Постановление Правительства Российской Федерации от 26.12.2019 № 1846 "Об утверждении Положения об использовании в 2020 году бюджетных ассигнований резервного фонда Правительства Российской Федерации"
ПРАВИТЕЛЬСТВО РОССИЙСКОЙ ФЕДЕРАЦИИ
ПОСТАНОВЛЕНИЕ
от 26 декабря 2019 г. № 1846
МОСКВА
Об утверждении Положения об использовании бюджетных ассигнований резервного фонда Правительства Российской Федерации
(В редакции постановлений Правительства Российской Федерации от 12.04.2020 № 489, от 25.06.2020 № 922, от 04.08.2020 № 1174, от 23.12.2020 № 2248, от 04.02.2022 № 108, от 11.02.2022 № 149, от 30.03.2022 № 514, от 14.04.2022 № 655, от 30.04.2022 № 800, от 17.05.2022 № 893)
В соответствии с пунктом 6 статьи 81 Бюджетного кодекса Российской Федерации Правительство Российской Федерации постановляет:
1. Утвердить прилагаемое Положение об использовании бюджетных ассигнований резервного фонда Правительства Российской Федерации. (В редакции Постановления Правительства Российской Федерации от 12.04.2020 № 489)
2. Настоящее постановление применяется при исполнении федерального закона о федеральном бюджете на текущий финансовый год и плановый период и составлении отчетности об исполнении федерального бюджета текущего финансового года, а положения пунктов 6 - 9 Правил предоставления в текущем финансовом году субсидий (иных межбюджетных трансфертов, имеющих целевое назначение) из федерального бюджета бюджетам субъектов Российской Федерации, источником финансового обеспечения которых являются бюджетные ассигнования резервного фонда Правительства Российской Федерации, на оказание разовой финансовой помощи бюджетам отдельных субъектов Российской Федерации, предусмотренных приложением № 2 к Положению, утвержденному настоящим постановлением, применяются начиная с 2022 года. (В редакции Постановления Правительства Российской Федерации от 12.04.2020 № 489; с 1 января 2021 г. в редакции Постановления Правительства Российской Федерации от 23.12.2020 № 2248)
Председатель Правительства
Российской Федерации Д.Медведев
УТВЕРЖДЕНО
постановлением Правительства
Российской Федерации
от 26 декабря 2019 г. № 1846
ПОЛОЖЕНИЕ
об использовании бюджетных ассигнований
резервного фонда Правительства Российской Федерации
(В редакции постановлений Правительства Российской Федерации от 12.04.2020 № 489, от 25.06.2020 № 922, от 04.08.2020 № 1174, от 23.12.2020 № 2248, от 04.02.2022 № 108, от 11.02.2022 № 149, от 30.03.2022 № 514, от 14.04.2022 № 655, от 30.04.2022 № 800, от 17.05.2022 № 893)
1. Настоящее Положение определяет порядок подготовки и исполнения решений Правительства Российской Федерации об использовании бюджетных ассигнований резервного фонда Правительства Российской Федерации (далее - резервный фонд) в текущем финансовом году, а также применяется в целях подготовки отчета об использовании бюджетных ассигнований резервного фонда в составе отчетности об исполнении федерального бюджета. (В редакции постановлений Правительства Российской Федерации от 12.04.2020 № 489, от 04.08.2020 № 1174; с 1 января 2021 г. в редакции Постановления Правительства Российской Федерации от 23.12.2020 № 2248)
2. Источниками формирования резервного фонда являются:
а) бюджетные ассигнования, предусмотренные в федеральном законе о федеральном бюджете на текущий финансовый год и плановый период (далее - федеральный закон) по подразделу "Резервные фонды" раздела "Общегосударственные вопросы" классификации расходов бюджетов;
б) бюджетные ассигнования в пределах не использованных по состоянию на 1 января текущего финансового года субсидий и иных межбюджетных трансфертов, имеющих целевое назначение, возвращенных в доходы федерального бюджета и не учтенных при утверждении общего объема доходов федерального бюджета на очередной финансовый год;
в) бюджетные ассигнования в пределах остатков средств федерального бюджета на 1 января текущего финансового года в объеме, не превышающем остатка не использованных на начало текущего финансового года бюджетных ассигнований на предоставление из федерального бюджета бюджетам субъектов Российской Федерации субсидий, субвенций и иных межбюджетных трансфертов, имеющих целевое назначение, предоставление которых в отчетном финансовом году осуществлялось в пределах суммы, необходимой для оплаты денежных обязательств получателей средств бюджетов субъектов Российской Федерации, источником финансового обеспечения которых являлись указанные межбюджетные трансферты, за исключением бюджетных ассигнований в размере, не превышающем с учетом уровня софинансирования остатка не использованных на начало текущего финансового года бюджетных ассигнований бюджета субъекта Российской Федерации на оплату государственных (муниципальных) контрактов, заключенных от имени субъекта Российской Федерации (муниципального образования) на поставку товаров, выполнение работ, оказание услуг, подлежавших в соответствии с условиями этих государственных (муниципальных) контрактов оплате в отчетном финансовом году;
г) бюджетные ассигнования на предоставление из федерального бюджета субсидий и иных межбюджетных трансфертов, имеющих целевое назначение, в случае отсутствия на 1 января текущего финансового года (не позднее 30 дней после дня вступления в силу федерального закона о внесении изменений в федеральный закон о федеральном бюджете) соглашений о предоставлении из федерального бюджета субсидий и иных межбюджетных трансфертов, имеющих целевое назначение, за исключением иных межбюджетных трансфертов, предусмотренных пунктом 12 статьи 1321 Бюджетного кодекса Российской Федерации;
д) остатки средств федерального бюджета на начало текущего финансового года в соответствии с абзацем одиннадцатым пункта 4 статьи 94 Бюджетного кодекса Российской Федерации в объеме, не превышающем разницы между остатками, образовавшимися в связи с неполным использованием бюджетных ассигнований в ходе исполнения федерального бюджета в отчетном финансовом году, и суммой увеличения бюджетных ассигнований, предусмотренных абзацами вторым - десятым пункта 4 статьи 94 Бюджетного кодекса Российской Федерации; (В редакции Постановления Правительства Российской Федерации от 04.02.2022 № 108)
е) бюджетные ассигнования в соответствии с абзацем двадцать пятым пункта 7 статьи 217 Бюджетного кодекса Российской Федерации. (Дополнен - Постановление Правительства Российской Федерации от 04.02.2022 № 108)
(С 1 января 2021 г. пункт в редакции Постановления Правительства Российской Федерации от 23.12.2020 № 2248)
21. (С 1 января 2021 г. утратил силу - Постановление Правительства Российской Федерации от 23.12.2020 № 2248)
22. В 2022 году дополнительно к источникам, указанным в пункте 2 настоящего Положения, источниками формирования резервного фонда являются доходы федерального бюджета в соответствии с частью 23 статьи 10 Федерального закона "О внесении изменений в Бюджетный кодекс Российской Федерации и отдельные законодательные акты Российской Федерации и установлении особенностей исполнения бюджетов бюджетной системы Российской Федерации в 2022 году". (Дополнен - Постановление Правительства Российской Федерации от 30.03.2022 № 514)
3. Министерство финансов Российской Федерации:
а) представляет:
