предоставления субсидии, и результат предоставления субсидии в отношении каждого производителя;
"реестр получателей субсидии в отношении договоров о реализации продукции, заключенных в 2019 году" - перечень производителей, которые непосредственно или через продавца предоставили скидку покупателям продукции в соответствии с договорами о реализации, заключенными в 2019 году, поставка продукции по которым была осуществлена не позднее 31 декабря 2019 г., субсидия на которую не предоставлялась производителю в 2019 году, и с которыми в 2020 году заключены соглашения о предоставлении субсидии, содержащий размер субсидии на 2020 год, показатель, необходимый для достижения результата предоставления субсидии, и результат предоставления субсидии в отношении каждого производителя;
"результат предоставления субсидии" - стоимостный объем продукции, реализованной производителем на территории Российской Федерации в соответствующем финансовом году (без учета налога на добавленную стоимость). Результатом предоставления субсидии в 2020 году для производителей, предоставивших скидку на продукцию в 2019 году, поставка которой осуществлена не позднее 31 декабря 2019 г., является стоимостный объем продукции, реализованной производителем на территории Российской Федерации, субсидия на которую не предоставлялась производителю в 2019 году (без учета налога на добавленную стоимость);
"скидка" - льгота в виде скидки, предоставляемой покупателю непосредственно производителем или через продавца в соответствии с договором о реализации.
3. Субсидии предоставляются производителю, включенному в реестр получателей субсидии в отношении договоров о реализации продукции, заключенных в 2019 году, и (или) реестр получателей субсидии, при условии, что покупателю продукции в соответствии с договором о реализации предоставлена в отношении единицы продукции скидка в размере не меньше размера субсидии.
4. Размер субсидии, предоставляемой производителю в 2020 году, не может превышать величину, определяемую как сумму размеров субсидии, предоставляемой производителю в отношении договоров о реализации, заключенных в 2019 году, субсидия в отношении которых не предоставлялась производителю в 2019 году, и субсидии, предоставляемой производителю в отношении договоров о реализации, заключенных не ранее 1 ноября 2019 г. и не позднее 1 декабря 2020 г., поставка продукции по которым осуществлена в 2020 году.
5. Размер субсидии, предоставляемой производителю в отношении договоров о реализации, заключенных в 2019 году, субсидия в отношении которых не предоставлялась производителю в 2019 году (
), определяется по формуле:
,
где:
- цена единицы модификации продукции на 2019 год на условиях франко-завод (без учета налога на добавленную стоимость), представленная производителем в 2019 году в Министерство сельского хозяйства Российской Федерации;
- количество единиц модификации продукции, поставленной покупателям в 2019 году;
- количество единиц модификации продукции, поставленной покупателям, зарегистрированным на территории субъектов Российской Федерации, входящих в состав Сибирского федерального округа и Дальневосточного федерального округа, а также Республики Крым, г. Севастополя и Калининградской области, в 2019 году;
n - количество модификаций продукции.
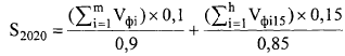
6. Размер субсидии, предоставляемой производителю в отношении договоров о реализации, заключенных не ранее 1 ноября 2019 г. и не позднее 1 декабря 2020 г., поставка продукции по которым осуществлена в 2020 году (
), определяется по формуле:
,
где:
- совокупная стоимость продукции с учетом скидки по договору о реализации (без учета налога на добавленную стоимость);
m - количество договоров о реализации, заключенных не ранее 1 ноября 2019 г. и не позднее 1 декабря 2020 г., поставка продукции по которым осуществлена в 2020 году;
- совокупная стоимость продукции с учетом скидки по договору о реализации, заключенному с покупателем, зарегистрированным на территории субъекта Российской Федерации, входящего в состав Сибирского федерального округа, или Дальневосточного федерального округа, или Республики Крым, или г. Севастополя, или Калининградской области (без учета налога на добавленную стоимость);
h - количество договоров о реализации, заключенных не ранее 1 ноября 2019 г. и не позднее 1 декабря 2020 г., поставка продукции по которым осуществлена в 2020 году покупателям, зарегистрированным на территории субъектов Российской Федерации, входящих в состав Сибирского федерального округа и Дальневосточного федерального округа, а также Республики Крым, г. Севастополя и Калининградской области.
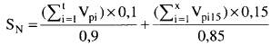
7. Размер субсидии, предоставляемой производителю начиная с 2021 года, не может превышать величину (SN), определяемую по формуле:
,
где:
Vpi - совокупная стоимость продукции с учетом скидки по договору о реализации, заключенному не ранее 1 ноября года, предшествующего году получения субсидии, поставка продукции по которому осуществлена не ранее 1 января года получения субсидии (без учета налога на добавленную стоимость);
t - количество договоров о реализации, заключенных не ранее 1 ноября года, предшествующего году получения субсидии, поставка продукции по которым осуществлена не ранее 1 января года получения субсидии;
- совокупная стоимость продукции с учетом скидки по договору о реализации, заключенному не ранее 1 ноября года, предшествующего году получения субсидии, поставка продукции по которому осуществлена не ранее 1 января года получения субсидии, с покупателем, зарегистрированным на территории субъектов Российской Федерации, входящих в состав Сибирского федерального округа, или Дальневосточного федерального округа, или Республики Крым, или г. Севастополя, или Калининградской области (без учета налога на добавленную стоимость);
x - количество договоров о реализации, заключенных не ранее 1 ноября года, предшествующего году получения субсидии, поставка продукции по которым осуществлена не ранее 1 января года получения субсидии покупателям, зарегистрированным на территории субъектов Российской Федерации, входящих в состав Сибирского федерального округа и Дальневосточного федерального округа, а также Республики Крым, г. Севастополя и Калининградской области.
Размер субсидии, предоставляемой одному производителю в соответствующем году в отношении продукции в рамках одного пункта приложения № 1 к настоящим Правилам, не может превышать 70 процентов предельного объема государственной поддержки такого пункта. Указанное требование не применяется в случае, если заявленный показатель, необходимый для достижения результата предоставления субсидии, превышает заявленные другими производителями показатели, необходимые для достижения результата предоставления субсидии, более чем на 50 процентов в отношении продукции в рамках одного пункта приложения № 1 к настоящим Правилам. В 2020 году данное требование применяется к субсидии, предоставляемой производителям в отношении договоров о реализации, заключенных не ранее 1 ноября 2019 г. и не позднее 1 декабря 2020 г., поставка продукции по которым осуществлена в 2020 году.
8. Право на включение в реестр получателей субсидии в отношении договоров о реализации продукции, заключенных в 2019 году, и (или) реестр получателей субсидии имеет производитель, соответствующий хотя бы одному из следующих требований:
а) производителем и контрагентом (контрагентами) производителя (в случае осуществления им (ими) части технологических операций) при производстве продукции осуществляются на территории Российской Федерации технологические операции, предусмотренные приложением № 1 к настоящим Правилам, и у производителя в отношении этой продукции имеются права на конструкторскую и технологическую документацию на осуществление технологических операций, предусмотренных приложением № 1 к настоящим Правилам;
б) производитель заключил специальный инвестиционный контракт в сфере производства продукции с Министерством промышленности и торговли Российской Федерации в соответствии с Правилами заключения специальных инвестиционных контрактов, утвержденными постановлением Правительства Российской Федерации от 16 июля 2015 г. № 708 "О специальных инвестиционных контрактах для отдельных отраслей промышленности" (далее - инвестиционный контракт), и в полном объеме выполняет обязательства в рамках инвестиционного контракта, в том числе в части осуществления технологических операций при производстве продукции.
9. Производитель по состоянию на дату не ранее чем за 30 дней до дня подачи указанного в пункте 11 и (или) пункте 13 настоящих Правил заявления должен соответствовать следующим требованиям:
а) у производителя отсутствует неисполненная обязанность по уплате налогов, сборов, страховых взносов, пеней, штрафов и процентов, подлежащих уплате в соответствии с законодательством Российской Федерации о налогах и сборах;
б) у производителя отсутствуют просроченная задолженность по возврату в федеральный бюджет субсидий, бюджетных инвестиций, предоставленных в том числе в соответствии с иными правовыми актами, и иная просроченная задолженность перед федеральным бюджетом;
в) производитель не находится в процессе реорганизации, ликвидации, в отношении производителя не введена процедура банкротства, и деятельность производителя не приостановлена в порядке, предусмотренном законодательством Российской Федерации;
г) производитель не является иностранным юридическим лицом, а также российским юридическим лицом, в уставном (складочном) капитале которого доля участия иностранных юридических лиц, местом регистрации которых является государство или территория, включенные в утвержденный Министерством финансов Российской Федерации перечень государств и территорий, предоставляющих льготный налоговый режим налогообложения и (или) не предусматривающих раскрытия и предоставления информации при проведении финансовых операций (офшорные зоны), в совокупности превышает 50 процентов;
д) производитель не получает субсидии из федерального бюджета на цели, указанные в пункте 1 настоящих Правил, на основании иных нормативных правовых актов.