в Правительство Российской Федерации проекты распоряжений Правительства Российской Федерации об увеличении резервного фонда в текущем финансовом году и плановом периоде за счет источников, предусмотренных подпунктами "б" - "д" пункта 2 и пунктом 22 настоящего Положения, которые содержат общий объем бюджетных ассигнований, подлежащих направлению в резервный фонд, с обязательным выделением объема бюджетных ассигнований, направляемых на увеличение резервного фонда в соответствии с подпунктами "б" - "г" пункта 2 настоящего Положения; (В редакции Постановления Правительства Российской Федерации от 30.03.2022 № 514)
в Комиссию Федерального Собрания Российской Федерации по перераспределению бюджетных ассигнований в текущем финансовом году и плановом периоде предложения по внесению изменений в сводную бюджетную роспись федерального бюджета в соответствии с подпунктом "е" пункта 2 настоящего Положения в порядке, установленном Министерством финансов Российской Федерации;
(Подпункт в редакции Постановления Правительства Российской Федерации от 04.02.2022 № 108)
б) вносит изменения в сводную бюджетную роспись федерального бюджета на текущий финансовый год и плановый период в установленном порядке после издания распоряжения Правительства Российской Федерации об увеличении резервного фонда, а также на основании решения Комиссии Федерального Собрания Российской Федерации по перераспределению бюджетных ассигнований в текущем финансовом году и плановом периоде в части бюджетных ассигнований, указанных в подпункте "е" пункта 2 настоящего Положения; (В редакции Постановления Правительства Российской Федерации от 04.02.2022 № 108)
в) направляет не позднее 1-го и 15-го числа каждого месяца Председателю Правительства Российской Федерации информацию об объеме неиспользованных бюджетных ассигнований резервного фонда.
4. Бюджетные ассигнования резервного фонда используются на:
а) реализацию мероприятий по ликвидации чрезвычайных ситуаций федерального, межрегионального и регионального характера и их последствий, ликвидации последствий террористических актов и (или) пресечения террористических актов правомерными действиями и оказанию гуманитарной помощи иностранным государствам по перечню согласно приложению № 1 (далее - перечень);
б) предоставление межбюджетных трансфертов из федерального бюджета бюджетам субъектов Российской Федерации (далее - межбюджетные трансферты) в размере не менее объема бюджетных ассигнований, направленных в резервный фонд в соответствии с подпунктами "б" - "г" пункта 2 настоящего Положения;
в) реализацию мероприятий по решениям Председателя Правительства Российской Федерации;
г) исполнение заключенных государственных контрактов на поставку товаров, выполнение работ, оказание услуг, подлежавших в соответствии с условиями этих государственных контрактов оплате в отчетном финансовом году (за исключением государственных контрактов, заключенных в целях осуществления капитальных вложений, в целях капитального ремонта, а также реставрации государственного имущества, при исполнении международных обязательств Российской Федерации или при реализации государственного оборонного заказа, в целях достижения результатов федеральных проектов, входящих в состав национальных проектов, а также если источником финансового обеспечения заключенных государственных контрактов являлись бюджетные ассигнования, выделенные из резервного фонда Президента Российской Федерации либо после 1 октября отчетного финансового года из резервного фонда Правительства Российской Федерации) (далее - государственные контракты, подлежавшие оплате в отчетном финансовом году), в объеме, не превышающем остатка не использованных на начало текущего финансового года бюджетных ассигнований на указанные цели; (Дополнен - Постановление Правительства Российской Федерации от 04.02.2022 № 108)
д) для служебного пользования. (Дополнен - Постановление Правительства Российской Федерации от 30.04.2022 № 800)
(С 1 января 2021 г. пункт в редакции Постановления Правительства Российской Федерации от 23.12.2020 № 2248)
41. Федеральные органы исполнительной власти - субъекты бюджетного планирования (главные распорядители средств федерального бюджета) в соответствии со сферой ведения представляют в Правительство Российской Федерации проекты актов Правительства Российской Федерации об использовании бюджетных ассигнований резервного фонда в соответствии с:
подпунктами "б" и "в" пункта 4 настоящего Положения, пунктом 8 перечня - на основании решения Председателя Правительства Российской Федерации; (В редакции Постановления Правительства Российской Федерации от 17.05.2022 № 893)
пунктами 1 - 4, 6 и 9 перечня - на основании решения Председателя Правительства Российской Федерации и (или) поручения Заместителя Председателя Правительства Российской Федерации; (В редакции Постановления Правительства Российской Федерации от 04.02.2022 № 108)
подпунктом "г" пункта 4 настоящего Положения - на основании информации об объеме не использованных в отчетном финансовом году лимитов бюджетных обязательств на оплату государственных контрактов, подлежавших оплате в отчетном финансовом году, предусмотренной порядком учета бюджетных и денежных обязательств, утвержденным Министерством финансов Российской Федерации, в случае необходимости исполнения государственных контрактов, подлежавших оплате в отчетном финансовом году, в объеме, не превышающем остатка не использованных на начало текущего финансового года бюджетных ассигнований на указанные цели; (Дополнен - Постановление Правительства Российской Федерации от 04.02.2022 № 108)
для служебного пользования. (Дополнен - Постановление Правительства Российской Федерации от 30.04.2022 № 800)
(Дополнено пунктом с 1 января 2021 г. - Постановление Правительства Российской Федерации от 23.12.2020 № 2248)
5. Проекты актов Правительства Российской Федерации об использовании бюджетных ассигнований резервного фонда должны содержать следующие сведения:
а) наименование главного распорядителя средств федерального бюджета, которому выделяются бюджетные ассигнования;
б) объем выделяемых бюджетных ассигнований (в тыс. рублей с точностью до одного знака после запятой);
в) цель, на достижение которой выделяются бюджетные ассигнования, за исключением предоставления дотации, или наименование межбюджетного трансферта, а также субсидии, предоставляемой юридическому лицу;
г) ожидаемые (планируемые) результаты (в соответствующем финансовом году), в целях достижения которых предоставляется субсидия и иной межбюджетный трансферт, имеющий целевое назначение, а также субсидия юридическому лицу;
д) распределение межбюджетных трансфертов между субъектами Российской Федерации в случае их предоставления 2 и более субъектам Российской Федерации;
е) уровень софинансирования из федерального бюджета в размере, не превышающем 99 процентов расходного обязательства субъекта Российской Федерации, в случае предоставления субсидий на оказание разовой финансовой помощи бюджетам отдельных субъектов Российской Федерации в соответствии с Правилами предоставления в текущем финансовом году субсидий (иных межбюджетных трансфертов, имеющих целевое назначение) из федерального бюджета бюджетам субъектов Российской Федерации, источником финансового обеспечения которых являются бюджетные ассигнования резервного фонда Правительства Российской Федерации, на оказание разовой финансовой помощи бюджетам отдельных субъектов Российской Федерации согласно приложению № 2;
ж) срок заключения соглашения о предоставлении субсидии или иного межбюджетного трансферта, имеющего целевое назначение (не позднее 30 календарных дней после издания акта Правительства Российской Федерации); (В редакции Постановления Правительства Российской Федерации от 04.02.2022 № 108)
з) обязательство главного распорядителя средств федерального бюджета, которому выделяются бюджетные ассигнования резервного фонда, являющегося федеральным органом исполнительной власти, государственной корпорацией, публично-правовой компанией, наиболее значимым учреждением науки, образования, культуры и здравоохранения, указанным в ведомственной структуре расходов федерального бюджета, по осуществлению контроля за целевым и эффективным использованием бюджетных ассигнований резервного фонда с представлением доклада в Правительство Российской Федерации. (Дополнен - Постановление Правительства Российской Федерации от 04.02.2022 № 108)
(С 1 января 2021 г. пункт в редакции Постановления Правительства Российской Федерации от 23.12.2020 № 2248)
6. Одновременно с проектом акта Правительства Российской Федерации об использовании бюджетных ассигнований резервного фонда федеральные органы исполнительной власти - субъекты бюджетного планирования (главные распорядители средств федерального бюджета) представляют:
а) в Правительство Российской Федерации:
пояснительную записку, содержащую в том числе сведения о влиянии (отсутствии влияния) выделяемых из резервного фонда бюджетных ассигнований на достижение показателей государственных программ Российской Федерации, целей, показателей и результатов национальных и федеральных проектов, а также причины, не позволившие обеспечить оплату государственных контрактов, указанных в подпункте "г" пункта 4 настоящего Положения, в установленные сроки; (В редакции Постановления Правительства Российской Федерации от 04.02.2022 № 108)
финансово-экономическое обоснование предлагаемых к принятию решений, содержащее расчеты предлагаемого к выделению объема бюджетных ассигнований резервного фонда, которые должны соответствовать предложениям о внесении изменений в обоснования бюджетных ассигнований, представленным в Министерство финансов Российской Федерации в соответствии с подпунктом "б" настоящего пункта;
б) в Министерство финансов Российской Федерации - предложения о внесении изменений в обоснования бюджетных ассигнований в подсистеме бюджетного планирования государственной интегрированной информационной системы управления общественными финансами "Электронный бюджет" в соответствии с порядком формирования и представления главными распорядителями средств федерального бюджета обоснований бюджетных ассигнований, утверждаемым Министерством финансов Российской Федерации, по основаниям, предусмотренным пунктом 41 настоящего Положения. (В редакции Постановления Правительства Российской Федерации от 04.02.2022 № 108)
(С 1 января 2021 г. пункт в редакции Постановления Правительства Российской Федерации от 23.12.2020 № 2248)
7. Проект акта Правительства Российской Федерации об использовании бюджетных ассигнований резервного фонда на предоставление межбюджетных трансфертов вносится в Правительство Российской Федерации:
а) с приложением проекта нормативного правового акта Правительства Российской Федерации, устанавливающего правила предоставления и (или) распределения межбюджетных трансфертов в случае предоставления их на не предусмотренные федеральным законом цели, за исключением случаев предоставления субсидий и иных межбюджетных трансфертов, имеющих целевое назначение, на оказание разовой финансовой помощи бюджетам отдельных субъектов Российской Федерации;
б) с приложением расчета распределения межбюджетных трансфертов (за исключением субсидий и иных межбюджетных трансфертов, имеющих целевое назначение, указанных в подпункте "г" настоящего пункта) между бюджетами субъектов Российской Федерации (в случае их предоставления 2 или более субъектам Российской Федерации);
в) в случае предоставления субсидий и иных межбюджетных трансфертов, имеющих целевое назначение, - с приложением обращения высшего должностного лица субъекта Российской Федерации (руководителя высшего исполнительного органа государственной власти субъекта Российской Федерации), содержащего обязательство субъекта Российской Федерации по реализации мероприятий в соответствующем году;
г) в случае предоставления субсидий и иных межбюджетных трансфертов, имеющих целевое назначение, на цели, соответствующие ранее установленным целям их предоставления, соответствующим бюджетам субъектов Российской Федерации в пределах объема бюджетных ассигнований, направленных в резервный фонд в соответствии с подпунктом "б" пункта 2 настоящего Положения, - с приложением подтверждения главным распорядителем средств федерального бюджета наличия не исполненных в отчетном финансовом году обязательств субъекта Российской Федерации (муниципального образования) по оплате государственных (муниципальных) контрактов, заключенных от имени субъекта Российской Федерации (муниципального образования) на поставку товаров, выполнение работ, оказание услуг, подлежавших в соответствии с условиями этих государственных (муниципальных) контрактов оплате в отчетном финансовом году;
д) в случае реализации мероприятий, предусмотренных пунктами 1 - 4 и 9 перечня, - с приложением: (В редакции Постановления Правительства Российской Федерации от 04.02.2022 № 108)
проекта нормативного правового акта Правительства Российской Федерации, устанавливающего правила предоставления и распределения субсидий и иных межбюджетных трансфертов, имеющих целевое назначение (за исключением нормативных правовых актов Правительства Российской Федерации, предусмотренных пунктами 3, 4 и 9 перечня);
документов, подтверждающих:
недостаточность бюджетных ассигнований, предусмотренных в бюджете субъекта Российской Федерации (в случае ликвидации чрезвычайной ситуации регионального характера);
факт наличия чрезвычайной ситуации федерального и межрегионального характера (подтверждается Министерством Российской Федерации по делам гражданской обороны, чрезвычайным ситуациям и ликвидации последствий стихийных бедствий);
факт наличия чрезвычайной ситуации регионального характера (подтверждается высшим исполнительным органом государственной власти субъекта Российской Федерации);
факты совершения террористического акта на территории Российской Федерации и причинения физическим и юридическим лицам ущерба в результате террористического акта (подтверждаются Министерством внутренних дел Российской Федерации);
факты проведения мероприятий по пресечению террористического акта правомерными действиями и причинения физическим и юридическим лицам ущерба и (или) вреда в результате пресечения террористического акта правомерными действиями (подтверждаются Федеральной службой безопасности Российской Федерации);