10. Субсидия предоставляется на основании соглашения о предоставлении субсидии, заключенного между Министерством промышленности и торговли Российской Федерации и производителем в соответствии с типовой формой, установленной Министерством финансов Российской Федерации (далее - соглашение).
Соглашение заключается в форме электронного документа с использованием государственной интегрированной информационной системы управления общественными финансами "Электронный бюджет" и подписывается усиленной квалифицированной электронной подписью лиц, имеющих право действовать от имени каждой из сторон.
В соглашении предусматриваются в том числе сроки и формы представления производителем дополнительной отчетности по запросу Министерства промышленности и торговли Российской Федерации, согласие производителя на проведение Министерством промышленности и торговли Российской Федерации и органами государственного финансового контроля проверок соблюдения производителем целей и условий предоставления субсидии, которые установлены настоящими Правилами, а также значение показателя, необходимого для достижения результата предоставления субсидии.
11. В целях формирования в 2020 году реестра получателей субсидии в отношении договоров о реализации продукции, заключенных в 2019 году, производитель до 15 мая 2020 г. представляет в Министерство промышленности и торговли Российской Федерации заявление о включении в реестр получателей субсидии в отношении договоров о реализации продукции, заключенных в 2019 году, подписанное руководителем производителя (уполномоченным лицом с представлением документов, подтверждающих полномочия указанного лица), с приложением:
а) выписки из Единого государственного реестра юридических лиц (оригинал или нотариально заверенная копия), или выписки из Единого государственного реестра индивидуальных предпринимателей (оригинал или нотариально заверенная копия), или сведений о юридическом лице или индивидуальном предпринимателе, полученных с официального сайта Федеральной налоговой службы в информационно-телекоммуникационной сети "Интернет" в форме электронного документа, подписанного усиленной квалифицированной электронной подписью, на дату не ранее чем за 30 дней до дня подачи заявления о включении в реестр получателей субсидии в отношении договоров о реализации продукции, заключенных в 2019 году;
б) справки налогового органа (оригинал или нотариально заверенная копия), подтверждающей отсутствие у производителя по состоянию на дату не ранее чем за 30 дней до дня подачи заявления о включении в реестр получателей субсидии в отношении договоров о реализации продукции, заключенных в 2019 году, неисполненной обязанности по уплате налогов, сборов, страховых взносов, пеней, штрафов и процентов, подлежащих уплате в соответствии с законодательством Российской Федерации о налогах и сборах (в случае непредставления производителем такого документа Министерство промышленности и торговли Российской Федерации запрашивает его самостоятельно);
в) справки, подписанной руководителем (уполномоченным лицом с представлением документов, подтверждающих полномочия указанного лица) и главным бухгалтером (при наличии) производителя, подтверждающей соответствие производителя по состоянию на дату не ранее чем за 30 дней до дня подачи заявления о включении в реестр получателей субсидии в отношении договоров о реализации продукции, заключенных в 2019 году, требованиям, установленным пунктом 9 настоящих Правил;
г) справки, подписанной руководителем (уполномоченным лицом с представлением документов, подтверждающих полномочия указанного лица) и главным бухгалтером (при наличии) производителя, с указанием перечня моделей продукции и их модификаций, которые предлагались производителем к реализации на территории Российской Федерации в 2019 году, с указанием кодов Общероссийского классификатора продукции по видам экономической деятельности (ОКПД 2) и цены единицы модификации продукции на 2019 год на условиях франко-завод (без вычета скидки и без учета налога на добавленную стоимость), представленной производителем в 2019 году в Министерство сельского хозяйства Российской Федерации;
д) сведений о запрашиваемом в 2020 году размере субсидии, о результате предоставления субсидии и о показателе, необходимом для достижения результата предоставления субсидии, на основании объема скидок, предоставленных покупателям по договорам о реализации, заключенным в 2019 году, поставка продукции по которым осуществлена не позднее 31 декабря 2019 г., субсидия по которым не предоставлялась производителю в 2019 году, подписанных руководителем (уполномоченным лицом с представлением документов, подтверждающих полномочия указанного лица) и главным бухгалтером (при наличии) производителя;
е) справки, подписанной руководителем производителя (уполномоченным лицом с представлением документов, подтверждающих полномочия указанного лица), о наличии прав на конструкторскую и технологическую документацию в объеме, необходимом для осуществления разработки, производства, модернизации и обслуживания продукции и компонентов к ней, по форме согласно приложению № 2 (с приложением на электронном носителе копий документов, подтверждающих указанные права);
ж) справки, подписанной руководителем производителя (уполномоченным лицом с представлением документов, подтверждающих полномочия указанного лица), о наличии технической документации, подтверждающей осуществление на территории Российской Федерации производителем и контрагентом (контрагентами) производителя (в случае осуществления им (ими) части технологических операций) технологических операций при производстве продукции, по форме согласно приложению № 3 (с приложением на электронном носителе копий документов, подтверждающих выполнение технологических операций);
з) в отношении продукции, произведенной в рамках инвестиционного контракта, - подписанных руководителем (уполномоченным лицом с представлением документов, подтверждающих полномочия указанного лица) и главным бухгалтером (при наличии) производителя копий инвестиционного контракта и отчета об исполнении принятых по инвестиционному контракту обязательств.
12. Министерство промышленности и торговли Российской Федерации:
а) регистрирует в порядке поступления заявления, указанные в пункте 11 настоящих Правил;
б) проверяет в течение 15 рабочих дней со дня окончания подачи заявлений, указанных в пункте 11 настоящих Правил, полноту и достоверность содержащихся в них сведений;
в) в случае если совокупный размер запрашиваемой производителями субсидии превышает лимиты бюджетных обязательств, доведенные в установленном порядке до Министерства промышленности и торговли Российской Федерации как получателя средств федерального бюджета в 2020 году на цели, указанные в пункте 1 настоящих Правил, осуществляет пропорциональное уменьшение запрашиваемого размера субсидии, а также пересчет показателя, необходимого для достижения результата предоставления субсидии, для каждого производителя;
г) заключает с производителями соглашения о предоставлении субсидии. В случае если производитель не подписывает соглашение о предоставлении субсидии в течение 5 рабочих дней со дня его поступления на подписание с использованием государственной интегрированной информационной системы управления общественными финансами "Электронный бюджет", Министерство промышленности и торговли Российской Федерации принимает решение об отказе в заключении соглашения о предоставлении субсидии, уведомляет об этом производителя и возвращает заявление о включении в реестр получателей субсидии в отношении договоров о реализации продукции, заключенных в 2019 году, и документы, представленные производителем в соответствии с пунктом 11 настоящих Правил;
д) формирует реестр получателей субсидии в отношении договоров о реализации продукции, заключенных в 2019 году, и размещает его в государственной информационной системе промышленности в информационно-телекоммуникационной сети "Интернет";
е) уведомляет производителя об отказе во включении в реестр получателей субсидии в отношении договоров о реализации продукции, заключенных в 2019 году, и возвращает заявление о включении в этот реестр с прилагаемыми документами в случае непредставления (представления не в полном объеме) документов, указанных в пункте 11 настоящих Правил, и (или) наличия в представленных документах недостоверной информации, и (или) нарушения сроков их представления, и (или) несоответствия представленных документов требованиям, установленным пунктами 4 - 9 и 11 настоящих Правил.
13. В 2020 году при наличии нераспределенного после формирования реестра получателей субсидии в отношении договоров о реализации продукции, заключенных в 2019 году, объема средств субсидии в пределах лимитов бюджетных ассигнований, доведенных в установленном порядке до Министерства промышленности и торговли Российской Федерации как получателя средств федерального бюджета на цели, указанные в пункте 1 настоящих Правил, Министерство промышленности и торговли Российской Федерации проводит квалификационный отбор.