общую площадь утраченных (поврежденных) жилых помещений в результате чрезвычайных ситуаций природного и техногенного характера на основании перечня жилых помещений, утраченных в результате чрезвычайных ситуаций природного и техногенного характера, а также в результате террористических актов и (или) при пресечении террористических актов правомерными действиями на территории субъекта Российской Федерации, и (или) перечня жилых помещений, поврежденных в результате чрезвычайных ситуаций природного и техногенного характера, а также в результате террористических актов и (или) при пресечении террористических актов правомерными действиями на территории субъекта Российской Федерации, предусмотренных Правилами предоставления иных межбюджетных трансфертов из федерального бюджета, источником финансового обеспечения которых являются бюджетные ассигнования резервного фонда Правительства Российской Федерации, бюджетам субъектов Российской Федерации в целях софинансирования расходных обязательств субъектов Российской Федерации, возникающих при выполнении полномочий органов государственной власти субъектов Российской Федерации по финансовому обеспечению реализации мер социальной поддержки граждан, жилые помещения которых утрачены и (или) повреждены в результате чрезвычайных ситуаций природного и техногенного характера, а также в результате террористических актов и (или) при пресечении террористических актов правомерными действиями, утвержденными постановлением Правительства Российской Федерации от 16 октября 2019 г. № 1327 "Об утверждении Правил предоставления иных межбюджетных трансфертов из федерального бюджета, источником финансового обеспечения которых являются бюджетные ассигнования резервного фонда Правительства Российской Федерации, бюджетам субъектов Российской Федерации в целях софинансирования расходных обязательств субъектов Российской Федерации, возникающих при выполнении полномочий органов государственной власти субъектов Российской Федерации по финансовому обеспечению реализации мер социальной поддержки граждан, жилые помещения которых утрачены и (или) повреждены в результате чрезвычайных ситуаций природного и техногенного характера, а также в результате террористических актов и (или) при пресечении террористических актов правомерными действиями". (Дополнен - Постановление Правительства Российской Федерации от 04.02.2022 № 108)
(С 1 января 2021 г. пункт в редакции Постановления Правительства Российской Федерации от 23.12.2020 № 2248)
71. Проект акта Правительства Российской Федерации об использовании бюджетных ассигнований резервного фонда в случае, предусмотренном подпунктом "г" пункта 4 настоящего Положения, должен включать общий объем бюджетных ассигнований, необходимый главному распорядителю средств федерального бюджета для оплаты заключенных государственных контрактов, подлежавших оплате в отчетном финансовом году, по соответствующим получателям средств федерального бюджета.
Проект акта Правительства Российской Федерации об использовании бюджетных ассигнований резервного фонда в случае, предусмотренном подпунктом "г" пункта 4 настоящего Положения:
направляется на согласование в Министерство финансов Российской Федерации не позднее 1 марта текущего года;
вносится в Правительство Российской Федерации не позднее 30 марта текущего года.
Одновременно с проектом акта Правительства Российской Федерации, указанным в абзаце первом настоящего пункта, в Министерство финансов Российской Федерации направляются:
расчет суммы бюджетных ассигнований, необходимых для исполнения заключенных государственных контрактов, подлежавших оплате в отчетном финансовом году, составляемый федеральным органом исполнительной власти - субъектом бюджетного планирования (главным распорядителем средств федерального бюджета) с учетом свободного остатка лимитов бюджетных обязательств, утвержденных ему на соответствующие цели на текущий финансовый год;
информация об объеме не использованных в отчетном финансовом году лимитов бюджетных обязательств на оплату государственных контрактов, подлежавших оплате в отчетном финансовом году, по форме, предусмотренной порядком учета бюджетных и денежных обязательств, утвержденным Министерством финансов Российской Федерации.
(Дополнено пунктом - Постановление Правительства Российской Федерации от 04.02.2022 № 108)
8. Рассмотрение вопросов о предоставлении межбюджетных трансфертов и внесение соответствующих проектов актов Правительства Российской Федерации в Правительство Российской Федерации осуществляются федеральными органами исполнительной власти - субъектами бюджетного планирования (главными распорядителями средств федерального бюджета) в срок, установленный в решении (поручении), предусмотренном пунктом 41 настоящего Положения, а в случае, если срок в решении (поручении) не указан: (С 1 января 2021 г. в редакции Постановления Правительства Российской Федерации от 23.12.2020 № 2248)
а) в отношении реализации мероприятий, указанных в пунктах 1, 3 (в части ликвидации чрезвычайных ситуаций), 4 и 9 перечня, - в месячный срок со дня подписания решения (поручения); (В редакции Постановления Правительства Российской Федерации от 25.06.2020 № 922)
б) в отношении реализации мероприятий, указанных в пунктах 2, 3 (в части осуществления компенсационных выплат физическим и юридическим лицам, которым был причинен ущерб в результате террористического акта, и возмещения вреда, причиненного при пресечении террористического акта правомерными действиями), - в 3-месячный срок со дня подписания решения (поручения). (В редакции Постановления Правительства Российской Федерации от 04.02.2022 № 108)
9. Проекты актов Правительства Российской Федерации об использовании бюджетных ассигнований резервного фонда подлежат согласованию:
а) с Министерством финансов Российской Федерации;
б) с коллегией Военно-промышленной комиссии Российской Федерации - в части бюджетных ассигнований, выделяемых на выполнение государственного оборонного заказа;
в) с ответственными исполнителями государственных программ Российской Федерации - в части бюджетных ассигнований, выделяемых на реализацию государственных программ Российской Федерации;
г) с государственными заказчиками - координаторами федеральных целевых программ - в части бюджетных ассигнований, выделяемых на реализацию федеральных целевых программ;
д) с Министерством экономического развития Российской Федерации - в части бюджетных ассигнований на реализацию федеральных целевых программ и расходов на осуществление бюджетных инвестиций и предоставление субсидий федеральным бюджетным и автономным учреждениям, федеральным государственным унитарным предприятиям на осуществление капитальных вложений в объекты государственной собственности Российской Федерации, расположенные на территории Российской Федерации, и на предоставление юридическим лицам, не являющимся федеральными государственными учреждениями и федеральными государственными унитарными предприятиями, субсидий или бюджетных инвестиций, предусмотренных пунктом 8 статьи 78, подпунктом 3 пункта 1 статьи 783, абзацем третьим пункта 1 статьи 80 Бюджетного кодекса Российской Федерации, а также на предоставление субсидий из федерального бюджета бюджетам субъектов Российской Федерации в целях софинансирования расходных обязательств субъекта Российской Федерации, возникающих при осуществлении капитальных вложений в объекты государственной собственности субъекта Российской Федерации или при предоставлении из бюджета субъекта Российской Федерации субсидий местным бюджетам в целях софинансирования расходных обязательств муниципальных образований, возникающих при осуществлении капитальных вложений в объекты муниципальной собственности, не включенные в федеральные целевые программы; (В редакции постановлений Правительства Российской Федерации от 23.12.2020 № 2248, от 04.02.2022 № 108, от 14.04.2022 № 655 - с 1 мая 2022 г.)
д1) с Министерством строительства и жилищно-коммунального хозяйства Российской Федерации - в части расходов на осуществление бюджетных инвестиций и предоставление субсидий федеральным бюджетным и автономным учреждениям, федеральным государственным унитарным предприятиям на осуществление капитальных вложений в объекты государственной собственности Российской Федерации, расположенные на территории Российской Федерации, и на предоставление юридическим лицам, не являющимся федеральными государственными учреждениями и федеральными государственными унитарными предприятиями, субсидий или бюджетных инвестиций, предусмотренных пунктом 8 статьи 78, подпунктом 3 пункта 1 статьи 783, абзацем третьим пункта 1 статьи 80 Бюджетного кодекса Российской Федерации, а также на предоставление субсидий из федерального бюджета бюджетам субъектов Российской Федерации в целях софинансирования расходных обязательств субъекта Российской Федерации, возникающих при осуществлении капитальных вложений в объекты государственной собственности субъекта Российской Федерации или при предоставлении из бюджета субъекта Российской Федерации субсидий местным бюджетам в целях софинансирования расходных обязательств муниципальных образований, возникающих при осуществлении капитальных вложений в объекты муниципальной собственности; (Дополнен с 1 мая 2022 г. - Постановление Правительства Российской Федерации от 14.04.2022 № 655)
е) с Министерством цифрового развития, связи и массовых коммуникаций Российской Федерации - в части бюджетных ассигнований, выделяемых на закупку товаров, работ, услуг в сфере информационно-коммуникационных технологий.
91. Требования, предусмотренные подпунктами "б", "д" и "е" пункта 9 настоящего Положения, не распространяются на проекты актов Правительства Российской Федерации об использовании бюджетных ассигнований резервного фонда в соответствии с подпунктом "г" пункта 4 настоящего Положения. (Дополнен - Постановление Правительства Российской Федерации от 04.02.2022 № 108)
10. Проекты актов Правительства Российской Федерации об использовании бюджетных ассигнований резервного фонда на предоставление межбюджетных трансфертов, за исключением проектов актов Правительства Российской Федерации, подготовленных в соответствии с подпунктами "г" и "д" пункта 7 настоящего Положения, вносятся в Правительство Российской Федерации после предварительного рассмотрения соответствующих предложений федеральных органов исполнительной власти - субъектов бюджетного планирования (проектов актов Правительства Российской Федерации) трехсторонней комиссией по вопросам межбюджетных отношений в случае принятия Комитетом Государственной Думы по бюджету и налогам, и (или) Комитетом Совета Федерации по бюджету и финансовым рынкам, и (или) соответствующими комитетами Государственной Думы и (или) Совета Федерации Федерального Собрания Российской Федерации решений о целесообразности рассмотрения указанных проектов трехсторонней комиссией по вопросам межбюджетных отношений. (В редакции постановлений Правительства Российской Федерации от 23.12.2020 № 2248, от 04.02.2022 № 108)
11. В случае необходимости внесения изменений (признании утратившим силу) в акт (акта) Правительства Российской Федерации, в соответствии с которым были выделены бюджетные ассигнования резервного фонда, федеральные органы исполнительной власти - субъекты бюджетного планирования (главные распорядители средств федерального бюджета) представляют в Правительство Российской Федерации соответствующий проект акта Правительства Российской Федерации с соблюдением требований, предусмотренных пунктами 5 - 10 настоящего Положения.
Министерство финансов Российской Федерации осуществляет согласование проекта акта Правительства Российской Федерации, указанного в абзаце первом настоящего пункта, при наличии свободных остатков лимитов бюджетных обязательств по уменьшаемым расходам на лицевом счете, открытом соответствующему федеральному органу исполнительной власти - субъекту бюджетного планирования (главному распорядителю средств федерального бюджета) в Федеральном казначействе.
После издания акта Правительства Российской Федерации, указанного в абзаце первом настоящего пункта, Министерство финансов Российской Федерации вносит в установленном порядке соответствующие изменения в сводную бюджетную роспись федерального бюджета.
(С 1 января 2021 г. пункт в редакции Постановления Правительства Российской Федерации от 23.12.2020 № 2248)
12. Федеральные органы исполнительной власти - субъекты бюджетного планирования (главные распорядители средств федерального бюджета) представляют до 15 марта текущего финансового года в Министерство финансов Российской Федерации предложения об использовании бюджетных ассигнований резервного фонда в пределах объема бюджетных ассигнований, направленных в резервный фонд в соответствии с подпунктами "б" и "г" пункта 2 настоящего Положения, на предоставление субсидии и (или) иного межбюджетного трансферта, имеющего целевое назначение, на цели, соответствующие ранее установленным целям, соответствующим бюджетам субъектов Российской Федерации.
Предложения, указанные в абзаце первом настоящего пункта, представляются в Министерство финансов Российской Федерации с приложением проектов актов Правительства Российской Федерации и сведений, предусмотренных пунктами 41 и 7 настоящего Положения.
Министерство финансов Российской Федерации на основании предложений, указанных в абзаце первом настоящего пункта, представляет до 1 апреля текущего финансового года Председателю Правительства Российской Федерации обобщенные предложения о предоставлении субсидий и иных межбюджетных трансфертов, имеющих целевое назначение, в текущем финансовом году с указанием их наименований, целей их предоставления и распределения между субъектами Российской Федерации.
(С 1 января 2021 г. пункт в редакции Постановления Правительства Российской Федерации от 23.12.2020 № 2248)
13. Предоставление субвенций, субсидий и иных межбюджетных трансфертов, имеющих целевое назначение, источником финансового обеспечения которых являются бюджетные ассигнования резервного фонда, осуществляется:
а) на цели, определенные подпунктом "г" пункта 7 настоящего Положения, - в соответствии с правилами предоставления и распределения субсидий и иных межбюджетных трансфертов, имеющих целевое назначение, применявшимися в отчетном финансовом году;
б) на цели, соответствующие целям предоставления субвенций, субсидий и иных межбюджетных трансфертов, имеющих целевое назначение, предусмотренным федеральным законом, - в соответствии с правилами предоставления и распределения субвенций, субсидий и иных межбюджетных трансфертов, имеющих целевое назначение, на эти цели;
в) на цели оказания разовой финансовой помощи бюджетам отдельных субъектов Российской Федерации - в соответствии с Правилами предоставления в текущем финансовом году субсидий (иных межбюджетных трансфертов, имеющих целевое назначение) из федерального бюджета бюджетам субъектов Российской Федерации, источником финансового обеспечения которых являются бюджетные ассигнования резервного фонда Правительства Российской Федерации, на оказание разовой финансовой помощи бюджетам отдельных субъектов Российской Федерации, предусмотренными приложением № 2 к настоящему Положению.