14. Для участия в квалификационном отборе производитель с 11 июня по 10 июля 2020 г. (начиная с 2020 года - с 10 ноября по 10 декабря в целях формирования реестра получателей субсидии на год, следующий за текущим финансовым годом) представляет в Министерство промышленности и торговли Российской Федерации заявление об участии в квалификационном отборе, подписанное руководителем производителя (уполномоченным лицом с представлением документов, подтверждающих полномочия указанного лица), с приложением:
а) выписки из Единого государственного реестра юридических лиц (оригинал или нотариально заверенная копия), или выписки из Единого государственного реестра индивидуальных предпринимателей (оригинал или нотариально заверенная копия), или сведений о юридическом лице или индивидуальном предпринимателе, полученных с официального сайта Федеральной налоговой службы в информационно-телекоммуникационной сети "Интернет" в форме электронного документа, подписанного усиленной квалифицированной электронной подписью, на дату не ранее чем за 30 дней до дня подачи заявления об участии в квалификационном отборе;
б) справки налогового органа (оригинал или нотариально заверенная копия), подтверждающей отсутствие у производителя по состоянию на дату не ранее чем за 30 дней до дня подачи заявления об участии в квалификационном отборе неисполненной обязанности по уплате налогов, сборов, страховых взносов, пеней, штрафов и процентов, подлежащих уплате в соответствии с законодательством Российской Федерации о налогах и сборах (в случае непредставления производителем такого документа Министерство промышленности и торговли Российской Федерации запрашивает его самостоятельно);
в) справки, подписанной руководителем (уполномоченным лицом с представлением документов, подтверждающих полномочия указанного лица) и главным бухгалтером (при наличии) производителя, подтверждающей соответствие производителя по состоянию на дату не ранее чем за 30 дней до дня подачи заявления об участии в квалификационном отборе требованиям, установленным пунктом 9 настоящих Правил;
г) справки, подписанной руководителем (уполномоченным лицом с представлением документов, подтверждающих полномочия указанного лица) и главным бухгалтером (при наличии) производителя, с указанием перечня моделей продукции и (или) их модификаций, предлагаемых производителем к реализации на территории Российской Федерации в соответствующем календарном году, кодов Общероссийского классификатора продукции по видам экономической деятельности (ОКПД 2) и цены реализации продукции (без вычета скидки и без учета налога на добавленную стоимость);
д) справки, подписанной руководителем (уполномоченным лицом с представлением документов, подтверждающих полномочия указанного лица) и главным бухгалтером (при наличии) производителя, подтверждающей обязательство производителя достигнуть запланированный результат предоставления субсидии в соответствующем финансовом году;
е) сведений о запрашиваемом в соответствующем финансовом году размере субсидии в отношении продукции по каждому пункту приложения № 1 к настоящим Правилам и о запланированном к достижению показателе, необходимом для достижения результата предоставления субсидии, подписанных руководителем (уполномоченным лицом с представлением документов, подтверждающих полномочия указанного лица) и главным бухгалтером (при наличии) производителя;
ж) в отношении продукции, предусмотренной перечнем критериев определения функциональных характеристик (потребительских свойств) и эффективности сельскохозяйственной техники и оборудования, утвержденным постановлением Правительства Российской Федерации от 1 августа 2016 г. № 740 "Об определении функциональных характеристик (потребительских свойств) и эффективности сельскохозяйственной техники и оборудования", - копии решения о ее соответствии установленным в указанном перечне критериям по каждой модели, заверенной руководителем (уполномоченным лицом с представлением документов, подтверждающих полномочия указанного лица) и главным бухгалтером (при наличии) производителя (для заявлений об участии в квалификационном отборе, представляемых начиная с 1 января 2022 г.);
з) справки, подписанной руководителем производителя (уполномоченным лицом с представлением документов, подтверждающих полномочия указанного лица), о наличии прав на конструкторскую и технологическую документацию в объеме, необходимом для осуществления разработки, производства, модернизации и обслуживания продукции и компонентов к ней, по форме, предусмотренной приложением № 2 к настоящим Правилам (с приложением на электронном носителе копий документов, подтверждающих указанные права);
и) справки, подписанной руководителем производителя (уполномоченным лицом с представлением документов, подтверждающих полномочия указанного лица), о наличии технической документации, подтверждающей осуществление на территории Российской Федерации производителем и контрагентом (контрагентами) производителя (в случае осуществления им (ими) части технологических операций) технологических операций при производстве продукции, по форме, предусмотренной приложением № 3 к настоящим Правилам (с приложением на электронном носителе копий документов, подтверждающих выполнение технологических операций);
к) в отношении продукции, произведенной в рамках инвестиционного контракта, - подписанных руководителем (уполномоченным лицом с представлением документов, подтверждающих полномочия указанного лица) и главным бухгалтером (при наличии) производителя копий инвестиционного контракта и отчета об исполнении принятых по инвестиционному контракту обязательств.
15. Министерство промышленности и торговли Российской Федерации:
а) регистрирует в порядке поступления заявления, указанные в пункте 14 настоящих Правил;
б) проверяет в течение 15 рабочих дней со дня окончания подачи заявлений, указанных в пункте 14 настоящих Правил, полноту и достоверность содержащихся в них сведений;
в) в случае если совокупный размер запрашиваемой производителями при проведении квалификационного отбора субсидии в отношении продукции в рамках одного пункта приложения № 1 к настоящим Правилам превышает нераспределенные предельные объемы государственной поддержки в отношении такой продукции, осуществляет пропорциональное уменьшение запрашиваемого размера субсидии и пропорциональное снижение результата предоставления субсидии для каждого производителя. В указанном случае обязательство производителя достигнуть запланированный результат предоставления субсидии в соответствующем финансовом году, предусмотренный подпунктом "д" пункта 14 настоящих Правил, будет относиться к пропорционально сниженному результату предоставления субсидии;
г) формирует проект реестра получателей субсидии, включая в него производителей, которые ранее не были включены в реестр получателей субсидии на соответствующий финансовый год, и размещает его в государственной информационной системе промышленности в информационно-телекоммуникационной сети "Интернет";
д) заключает с производителями, включенными в проект реестра получателей субсидии, соглашения о предоставлении субсидии. В случае если производитель не подписывает соглашение о предоставлении субсидии в течение 5 рабочих дней со дня его поступления на подписание с использованием государственной интегрированной информационной системы управления общественными финансами "Электронный бюджет", Министерство промышленности и торговли Российской Федерации принимает решение об отказе в заключении соглашения о предоставлении субсидии, уведомляет об этом производителя и возвращает заявление об участии в квалификационном отборе и документы, представленные производителем в соответствии с пунктом 14 настоящих Правил;
е) формирует реестр получателей субсидии и размещает его в государственной информационной системе промышленности в информационно-телекоммуникационной сети "Интернет";
ж) уведомляет производителя, признанного не прошедшим квалификационный отбор, об отказе в его включении в реестр получателей субсидии и возвращает его заявление об участии в квалификационном отборе с прилагаемыми документами с указанием оснований, предусмотренных пунктом 16 настоящих Правил;
з) в случае если производитель был включен в реестр получателей субсидии на соответствующий финансовый год, вместо действий, указанных в подпунктах "г" - "е" настоящего пункта, заключает с производителем дополнительное соглашение к соглашению о предоставлении субсидии и корректирует реестр получателей субсидии, суммируя размеры субсидии на соответствующий финансовый год, результаты предоставления субсидии, а также осуществляя пересчет показателя, необходимого для достижения результата предоставления субсидии для такого производителя. В случае если производитель не подписывает дополнительное соглашение к соглашению о предоставлении субсидии в течение 5 рабочих дней со дня его поступления на подписание с использованием государственной интегрированной информационной системы управления общественными финансами "Электронный бюджет", Министерство промышленности и торговли Российской Федерации принимает решение об отказе в заключении дополнительного соглашения к соглашению о предоставлении субсидии, уведомляет об этом производителя и возвращает заявление об участии в квалификационном отборе и документы, представленные производителем в соответствии с пунктом 14 настоящих Правил.
16. Производитель признается не прошедшим квалификационный отбор в следующих случаях:
а) документы не соответствуют требованиям пунктов 4 - 7, 9 и 14 настоящих Правил, документы не представлены (представлены не в полном объеме), нарушены сроки их представления, а также в представленных документах выявлены неполные или недостоверные сведения;
б) значение показателя, необходимого для достижения результата предоставления субсидии, составляет менее 6;
в) не выполнены производителем и контрагентом (контрагентами) производителя (в случае осуществления им (ими) части технологических операций) в полном объеме технологические операции, указанные в приложении № 1 к настоящим Правилам.
17. Министерство промышленности и торговли Российской Федерации направляет не позднее 15 календарных дней после размещения реестра получателей субсидии в государственной информационной системе промышленности в информационно-телекоммуникационной сети "Интернет" в Министерство сельского хозяйства Российской Федерации перечень моделей продукции и их модификаций, предлагаемых производителем к реализации в соответствующем календарном году на территории Российской Федерации, с указанием наименований производителей, реализующих соответствующую продукцию, и кодов Общероссийского классификатора продукции по видам экономической деятельности (ОКПД 2) для размещения на официальном сайте Министерства сельского хозяйства Российской Федерации в информационно-телекоммуникационной сети "Интернет".
18. В случае наличия нераспределенного объема средств субсидии в пределах лимитов бюджетных обязательств, доведенных в установленном порядке до Министерства промышленности и торговли Российской Федерации как получателя средств федерального бюджета на цели, указанные в пункте 1 настоящих Правил, Министерство промышленности и торговли Российской Федерации вправе провести повторный квалификационный отбор с предварительным размещением извещения о его проведении в государственной информационной системе промышленности в информационно-телекоммуникационной сети "Интернет".
Повторный квалификационный отбор проводится в соответствии с пунктами 14 - 16 настоящих Правил при условии нераспределенного объема средств субсидии в пределах лимитов бюджетных обязательств, доведенных в установленном порядке до Министерства промышленности и торговли Российской Федерации как получателя средств федерального бюджета на цели, указанные в пункте 1 настоящих Правил, не позднее 1 октября соответствующего финансового года.
19. Субсидии предоставляются Министерством промышленности и торговли Российской Федерации ежемесячно в соответствии с предельными объемами государственной поддержки.
20. Субсидия предоставляется производителю при выполнении следующих условий:
а) продукция произведена не ранее 1 января года, предшествующего календарному году, в котором был заключен договор о реализации такой продукции;
б) производителями, включенными в реестр получателей субсидии в отношении договоров о реализации продукции, заключенных в 2019 году, договор о реализации заключен в 2019 году, и поставка продукции по нему осуществлена не позднее 31 декабря 2019 г.;
в) производителями, включенными в реестр получателей субсидии, договор о реализации заключен не ранее 1 ноября года, предшествующего текущему финансовом году, и поставка продукции по нему осуществлена не ранее 1 января текущего финансового года;
г) сведения о производителе, предусмотренные постановлением Правительства Российской Федерации от 21 декабря 2017 г. № 1604 "О предоставлении субъектами деятельности в сфере промышленности, органами государственной власти и органами местного самоуправления информации для включения в государственную информационную систему промышленности и размещении информации государственной информационной системы промышленности в открытом доступе в информационно-телекоммуникационной сети "Интернет", размещены в государственной информационной системе промышленности в информационно-телекоммуникационной сети "Интернет";
д) производителю ранее не предоставлялась субсидия на реализацию единицы продукции, при приобретении которой покупателю была предоставлена скидка в соответствии с договорами о реализации;
е) государственная поддержка производства и реализации одной и той же единицы продукции осуществляется один раз в течение срока службы такой единицы продукции, за исключением государственной поддержки, оказываемой в рамках постановлений Правительства Российской Федерации от 10 февраля 2018 г. № 145 "Об утверждении Правил предоставления субсидий из федерального бюджета российским производителям на компенсацию части затрат, связанных с выпуском и поддержкой гарантийных обязательств в отношении высокопроизводительной сельскохозяйственной самоходной и прицепной техники, и признании утратившими силу некоторых актов Правительства Российской Федерации" и от 10 февраля 2018 г. № 146 "Об утверждении Правил предоставления субсидий из федерального бюджета российским производителям на компенсацию части затрат, связанных с выпуском и поддержкой гарантийных обязательств в отношении высокопроизводительной самоходной и прицепной техники, и признании утратившими силу некоторых актов Правительства Российской Федерации".
21. Для получения субсидии производитель, включенный в реестр получателей субсидии в отношении договоров о реализации продукции, заключенных в 2019 году, и (или) реестр получателей субсидии, представляет в Министерство промышленности и торговли Российской Федерации не чаще одного раза в месяц до 10-го числа и не позднее 1 декабря заявление о предоставлении субсидии по форме, приведенной в соглашении о предоставлении субсидии, подписанное руководителем (уполномоченным лицом с представлением документов, подтверждающих полномочия указанного лица) производителя, с приложением следующих документов, заверенных руководителем (уполномоченным лицом с представлением документов, подтверждающих полномочия указанного лица) и главным бухгалтером (при наличии) производителя:
справка для получения субсидии по форме согласно приложению № 4;
расчет размера субсидии по форме согласно приложению № 5;
справка о выполнении производителем требований, предусмотренных пунктами 3 и 5 Правил предоставления субъектами деятельности в сфере промышленности, органами государственной власти и органами местного самоуправления информации для включения в государственную информационную систему промышленности, утвержденных постановлением Правительства Российской Федерации от 21 декабря 2017 г. № 1604 "О предоставлении субъектами деятельности в сфере промышленности, органами государственной власти и органами местного самоуправления информации для включения в государственную информационную систему промышленности и размещении информации государственной информационной системы промышленности в открытом доступе в информационно-телекоммуникационной сети "Интернет".
Заверенные руководителем (уполномоченным лицом с представлением документов, подтверждающих полномочия указанного лица) и главным бухгалтером (при наличии) производителя документы, подтверждающие достоверность сведений, указанных в справке для получения субсидии, указанной в абзаце втором настоящего пункта, обязаны храниться у производителя в течение 5 лет со дня перечисления Министерством промышленности и торговли Российской Федерации субсидии в установленном порядке на расчетный счет производителя, открытый в учреждениях Центрального банка Российской Федерации или кредитных организациях, в соответствии с пунктом 29 настоящих Правил.
22. Министерство промышленности и торговли Российской Федерации при рассмотрении заявлений о предоставлении субсидии:
а) регистрирует заявления, указанные в пункте 21 настоящих Правил, в порядке их поступления;
б) в течение 15 рабочих дней со дня регистрации заявлений, указанных в пункте 21 настоящих Правил, проверяет зарегистрированные заявления и прилагаемые к ним документы, в том числе полноту и достоверность содержащихся в них сведений и их соответствие требованиям настоящих Правил, и принимает решения о предоставлении субсидии либо об отказе в предоставлении субсидии;
в) направляет производителю уведомление об отказе в предоставлении субсидии с приложением заявления и документов, представленных производителем в соответствии с пунктом 21 настоящих Правил, в случае принятия решения об отказе в предоставлении субсидии.
23. Министерство промышленности и торговли Российской Федерации отказывает производителю в предоставлении субсидии в следующих случаях:
а) несоответствие представленных документов требованиям пунктов 3 - 9, 16 и 17 настоящих Правил, непредставление (представление не в полном объеме) указанных документов, нарушение сроков их представления, а также выявление в представленных документах неполных или недостоверных сведений;
б) превышение производителем объемов средств субсидии на текущий финансовый год, предусмотренных реестром получателей субсидии в отношении договоров о реализации продукции, заключенных в 2019 году, и (или) реестром получателей субсидии;
в) наличие у производителя просроченной задолженности по денежным обязательствам перед Российской Федерацией, определенным в статье 934 Бюджетного кодекса Российской Федерации.
24. В случае сокращения в текущем финансовом году потребности в средствах субсидии производитель, включенный в реестр получателей субсидии, не позднее 1 сентября текущего финансового года представляет в Министерство промышленности и торговли Российской Федерации скорректированные сведения о потребности в средствах субсидии на текущий финансовый год, подписанные руководителем (уполномоченным лицом с представлением документов, подтверждающих полномочия указанного лица) и главным бухгалтером (при наличии) производителя. На основании указанных сведений Министерство промышленности и торговли Российской Федерации не позднее 15 сентября текущего финансового года обеспечивает:
а) корректировку реестра получателей субсидии в части уменьшения размеров средств субсидии на текущий финансовый год;
б) размещение скорректированного реестра получателей субсидии в государственной информационной системе промышленности в информационно-телекоммуникационной сети "Интернет".
25. Представление производителем, включенным в реестр получателей субсидии, не позднее 1 сентября текущего финансового года сведений о сокращении в текущем финансовом году потребности в средствах субсидии и неиспользовании по итогам текущего финансового года средств субсидии в объеме в соответствии с реестром получателей субсидии влечет применение к такому производителю штрафных санкций (Свозвр), размер которых определяется по формуле:
,
где:
- объем средств субсидии в соответствии с реестром получателей субсидии;
- объем средств субсидии, фактически предоставленных производителю в текущем финансовом году;
k - коэффициент возврата, учитывающий средний размер ключевой ставки, устанавливаемой Центральным банком Российской Федерации, за период предоставления субсидии в текущем финансовом году, выраженный в долях единицы.
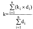
26. Коэффициент возврата, учитывающий средний размер ключевой ставки, устанавливаемой Центральным банком Российской Федерации, за период предоставления субсидии в текущем финансовом году (k), определяется по формуле:
,
где:
n - количество периодов, в которых в текущем финансовом году, начиная с даты заключения производителем соглашения о предоставлении субсидии, изменялось значение ключевой ставки, устанавливаемой Центральным банком Российской Федерации;
ki - выраженный в долях единицы размер устанавливаемой Центральным банком Российской Федерации в текущем финансовом году, начиная с даты заключения производителем соглашения о предоставлении субсидии, ключевой ставки в i-м периоде;
di - количество календарных дней начиная с даты заключения производителем соглашения о предоставлении субсидии в периоде, в котором в текущем финансовом году изменялось значение ключевой ставки, устанавливаемой Центральным банком Российской Федерации.