(С 1 января 2021 г. пункт в редакции Постановления Правительства Российской Федерации от 23.12.2020 № 2248)
14. Главные распорядители средств федерального бюджета, которым актами Правительства Российской Федерации предусмотрено выделение бюджетных ассигнований резервного фонда, направляют в Федеральное казначейство не позднее срока, установленного для представления квартальной (годовой) бюджетной отчетности за соответствующий отчетный период, сведения о результатах реализации мероприятий, источником финансового обеспечения которых в текущем финансовом году являются бюджетные ассигнования резервного фонда, в порядке и по форме, которые установлены Министерством финансов Российской Федерации. (С 1 января 2021 г. в редакции Постановления Правительства Российской Федерации от 23.12.2020 № 2248)
15. Министерство финансов Российской Федерации представляет в Правительство Российской Федерации в составе пояснительной записки к ежеквартальному (годовому) отчету об исполнении федерального бюджета текущего финансового года сводные сведения о результатах реализации мероприятий, источником финансового обеспечения которых в текущем финансовом году являются бюджетные ассигнования резервного фонда, сформированные Федеральным казначейством в порядке и по форме, которые установлены Министерством финансов Российской Федерации. (В редакции Постановления Правительства Российской Федерации от 12.04.2020 № 489; с 1 января 2021 г. в редакции Постановления Правительства Российской Федерации от 23.12.2020 № 2248)
16. Контроль за целевым использованием бюджетных ассигнований резервного фонда осуществляется уполномоченными органами государственного финансового контроля.
____________
ПРИЛОЖЕНИЕ № 1
к Положению об использовании бюджетных ассигнований
резервного фонда Правительства
Российской Федерации
ПЕРЕЧЕНЬ
мероприятий по ликвидации чрезвычайных ситуаций федерального, межрегионального и регионального характера и их последствий, ликвидации последствий террористических актов и (или) пресечения террористических актов правомерными действиями и оказанию гуманитарной помощи иностранным государствам
(В редакции постановлений Правительства Российской Федерации от 12.04.2020 № 489, от 25.06.2020 № 922, от 23.12.2020 № 2248, от 04.02.2022 № 108)
1. Проведение следующих неотложных аварийно-восстановительных работ, связанных с ликвидацией чрезвычайных ситуаций федерального, межрегионального и регионального характера (за исключением работ, финансовое обеспечение которых осуществляется за счет расходов инвестиционного характера):
а) устройство, разборка и демонтаж временных сооружений - дамб, плотин и каналов отвода водных, селевых, оползневых и других масс для защиты объектов, территорий и водозаборов, а также переправ и проходов для экстренной эвакуации;
б) восстановление по временной схеме объектов коммунальной и инженерной инфраструктуры (при условии, что проводятся минимально необходимые работы, в результате которых объекты восстанавливают утраченную способность к функционированию, что указанные работы осуществляются до отмены режима чрезвычайной ситуации и не потребуется изменение технических характеристик конструктивных элементов объектов после отмены режима чрезвычайной ситуации);
в) подготовка объектов жилищного фонда и социально значимых объектов образования, здравоохранения и социальной поддержки населения, находящихся в государственной и муниципальной собственности, к восстановительным работам (откачка воды, просушка помещений первых надземных, цокольных и подвальных этажей, обрушение и временное укрепление аварийных конструкций зданий и сооружений, вывоз мусора);
г) восстановительные работы на объектах жилищного фонда и социально значимых объектах образования, здравоохранения и социальной поддержки населения, находящихся в государственной и муниципальной собственности (за исключением работ, связанных с внутренней отделкой помещений);
д) санитарная очистка (обработка) и обеззараживание территории населенных пунктов, находящихся в зоне чрезвычайной ситуации.
2. Проведение следующих неотложных аварийно-восстановительных работ, связанных с ликвидацией последствий террористических актов и (или) пресечения террористических актов правомерными действиями:
а) восстановительные работы на объектах жилищного фонда (до первоначального состояния);
б) восстановительные работы на объектах государственной и муниципальной собственности, кроме объектов жилищного фонда (за исключением работ, финансовое обеспечение которых осуществляется за счет расходов инвестиционного характера).
3. Ликвидация чрезвычайных ситуаций природного и техногенного характера, осуществление компенсационных выплат физическим и юридическим лицам, которым был причинен ущерб в результате террористического акта, и возмещение вреда, причиненного при пресечении террористического акта правомерными действиями, в соответствии с Правилами предоставления иных межбюджетных трансфертов из федерального бюджета, источником финансового обеспечения которых являются бюджетные ассигнования резервного фонда Правительства Российской Федерации, бюджетам субъектов Российской Федерации на финансовое обеспечение отдельных мер по ликвидации чрезвычайных ситуаций природного и техногенного характера, осуществления компенсационных выплат физическим и юридическим лицам, которым был причинен ущерб в результате террористического акта, и возмещения вреда, причиненного при пресечении террористического акта правомерными действиями, утвержденными постановлением Правительства Российской Федерации от 28 декабря 2019 г. № 1928 "Об утверждении Правил предоставления иных межбюджетных трансфертов из федерального бюджета, источником финансового обеспечения которых являются бюджетные ассигнования резервного фонда Правительства Российской Федерации, бюджетам субъектов Российской Федерации на финансовое обеспечение отдельных мер по ликвидации чрезвычайных ситуаций природного и техногенного характера, осуществления компенсационных выплат физическим и юридическим лицам, которым был причинен ущерб в результате террористического акта, и возмещения вреда, причиненного при пресечении террористического акта правомерными действиями". (В редакции Постановления Правительства Российской Федерации от 12.04.2020 № 489)
4. Реализация мер социальной поддержки граждан, жилые помещения которых утрачены и (или) повреждены в результате чрезвычайных ситуаций природного и техногенного характера, а также в результате террористических актов и (или) при пресечении террористических актов правомерными действиями, в соответствии с Правилами предоставления иных межбюджетных трансфертов из федерального бюджета, источником финансового обеспечения которых являются бюджетные ассигнования резервного фонда Правительства Российской Федерации, бюджетам субъектов Российской Федерации в целях софинансирования расходных обязательств субъектов Российской Федерации, возникающих при выполнении полномочий органов государственной власти субъектов Российской Федерации по финансовому обеспечению реализации мер социальной поддержки граждан, жилые помещения которых утрачены и (или) повреждены в результате чрезвычайных ситуаций природного и техногенного характера, а также в результате террористических актов и (или) при пресечении террористических актов правомерными действиями, утвержденными постановлением Правительства Российской Федерации от 16 октября 2019 г. № 1327 "Об утверждении Правил предоставления иных межбюджетных трансфертов из федерального бюджета, источником финансового обеспечения которых являются бюджетные ассигнования резервного фонда Правительства Российской Федерации, бюджетам субъектов Российской Федерации в целях софинансирования расходных обязательств субъектов Российской Федерации, возникающих при выполнении полномочий органов государственной власти субъектов Российской Федерации по финансовому обеспечению реализации мер социальной поддержки граждан, жилые помещения которых утрачены и (или) повреждены в результате чрезвычайных ситуаций природного и техногенного характера, а также в результате террористических актов и (или) при пресечении террористических актов правомерными действиями". (В редакции Постановления Правительства Российской Федерации от 04.02.2022 № 108)
5. (Утратил силу - Постановление Правительства Российской Федерации от 04.02.2022 № 108)
6. Проведение федеральными государственными учреждениями судебно-медицинской экспертизы высокотехнологичных молекулярно-генетических исследований при проведении судебно-медицинской экспертизы биологических объектов, транспортировка биологического материала для проведения указанных исследований, а также эвакуация и оказание гражданам, пострадавшим в результате чрезвычайной ситуации, а также в результате террористического акта и (или) при пресечении террористического акта правомерными действиями, специализированной, в том числе высокотехнологичной, медицинской помощи в медицинских организациях, подведомственных федеральным органам исполнительной власти.