27. Непредставление производителем, включенным в реестр получателей субсидии, не позднее 1 сентября текущего финансового года сведений о сокращении в текущем финансовом году потребности в средствах субсидии и неиспользовании по итогам текущего финансового года средств субсидии в соответствии с реестром получателей субсидии влечет применение к такому производителю штрафных санкций (Снеисп), размер которых определяется по формуле:
Снеисп = (Sп - Sф) x 3 x k,
где:
Sп - объем средств субсидии в соответствии с реестром получателей субсидии;
Sф - объем средств субсидии, фактически предоставленных производителю в текущем финансовом году;
k - коэффициент возврата, учитывающий средний размер ключевой ставки, устанавливаемой Центральным банком Российской Федерации, за период предоставления субсидии в текущем финансовом году, выраженный в долях единицы.
28. В отношении договоров о реализации, заключенных не ранее 1 ноября года, предшествующего году получения субсидии, поставка по которым осуществлена не ранее 1 января года получения субсидии, в случае превышения цены продукции (без учета налога на добавленную стоимость), указанной в перечне, предусмотренном подпунктом "г" пункта 14 настоящих Правил, более чем на 50 процентов цены продукции (без учета налога на добавленную стоимость и без вычета скидки), указанной в договоре о реализации (Сцен дог), производитель уплачивает штраф (Сцен), размер которого в отношении каждой единицы продукции определяется по формуле:
Сцен = (Сцен пер - Сцен дог) x 3,
где:
Сцен пер - цена продукции, указанная в перечне, предусмотренном подпунктом "г" пункта 14 настоящих Правил (без учета налога на добавленную стоимость);
Сцен дог - цена продукции, указанная в договоре о реализации (без учета налога на добавленную стоимость и без вычета скидки).
Требование настоящего пункта не применяется к субсидиям, предоставляемым получателям в отношении договоров о реализации, заключенных в 2019 году, поставка по которым была осуществлена до 31 декабря 2019 г.
29. Министерство промышленности и торговли Российской Федерации не позднее 10 рабочих дней со дня принятия решения о предоставлении субсидии обеспечивает перечисление субсидии в установленном порядке на расчетный счет производителя, открытый в учреждениях Центрального банка Российской Федерации или кредитных организациях.
30. Производитель обязан в течение 25 рабочих дней со дня окончания года получения субсидии представить в Министерство промышленности и торговли Российской Федерации отчет о достижении результата предоставления субсидии и показателя, необходимого для достижения результата предоставления субсидии, указанных в реестре получателей субсидии в отношении договоров о реализации продукции, заключенных в 2019 году, и (или) реестре получателей субсидии, подписанный руководителем (уполномоченным лицом с представлением документов, подтверждающих полномочия указанного лица) и главным бухгалтером (при наличии) производителя по форме согласно приложению № 6.
31. В случае недостижения производителем показателя, необходимого для достижения результата предоставления субсидии, уплачивается штраф в размере 1 процента объема субсидии, полученной производителем.
32. В случае недостижения результата предоставления субсидии, указанного в реестре получателей субсидии в отношении договоров о реализации продукции, заключенных в 2019 году, и (или) реестре получателей субсидии, средства субсидии в части, пропорциональной величине недостижения такого результата в стоимостном выражении, подлежат возврату в доход федерального бюджета.
33. Министерство промышленности и торговли Российской Федерации и (или) уполномоченные органы государственного финансового контроля проводят обязательные проверки соблюдения производителем порядка, целей и условий предоставления субсидии.
34. В случае установления по итогам проверок, проведенных Министерством промышленности и торговли Российской Федерации и (или) уполномоченным органом государственного финансового контроля фактов несоблюдения производителем условий, установленных при предоставлении субсидий, а также в случаях, указанных в пунктах 31 и 32 настоящих Правил, соответствующие средства подлежат возврату в доход федерального бюджета:
а) на основании требования Министерства промышленности и торговли Российской Федерации - не позднее 10-го рабочего дня со дня получения производителем указанного требования;
б) на основании представления и (или) предписания уполномоченного органа государственного финансового контроля - в сроки, установленные в соответствии с бюджетным законодательством Российской Федерации.
ПРИЛОЖЕНИЕ № 1
к Правилам предоставления
субсидий производителям
сельскохозяйственной техники
ПЕРЕЧЕНЬ
сельскохозяйственной техники или оборудования с указанием предельных объемов государственной поддержки
Наименование продукции | Код Общероссийского классификатора продукции | Предельный объем государственной поддержки* | Требования к технологическим операциям, осуществляемым производителем и контрагентом (контрагентами) производителя | |
1. Зерноуборочные и кормоуборочные комбайны | 47 |
| ||
| комбайны зерноуборочные | 28.30.59.111 |
| сборка и сварка несущей рамы (рамной конструкции), ее покраска; производство моста (мостов) или двигателя либо сборка гусеничной ходовой системы; производство молотильно-сепарирующего устройства, включая раскрой и гибку заготовок, сварку, сборку и покраску; производство молотильного барабана или ротора молотильно-сепарирующего устройства, включая раскрой и гибку заготовок, сварку, сборку и покраску; сборка моторно-силовой установки, или трансмиссии, или моста (мостов); сборка (при необходимости покраска) элементов экстерьера; производство кабины, включая раскрой и гибку заготовок, сварку, сборку и покраску; производство бункера (при наличии в конструкции), включая раскрой и гибку заготовок, сварку (при необходимости) и покраску; производство навесного оборудования (жатки, адаптера), включая раскрой и гибку заготовок, сварку и сборку; производство навесных устройств, включая сварку и сборку; монтаж и покраска моторно-силовой установки, мостов либо гусеничной ходовой системы, трансмиссии, навесных устройств |
| комбайны зерноуборочные в комплектации: агрегат молотильный без навесного оборудования | 28.30.59.111 |
| |
| комбайны кормоуборочные | 28.30.59.190 |
| сборка и сварка несущей рамы (рамной конструкции), ее покраска; производство моста (мостов) или двигателя; производство, включая раскрой и гибку заготовок, сварку, сборку и покраску, питающего аппарата, измельчающего и выгрузного устройств; производство ротора измельчающего устройства, включая раскрой и гибку заготовок, сварку, сборку, балансировку и покраску; сборка моторно-силовой установки, или трансмиссии, или моста (мостов); сборка (при необходимости окраска) элементов экстерьера; производство кабины, включая раскрой и гибку заготовок, сварку, сборку и покраску; производство навесного оборудования (жатки, адаптера), включая раскрой и гибку заготовок, сварку и сборку; производство навесных устройств, включая сварку и сборку; монтаж и покраска моторно-силовой установки, мостов, трансмиссии, навесных устройств |
| комбайны кормоуборочные в комплектации: агрегат измельчающий без навесного оборудования | 28.30.59.190 |
| |
2. Тракторы для сельского хозяйства | 23 |
| ||
| тракторы сельскохозяйственные общего назначения, тракторы сельскохозяйственные универсальные, тракторы сельскохозяйственные универсально-пропашные и тракторы специальные | 28.30.2 |
| производство, сборка и сварка (при необходимости) несущей рамы (при ее наличии), ее покраска; производство моста (мостов), или трансмиссии, или двигателя; сборка моторно-силовой установки, трансмиссии, моста (мостов); производство, сборка и покраска (при необходимости) элементов экстерьера; производство кабины, включая раскрой и гибку заготовок, сварку, сборку и покраску; монтаж и покраска моторного агрегата, осей и мостов, трансмиссии, навесного устройства; монтаж системы электрооборудования; сборка и монтаж гидрооборудования |
| экскаваторы одноковшовые с ковшом емкостью 1 куб. метр | 28.92.26.110 |
| |
| бульдозеры (в том числе с рыхлителями) на гусеничных тракторах тяговых классов от 6-го до 10-го | 28.92.21.110 |
| |
3. Прочая самоходная продукция | 4 |
| ||
| косилки самоходные и шасси самоходные для уборочных машин | 28.30.2, 28.30.5, 28.30.86, 29.10.44 |