7. Восполнение запасов материальных ценностей, выпущенных в установленном порядке из государственного материального резерва для обеспечения неотложных работ при ликвидации чрезвычайной ситуации и оказания гуманитарной помощи (включая мероприятия по доставке указанных материальных ценностей к месту их постоянного хранения).
8. Оказание гуманитарной помощи иностранным государствам.
9. Реализация мер по возмещению ущерба, причиненного жилым помещениям граждан, застрахованным в рамках программ организации возмещения ущерба, причиненного расположенным на территориях субъектов Российской Федерации жилым помещениям граждан, с использованием механизма добровольного страхования, утвержденных органами государственной власти субъектов Российской Федерации в соответствии с пунктом 1 статьи 111 Федерального закона "О защите населения и территорий от чрезвычайных ситуаций природного и техногенного характера", в связи с утратой (гибелью) указанных жилых помещений в результате чрезвычайных ситуаций в соответствии с Правилами предоставления иных межбюджетных трансфертов бюджетам субъектов Российской Федерации, источником финансового обеспечения которых являются бюджетные ассигнования резервного фонда Правительства Российской Федерации, в целях софинансирования расходных обязательств субъектов Российской Федерации по возмещению ущерба, причиненного жилым помещениям, застрахованным в рамках программ организации возмещения ущерба, причиненного расположенным на территориях субъектов Российской Федерации жилым помещениям граждан, с использованием механизма добровольного страхования, в случае утраты (гибели) таких помещений в результате чрезвычайной ситуации, утвержденными постановлением Правительства Российской Федерации от 25 июня 2020 г. № 922 "Об утверждении Правил предоставления иных межбюджетных трансфертов бюджетам субъектов Российской Федерации, источником финансового обеспечения которых являются бюджетные ассигнования резервного фонда Правительства Российской Федерации, в целях софинансирования расходных обязательств субъектов Российской Федерации по возмещению ущерба, причиненного жилым помещениям, застрахованным в рамках программ организации возмещения ущерба, причиненного расположенным на территориях субъектов Российской Федерации жилым помещениям граждан, с использованием механизма добровольного страхования, в случае утраты (гибели) таких помещений в результате чрезвычайной ситуации и о внесении изменений в некоторые акты Правительства Российской Федерации". (Дополнен - Постановление Правительства Российской Федерации от 25.06.2020 № 922)
____________
ПРИЛОЖЕНИЕ № 2
к Положению об использовании бюджетных ассигнований
резервного фонда Правительства Российской Федерации
ПРАВИЛА
предоставления в текущем финансовом году субсидий (иных межбюджетных трансфертов, имеющих целевое назначение) из федерального бюджета бюджетам субъектов Российской Федерации, источником финансового обеспечения которых являются бюджетные ассигнования резервного фонда Правительства Российской Федерации, на оказание разовой финансовой помощи бюджетам отдельных субъектов Российской Федерации
(В редакции постановлений Правительства Российской Федерации от 12.04.2020 № 489, от 23.12.2020 № 2248, от 04.02.2022 № 108, от 11.02.2022 № 149)
1. Настоящие Правила устанавливают порядок предоставления в текущем финансовом году субсидий (иных межбюджетных трансфертов, имеющих целевое назначение) из федерального бюджета бюджетам субъектов Российской Федерации, источником финансового обеспечения которых являются бюджетные ассигнования резервного фонда Правительства Российской Федерации (далее - резервный фонд), на оказание разовой финансовой помощи бюджетам отдельных субъектов Российской Федерации (далее соответственно - субсидии, иные межбюджетные трансферты). (В редакции Постановления Правительства Российской Федерации от 12.04.2020 № 489)
Под разовой финансовой помощью в настоящих Правилах понимается предоставление бюджетных ассигнований резервного фонда однократно на одну цель, не предусмотренную федеральным законом о федеральном бюджете на текущий финансовый год и плановый период, бюджету отдельного субъекта Российской Федерации в целях софинансирования (в том числе в полном объеме) расходных обязательств субъекта Российской Федерации, связанных с реализацией мероприятий (за исключением мероприятий, предусмотренных пунктами 3 и 4 приложения № 1 к Положению об использовании бюджетных ассигнований резервного фонда Правительства Российской Федерации, утвержденному постановлением Правительства Российской Федерации от 26 декабря 2019 г. № 1846 "Об утверждении Положения об использовании бюджетных ассигнований резервного фонда Правительства Российской Федерации") или осуществлением капитальных вложений в объекты капитального строительства государственной собственности субъекта Российской Федерации (муниципальной собственности), приобретением объектов недвижимого имущества в государственную собственность субъекта Российской Федерации (муниципальную собственность) и (или) предоставлением субсидий (иных межбюджетных трансфертов) местным бюджетам на указанную цель. (В редакции Постановлений Правительства Российской Федерации от 12.04.2020 № 489, от 23.12.2020 № 2248, от 04.02.2022 № 108)
2. Субсидии (иные межбюджетные трансферты) предоставляются в соответствии с актами Правительства Российской Федерации, принимаемыми в соответствии с Положением об использовании бюджетных ассигнований резервного фонда Правительства Российской Федерации, утвержденным постановлением Правительства Российской Федерации от 26 декабря 2019 г. № 1846 "Об утверждении Положения об использовании бюджетных ассигнований резервного фонда Правительства Российской Федерации" (далее - акты Правительства Российской Федерации). (В редакции Постановления Правительства Российской Федерации от 12.04.2020 № 489)
3. Оказание разовой финансовой помощи бюджетам отдельных субъектов Российской Федерации в форме иных межбюджетных трансфертов допускается в случае оказания финансовой помощи на финансовое обеспечение мер социальной поддержки граждан, на финансовое обеспечение мероприятий по подготовке и проведению международных мероприятий, решения о проведении которых приняты Президентом Российской Федерации и (или) Правительством Российской Федерации. (С 1 января 2021 г. в редакции Постановления Правительства Российской Федерации от 23.12.2020 № 2248)
4. Условиями предоставления субсидий (иных межбюджетных трансфертов) являются:
а) наличие в бюджете субъекта Российской Федерации бюджетных ассигнований на исполнение расходного обязательства субъекта Российской Федерации,софинансирование которого планируется осуществлять за счет субсидий (иных межбюджетных трансфертов); (С 1 января 2021 г. в редакции Постановления Правительства Российской Федерации от 23.12.2020 № 2248)
б) заключение соглашения между федеральным органом исполнительной власти как получателем бюджетных средств и высшим исполнительным органом государственной власти субъекта Российской Федерации о предоставлении субсидии (иного межбюджетного трансферта) (далее - соглашение) в соответствии с пунктом 5 настоящих Правил.