| сварка несущей рамы и рамных конструкций, корпусов, бункеров (из металла) (производство неметаллических бункеров), навесного устройства, рабочих органов, элементов экстерьера; покраска несущей рамы и рамных конструкций, корпусов сборка несущей рамы и рамных конструкций, корпусов и бункеров, навесного устройства и рабочих органов, элементов экстерьера; сборка электрооборудования монтаж несущей рамы и рамных конструкций, корпусов, бункеров, навесного устройства, рабочих органов, элементов экстерьера; монтаж электрооборудования (при наличии), пневмооборудования (при наличии), гидрооборудования (при наличии) |
| самоходные машины для внесения минеральных удобрений, средств защиты растений и извести | 28.30.33.120, 28.30.34, 28.30.39, 28.30.6 |
| |
| комбайны льноуборочные самоходные теребильные | 28.30.59.143 |
| сборка и сварка несущей рамы (рамной конструкции), ее покраска; производство мостов; производство, включая раскрой и гибку заготовок, сварку, сборку сборка моторно-силовой установки, или трансмиссии, или моста (мостов); сборка (при необходимости покраска) элементов экстерьера; производство кабины, включая раскрой и гибку заготовок, сварку, сборку и покраску; производство бункера (при наличии в конструкции), включая раскрой и гибку заготовок, сварку (при необходимости) и покраску; монтаж и окраска моторно-силовой установки, мостов, трансмиссии |
| льнотеребилки самоходные | 28.30.59.143 |
| |
| оборачиватели лент льна самоходные | 28.30.59.143 |
| |
| пресс-подборщики льносырья самоходные | 28.30.59.143 |
| |
4. Прочая продукция | 26 | |||
| пресс-подборщики льносырья прицепные | 28.30.59.143 |
| сварка несущей рамы и рамных конструкций, корпусов, бункеров (из металла) (производство неметаллических бункеров), навесного устройства, рабочих органов, элементов экстерьера; покраска несущей рамы и рамных конструкций, корпусов и бункеров (при необходимости), навесного устройства и рабочих органов, элементов экстерьера; сборка несущей рамы и рамных конструкций, корпусов и бункеров, навесного устройства и рабочих органов, элементов экстерьера; сборка электрооборудования (при наличии), пневмооборудования (при наличии), гидрооборудования (при наличии); монтаж несущей рамы и рамных конструкций, корпусов, бункеров, навесного устройства, рабочих органов, элементов экстерьера; монтаж электрооборудования |
| комбайны льноуборочные прицепные | 28.30.59.143 |
| |
| оборачиватели лент льна прицепные | 28.30.59.143 |
| |
| вспушиватели лент льна | 28.30.59.143 |
| |
| жатки очесывающе-теребильные | 28.30.59.112, 28.30.59.143 |
| |
| сушилки для послеуборочной сушки льновороха | 28.30.59.143 |
| производство рамы - резка, рубка, раскрой, сварка, сборка, покраска; производство рабочих органов (вальцов, валов, зубчатых колес, барабанов, шнеков, роликов) - литье, ковка, штамповка, механическая обработка, сварка; производство вентиляционной системы - раскрой, механическая обработка, сборка, покраска; производство элементов экстерьера - раскрой, гибка, штамповка, формование, механическая обработка, сварка, покраска; сборка электрооборудования, пневмооборудования, гидрооборудования; монтаж электрооборудования, пневмооборудования, гидрооборудования |
| молотилки льновороха | 28.30.59.143 |
| |
| сушилки для послеуборочной сушки льнотресты | 28.30.59.143 |
| |
| мяльно-трепальные агрегаты для послеуборочной обработки льнотресты | 28.30.59.143 |
| |
| куделеприготовительные агрегаты для послеуборочной обработки льнотресты | 28.30.59.143 |
| |
| агрегаты по производству льноволокна | 28.30.59.143 |
| |
| сеялки тракторные (без туковых), сеялки зернотуковые | 28.30.33.11 |
| сварка несущей рамы и рамных конструкций, корпусов, бункеров (из металла) (производство неметаллических бункеров), навесного устройства, рабочих органов, элементов экстерьера; покраска несущей рамы и рамных конструкций, корпусов сборка несущей рамы и рамных конструкций, корпусов и бункеров, навесного устройства и рабочих органов, элементов экстерьера; сборка электрооборудования (при наличии), пневмооборудования (при наличии), гидрооборудования (при наличии); монтаж несущей рамы и рамных конструкций, корпусов, бункеров, навесного устройства, рабочих органов, элементов экстерьера; монтаж электрооборудования (при наличии), пневмооборудования (при наличии), гидрооборудования (при наличии) |
| культиваторы для сплошной обработки почвы | 28.30.32.130 |
| |
| машины комбинированные и универсальные, плуги общего назначения, дисковые бороны | 28.30.31.110, 28.30.32.112, 28.30.39 |
| |
| копатели картофеля и комбайны картофелеуборочные | 28.30.54.110 |
| |
| косилки навесные и прицепные, плющилки тракторные, волокуши тракторные, ворошилки и пресс-подборщики | 28.30.51, 28.30.52, 28.30.53 |
| |
| картофелесажалки, опрыскиватели и аэрозольные аппараты, машины для уборки зерновых, масличных, бобовых и крупяных культур (кроме зерноуборочных комбайнов) | 28.30.33.120, 28.30.34, 28.30.39, 28.30.59.119, 28.30.6 |
| |
|
| |||
| культиваторы для сахарной свеклы неполивной, овощей сеяных (низкостебельных культур) и культиваторы для кукурузы, подсолнечника, картофеля, капусты, томатов, сахарной свеклы поливной (высокостебельных культур) | 28.30.32.130 |
| |
| машины для внесения минеральных удобрений и извести (кроме жидких и пылевидных) | 28.30.34 |
| |
| жатки кукурузные и собиратели початков | 28.30.59.112, 28.30.59.120 |
| |
| сцепки тракторные, приспособления и тележки для перемещения адаптеров зерноуборочных и кормоуборочных комбайнов | 28.30.86.110 |
| |
| грабли тракторные | 28.30.52 |
| |
| подборщики-копнители, стогообразователи | 28.30.59.114 |
| |
| бороны ножевые, игольчатые, ротационные, пружинные, шарнирные | 28.30.32.119 |
| |
| разбрасыватели органических удобрений | 28.30.34 |
| |
| машины для послеуборочной обработки и переработки зерна | 28.93.13, 28.93.2, 28.30.86.110 |
| |
| сушилки для послеуборочной сушки зерна перед закладкой на хранение | 28.93.16 |
| |
| машины для уборки ботвы корнеклубнеплодов | 28.30.54 |
| |
| комбайны свеклоуборочные | 28.30.54.120 |
| |
| транспортеры сельскохозяйственные для зерна (и отходов) и зернопогрузчики | 28.22.18.220, 28.22.17 |
| |
| загрузчики сельскохозяйственные и разгрузчики сельскохозяйственные | 28.22.18.230, 28.22.18.231 |
| |
| прицепы и полуприцепы | 28.30.7, 29.20.23.130 |
| |
| раздатчики кормов для ферм крупного рогатого скота и раздатчики кормов для свиноферм | 28.30.86.110 |
| |
| косилки-измельчители и измельчители грубых и сочных кормов | 28.30.51, 28.30.83.120 |
| |
| дробилки для кормов | 28.30.83.110 |
| |
| смесители кормов | 28.30.83.140 |
| |
| погрузчики универсальные сельскохозяйственного назначения | 28.22.18.220, 28.22.18.246 |
| |
| установки доильные | 28.30.82.110 |
| механическая обработка, штамповка и сварка несущих и рамных конструкций (при наличии в конструкции), корпусов (при наличии в конструкции); производство отливок из алюминиевых и цинковых сплавов; производство пластмассовых и резиновых деталей; сборка несущих и рамных конструкций корпусов (при наличии в конструкции), корпусов (при наличии в конструкции), рабочих органов (при наличии в конструкции); монтаж электрооборудования, пневмооборудования |
| аппараты доильные | 28.30.82.120 |
| |
| насосы и устройства для перекачивания и транспортирования молока на фермах | 28.13.14 |
| |
| емкости для хранения молока | 28.93.12, 28.25.13.115 |
| механическая обработка и штамповка деталей из нержавеющей стали; сварка емкостей и несущих конструкций; шлифовка наружных и внутренних поверхностей емкостей; сборка несущих и ограждающих конструкций; монтаж, пайка и испытание на герметичность системы охлаждения, монтаж электрооборудования |
| очистители-охладители молока | 28.93.12 |
| |
| комплекты оборудования сборных стойл для коров | 28.30.86 |
| механическая обработка, штамповка и сварка несущих и рамных конструкций (при наличии в конструкции), корпусов (при наличии в конструкции); производство отливок из алюминиевых и цинковых сплавов; производство пластмассовых и резиновых деталей; сборка несущих и рамных конструкций корпусов (при наличии в конструкции), корпусов (при наличии в конструкции), рабочих органов (при наличии в конструкции); монтаж электрооборудования, пневмооборудования |
| транспортеры для навоза | 28.22.17 |
| сварка несущей рамы и рамных конструкций, корпусов, бункеров (из металла) (производство неметаллических бункеров), навесного устройства, рабочих органов, элементов экстерьера; покраска несущей рамы и рамных конструкций, корпусов и бункеров (при необходимости), навесного устройства и рабочих органов, элементов экстерьера; сборка несущей рамы и рамных конструкций, корпусов и бункеров, навесного устройства и рабочих органов, элементов экстерьера; сборка электрооборудования (при наличии), пневмооборудования (при наличии), гидрооборудования (при наличии); монтаж несущей рамы и рамных конструкций, корпусов, бункеров, навесного устройства, рабочих органов, элементов экстерьера; монтаж электрооборудования |
| рыхлители | 28.30.32.140 |
| |
| машины для пахоты и глубокого рыхления (специального назначения) прочие | 28.30.31 |
| |
| бороны зубовые, лущильники лемешные и лущильники дисковые | 28.30.32.111 |
| |
| катки | 28.30.39 |
| |
| культиваторы фрезерные | 28.30.32.130 |
| |
| сортировки и пункты первичной обработки картофеля | 28.30.54.110 |
| |
| транспортеры погрузочные и разгрузочные картофеля | 28.22.17 |
| |
| машины для уборки и первичной обработки картофеля прочие | 28.30.54.110 |
| |
| теребилки льна (кроме самоходных) | 28.30.59.143 |
| |
| тележки | 29.20.23.190 |
| |
| фуражиры | 28.22.18.254 |
| |
| установки искусственного досушивания сена и машины заготовки грубых кормов прочие | 28.30.86.110 |
| |
| тележки-подборщики тюков | 28.30.7, 30.99.10 |
| |
| машины капустоуборочные | 28.30.59 |
| |
| жатки для уборки зерновых, масличных, бобовых и крупяных культур | 28.30.59.110, 28.30.59.112 |
| |
| жатки для уборки трав, силоса и соломы, камыша и сахарного тростника | 28.30.59.110, 28.30.59.112, 28.30.59.190 |
| |
| установки для удаления навоза и навозной жижи | 28.30.86.110 |
| |
| нории | 28.22.17.120 |
| |
| силосы | 25.29.1, 28.22.17, 28.93.13 |
| |
| машины, установки и аппараты дождевальные и поливные, насосные станции | 28.30.60 |
| |
| машины для уборки и первичной обработки свеклы и других корнеплодов прочие | 28.30.54.120 |
| |
| агрегаты, узлы и детали сельскохозяйственных погрузочно-разгрузочных машин периодического действия | 28.30.93 |
| |
| мельницы агрегатные стационарные | 28.93.13 |
| |
| машины для приготовления обогатительных смесей (премиксов), белково-витаминных добавок | 28.93.13.140 |
| |
| агрегаты комбикормовые | 28.93.13.14 |
| |
| жатки для уборки и первичной обработки зерновых, крупяных и масличных культур | 28.30.59 |
| |
| протравливатели семян | 28.30.60.000, 28.30.86 |
| |
| фотосепараторы для сельскохозяйственной продукции | 28.30.81, 28.93.2, 28.93.13.111 |
| |
| системы (комплекты сменных частей) переоборудования зерноуборочных комбайнов для уборки риса, кукурузы, труднообмолачиваемых зерновых культур и семенников трав | 28.30.93 |
| раскрой, механическая обработка и покраска элементов (деталей); сварка и покраска узлов (сборочных единиц) |
| системы доизмельчения зерна кормоуборочных комбайнов | 28.30.93 |
| |
| краноманипуляторная установка, устанавливаемая на колесных транспортных средствах, используемая в сельском хозяйстве | 28.22.14.129 |
| производство стрелы, включая раскрой и гибку заготовок, сварку, покраску и сборку; производство опорной рамы, включая раскрой и гибку заготовок, сварку, механическую обработку, покраску и сборку; производство колонны, включая раскрой и гибку заготовок, сварку, механическую обработку, покраску и сборку; производство аутригеров, включая раскрой заготовок, сварку, механическую обработку, покраску и сборку; производство элементов экстерьера, включая раскрой и гибку заготовок, сварку, покраску и сборку; монтаж опорной рамы, колонны, аутригеров, опорно-поворотного устройства, элементов экстерьера, гидрооборудования покраска краноманипуляторной установки |
| подборщики для зерноуборочных комбайнов и кормоуборочных комбайнов | 28.30.59.110, 28.30.59.114, 28.30.86.110 |
| сварка несущей рамы и рамных конструкций, корпусов, бункеров (из металла) (производство неметаллических бункеров), навесного устройства, рабочих органов, элементов экстерьера; покраска несущей рамы и рамных конструкций, корпусов сборка несущей рамы и рамных конструкций, корпусов и бункеров, навесного устройства и рабочих органов, элементов экстерьера; сборка электрооборудования монтаж несущей рамы и рамных конструкций, корпусов, бункеров, навесного устройства, рабочих органов, элементов экстерьера; монтаж электрооборудования |
| клеточное оборудование для содержания птицы (кроме кур-несушек), кроликов, пушных зверей | 28.30.85 |
| раскрой, гибка, изготовление отверстий, штамповка, сверление, механическая обработка каркаса клетки; раскрой, гибка, сварка и (или) сборка соединительных элементов, дверок, напольных и потолочных решеток, перегородок клетки; раскрой, гибка, штамповка, изготовление отверстий, сварка, сверление, механическая обработка кормораздатчика, приводной станции (системы привода) кормораздатчика, кормовых лотков (желобов) системы кормления; раскрой, гибка, штамповка, изготовление отверстий, сварка, сверление, механическая обработка металлоконструкций системы пометоудаления, поддона пометоудаления, натяжного и приводного барабана, приводов системы пометоудаления; производство лент пометоудаления и (или) поилок и (или) труб, бачков для системы поения; сборка, монтаж электрооборудования, шкафов управления |
| клеточное оборудование для содержания кур-несушек | 28.30.85 |
| раскрой, гибка, изготовление отверстий, штамповка, сверление, механическая обработка каркаса клетки; раскрой, гибка, сварка и (или) сборка соединительных элементов, дверок, напольных и потолочных решеток, перегородок клетки; раскрой, гибка, штамповка, изготовление отверстий, сварка, сверление, механическая обработка кормораздатчика, приводной станции (системы привода) кормораздатчика, кормовых лотков (желобов) системы кормления; раскрой, гибка, штамповка, изготовление отверстий, сварка, сверление, механическая обработка металлоконструкций системы пометоудаления, поддона пометоудаления, натяжного и приводного барабана, приводов системы пометоудаления; раскрой, гибка, штамповка, изготовление отверстий, сварка, сверление, механическая обработка натяжного и приводного барабана, приводов, металлоконструкций систем яйцесбора; производство лент пометоудаления и (или) лент яйцесбора сборка, монтаж электрооборудования, шкафов управления |
| оборудование для напольного содержания птицы | 28.30.85 |
| раскрой, гибка, штамповка, изготовление отверстий, сварка, сверление труб кормления, шнеков, бункеров системы кормления; производство кормушек системы кормления; раскрой, гибка, изготовление отверстий, сварка, литье, механическая обработка соединительных элементов, блоков (роликов), лебедки подвеса системы кормления, лебедки подвеса системы поения; производство поилок и (или) труб, бачков для системы поения; сборка, монтаж электрооборудования |
______________________
* В 2020 году не применяется к субсидиям, предоставляемым производителям в отношении договоров о реализации продукции, заключенных в 2019 году, поставка продукции по которым осуществлена не позднее 31 декабря 2019 г.
** Правила предоставления субсидий производителям сельскохозяйственной техники, утвержденные постановлением Правительства Российской Федерации от 27 декабря 2012 г. № 1432 "Об утверждении Правил предоставления субсидий производителям сельскохозяйственной техники".
ПРИЛОЖЕНИЕ № 2
к Правилам предоставления субсидий производителям сельскохозяйственной техники
(форма)
СПРАВКА
о наличии прав на конструкторскую и технологическую документацию в объеме, необходимом для осуществления разработки, производства, модернизации и обслуживания продукции и компонентов к ней
Производитель (заявитель)____________________________________________________
Фактический адрес производства ______________________________________________
Сведения о правах на конструкторскую, технологическую и иную документацию______________________________________________________________
______________________________________________________________________________________________________________________________________________________
| № п/п | Описание моделей продукции и их модификаций |
| 1 |
|
| 2 |
|
Информация, приведенная в настоящей справке, соответствует действительности. Производитель готов представить дополнительную информацию.
К настоящей справке на электронном носителе прилагаются копии документов, подтверждающих наличие прав на конструкторскую, технологическую и иную документацию.
Руководитель производителя (уполномоченное лицо |
___________ |
_________________________ |
| (подпись) | (фамилия, имя, отчество (при наличии) |
Главный бухгалтер (при наличии) | ___________ | _________________________ |
| (подпись) | (фамилия, имя, отчество (при наличии) |
"____" ___________20___ г.
М.П. (при наличии)
ПРИЛОЖЕНИЕ № 3
к Правилам предоставления
субсидий производителям сельскохозяйственной техники
(форма)
СПРАВКА
о наличии технической документации, подтверждающей осуществление на территории Российской Федерации производителем и контрагентом (контрагентами) производителя (в случае осуществления им (ими) части технологических операций) технологических операций при производстве продукции
Производитель (заявитель)________________________________
Описание моделей продукции и их модификаций
Ключевые агрегаты и узлы | Технологические операции | Примечание | |||
производство | сборка (монтаж) | сварка | покраска | ||
| Кабина |
|
|
|
|
|
| Рама, рамная конструкция |
|
|
|
|
|
| Двигатель |
|
|
|
|
|
| Мосты |
|
|
|
|
|
| Трансмиссия |
|
|
|
|
|
| Гидрооборудование |
|
|
|
|
|
| Электрооборудование |
|
|
|
|
|
| Пневмооборудование |
|
|
|
|
|
| Навесное устройство |
|
|
|
|
|
| Рабочие органы |
|
|
|
|
|
| Элементы экстерьера |
|
|
|
|
|
| Молотильно-сепарирующее устройство |
|
|
|
|
|
| Питающий аппарат с измельчающим устройством |
|
|
|
|
|
| Корпус, бункер |
|
|
|
|
|
| Другое оборудование |
|
|
|
|
|
Информация, приведенная в настоящей справке, соответствует действительности. Производитель готов представить дополнительную информацию.
К настоящей справке на электронном носителе прилагаются копии технологических карт технологического процесса или технологической инструкции по процессу производства продукции с указанием перечня технологических операций, используемых при производстве продукции.
Руководитель производителя |
______________ |
|
_____________________ |
| (подпись) | (фамилия, имя, отчество (при наличии) | |
Главный бухгалтер (при наличии) | ______________ |
| _____________________ |
| (подпись) | (фамилия, имя, отчество (при наличии) |
"_____" ____________20___ г.
М.П. (при наличии)
ПРИЛОЖЕНИЕ № 4
к Правилам предоставления
субсидий производителям сельскохозяйственной техники
(форма)
СПРАВКА
для получения субсидии
| Наименование производителя | _________________________________________________________________________________________________ |
| Местонахождение | _________________________________________________________________________________________________ |
| ОГРН | _________________________________________________________________________________________________ |
| ИНН | _________________________________________________________________________________________________ |
| КПП | _________________________________________________________________________________________________ |
| Наименование покупателя продукции | ИНН покупателя продукции | Реквизиты (дата и номер) договора о реализации и дилерского договора (при наличии) | Наименование моделей продукции и их модификаций с указанием кода Общероссий ского классификато ра продукции по видам экономической деятельности (ОКПД 2) | Наименование продукции (в соот ветствии с прило жением № 1 к Прави лам*) | Год производ ства продукции (гггг) | Цена единицы продукции, рублей | Стоимость единицы продукции, указанная в договоре о реализации (без учета налога на добавлен ную стоимость), рублей | Размер предоставленной скидки покупателю в отношении единицы продук ции (без учета налога на добавленную стои мость), рублей | Коли чество единиц продукции, штук | Суммарный объем скидок покупателю по договору о реализа ции (без учета налога на добав ленную стои мость), рублей (гр.9 х гр.10) | Суммарный размер субсидии, рублей | Реквизиты (дата и номер) акта приема-передачи продукции по договору о реализации | Реквизиты (дата, номер и сумма) платежных документов об оплате продукции в соответствии с условиями договора о реализации или дилерского договора (при наличии) |
| 1 | 2 | 3 | 4 | 5 | 6 | 7 | 8 | 9 | 10 | 11 | 12 | 13 | 14 |
| Договоры о реализации, заключенные не ранее 1 января 2019 г., поставка продукции по которым осуществлена не позднее 31 декабря 2019 г. | |||||||||||||
|
|
|
|
|
|
|
|
|
|
|
|
|
|
|
|
|
|
|
|
|
|
|
|
|
|
|
|
| Договоры о реализации, заключенные не ранее 1 ноября года, предшествующего году получения субсидии, поставка продукции по которым осуществлена покупателю не ранее 1 января года получения субсидии | |||||||||||||
| Наименование пункта приложения № 1 к Правилам* | |||||||||||||
|
|
|
|
|
|
|
|
|
|
|
|
|
|
___________________________
* Правила предоставления субсидий производителям сельскохозяйственной техники, утвержденные постановлением Правительства Российской Федерации от 27 декабря 2012 г. № 1432 "Об утверждении Правил предоставления субсидий производителям сельскохозяйственной техники".
Настоящей справкой ____________________________________________ подтверждает,
(наименование производителя)
что ему ранее не предоставлялась субсидия на реализацию единиц продукции, при приобретении которых покупателю была предоставлена скидка в рамках договоров о реализации, указанных в настоящей справке.
Руководитель производителя | ___________________________________ (фамилия, имя, отчество (при наличии) | ______________________ (подпись) |
| ||
Главный бухгалтер (при наличии) | ___________________________________ (фамилия, имя, отчество (при наличии) | ______________________ (подпись) |
|
|
|
Исполнитель | ___________________________________ (фамилия, имя, отчество (при наличии) | телефон ______________ |
"____" ___________ 20__ г.
М.П. (при наличии)
ПРИЛОЖЕНИЕ № 5
к Правилам предоставления
субсидий производителям сельскохозяйственной техники
(форма)
РАСЧЕТ
размера субсидии
| Наименование производителя | _____________________________________________________________________ |
| Местонахождение | _____________________________________________________________________ |
| ОГРН | _____________________________________________________________________ |
| ИНН | _____________________________________________________________________ |
| КПП | _____________________________________________________________________ |
| Суммарный размер субсидии по договорам о реализации, заключенным в 2019 году, поставка продукции по которым осуществлена не позднее 31 декабря 2019 г., на дату представления заявления о предоставлении субсидии (рублей) |
| Суммарный размер субсидии по договорам о реализации, заключенным не ранее 1 ноября года, предшествующего году получения субсидии, поставка продукции по которым осуществлена не ранее 1 января года получения субсидии, на дату представления заявления о предоставлении субсидии (рублей) |
Руководитель производителя |
| __________________________________ (фамилия, имя, отчество (при наличии) | ___________________ (подпись) |
|
| ||
Главный бухгалтер (при наличии) |
| __________________________________ (фамилия, имя, отчество (при наличии) | ___________________ (подпись) |
|
|
| |
Исполнитель |
| __________________________________ (фамилия, имя, отчество (при наличии) | телефон ___________ |
"___" __________ 20__ г.
М.П. (при наличии)
ПРИЛОЖЕНИЕ № 6
к Правилам предоставления
субсидий производителям сельскохозяйственной техники
(форма)
ОТЧЕТ
о достижении ___________________________________ результата (наименование производителя)
предоставления субсидии и показателя, необходимого для достижения результата предоставления субсидии, указанных в
_________________________________________________________________
(указывается реестр получателей субсидии в отношении договоров о реализации продукции, заключенных в 2019 году, или реестр получателей субсидии)
| Результат предоставления субсидии, указанный в реестре, рублей | Фактически достигнутый результат предоставления субсидии, рублей | Достижение результата предоставления субсидии (гр. 2 / гр. 1) |
| 1 | 2 | 3 |
| Показатель, необходимый для достижения результата предоставления субсидии, указанный в реестре | Фактически достигнутый показатель, необходимый для достижения результата предоставления субсидии | Достижение показателя, необходимого для достижения результата предоставления субсидии (гр. 2 / гр. 1) |
| 1 | 2 | 3 |
Руководитель производителя (уполномоченное лицо производителя) |
| _________________________ (подпись) | ____________________________________ (фамилия, имя, отчество (при наличии) |
|
| ||
Главный бухгалтер (при наличии) |
| _________________________ (подпись) | ____________________________________ (фамилия, имя, отчество (при наличии) |
|
|
| |
Исполнитель |
| _________________________ (фамилия, имя, отчество | телефон ______________________ |
"___" __________ 20__ г.
М.П. (при наличии)".
____________

Подписаться на обновления