5. Предоставление субсидий (иных межбюджетных трансфертов, за исключением иного межбюджетного трансферта, предоставляемого в целях софинансирования (в том числе в полном объеме) расходных обязательств субъектов Российской Федерации, возникающих при оказании мер социальной поддержки граждан) осуществляется на основании соглашения, заключение которого осуществляется не позднее 30 календарных дней после издания акта Правительства Российской Федерации. (В редакции Постановления Правительства Российской Федерации от 04.02.2022 № 108)
Соглашение заключается в соответствии с типовой формой, установленной Министерством финансов Российской Федерации.
6. В случае если субъектом Российской Федерации по состоянию на 31 декабря текущего финансового года не достигнуты ожидаемые (планируемые) результаты реализации мероприятий, установленные в соответствии с подпунктом "д" пункта 5 Положения об использовании бюджетных ассигнований резервного фонда Правительства Российской Федерации, утвержденного постановлением Правительства Российской Федерации от 26 декабря 2019 г. № 1846 "Об утверждении Положения об использовании бюджетных ассигнований резервного фонда Правительства Российской Федерации", размер средств, подлежащих возврату из бюджета субъекта Российской Федерации в федеральный бюджет до 1 июня года, следующего за годом предоставления бюджетных ассигнований резервного фонда (Vвозврата), определяется по формуле: (В редакции Постановления Правительства Российской Федерации от 12.04.2020 № 489)
Vвозврата = Vмбт x k x 0,01,
где:
Vмбт - размер субсидии (иного межбюджетного трансферта), предоставленной бюджету субъекта Российской Федерации;
k - коэффициент возврата субсидии (иного межбюджетного трансферта).
(Действие пункта приостановлено до 1 января 2023 г. в отношении субсидий, в том числе консолидированных субсидий, и иных межбюджетных трансфертов из федерального бюджета бюджетам субъектов Российской Федерации, предоставляемых в целях софинансирования строительства (реконструкции, в том числе с элементами реставрации, технического перевооружения) объектов капитального строительства государственной собственности субъектов Российской Федерации (муниципальной собственности), приобретения объектов недвижимого имущества в государственную собственность субъектов Российской Федерации (муниципальную собственность) - Постановление Правительства Российской Федерации от 11.02.2022 № 149)
7. При расчете размера средств, подлежащих возврату из бюджета субъекта Российской Федерации в федеральный бюджет, в размере субсидии (иного межбюджетного трансферта), предоставленной бюджету субъекта Российской Федерации (Vмбт), не учитывается размер остатка субсидии (иного межбюджетного трансферта), не использованного по состоянию на 1 января года, следующего за годом предоставления бюджетных ассигнований резервного фонда. (В редакции Постановления Правительства Российской Федерации от 12.04.2020 № 489; действие пункта приостановлено до 1 января 2023 г. в отношении субсидий, в том числе консолидированных субсидий, и иных межбюджетных трансфертов из федерального бюджета бюджетам субъектов Российской Федерации, предоставляемых в целях софинансирования строительства (реконструкции, в том числе с элементами реставрации, технического перевооружения) объектов капитального строительства государственной собственности субъектов Российской Федерации (муниципальной собственности), приобретения объектов недвижимого имущества в государственную собственность субъектов Российской Федерации (муниципальную собственность) - Постановление Правительства Российской Федерации от 11.02.2022 № 149)
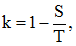
8. Коэффициент возврата субсидии (иного межбюджетного трансферта) для результатов реализации мероприятий, по которым большее значение фактически достигнутого значения отражает большую эффективность использования субсидии (иного межбюджетного трансферта), определяется по формуле:
где:
T - фактически достигнутый на конец года результат реализации мероприятий; (В редакции Постановления Правительства Российской Федерации от 12.04.2020 № 489)
S - плановый результат реализации мероприятий, установленный актами Правительства Российской Федерации.
(Действие пункта приостановлено до 1 января 2023 г. в отношении субсидий, в том числе консолидированных субсидий, и иных межбюджетных трансфертов из федерального бюджета бюджетам субъектов Российской Федерации, предоставляемых в целях софинансирования строительства (реконструкции, в том числе с элементами реставрации, технического перевооружения) объектов капитального строительства государственной собственности субъектов Российской Федерации (муниципальной собственности), приобретения объектов недвижимого имущества в государственную собственность субъектов Российской Федерации (муниципальную собственность) - Постановление Правительства Российской Федерации от 11.02.2022 № 149)
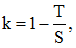
9. Коэффициент возврата субсидии (иного межбюджетного трансферта) для результатов реализации мероприятий, по которым большее значение фактически достигнутого значения отражает меньшую эффективность использования субсидии (иного межбюджетного трансферта), определяется по формуле:
где:
T - фактически достигнутый на конец года результат реализации мероприятий; (В редакции Постановления Правительства Российской Федерации от 12.04.2020 № 489)
S - плановый результат реализации мероприятий, установленный актами Правительства Российской Федерации.
(Действие пункта приостановлено до 1 января 2023 г. в отношении субсидий, в том числе консолидированных субсидий, и иных межбюджетных трансфертов из федерального бюджета бюджетам субъектов Российской Федерации, предоставляемых в целях софинансирования строительства (реконструкции, в том числе с элементами реставрации, технического перевооружения) объектов капитального строительства государственной собственности субъектов Российской Федерации (муниципальной собственности), приобретения объектов недвижимого имущества в государственную собственность субъектов Российской Федерации (муниципальную собственность) - Постановление Правительства Российской Федерации от 11.02.2022 № 149)
10. Основанием для освобождения субъектов Российской Федерации от применения мер ответственности, предусмотренных пунктом 6 настоящих Правил, является документально подтвержденное наступление следующих обстоятельств непреодолимой силы, препятствующих исполнению соответствующих обязательств:
установление регионального (межмуниципального) и (или) местного уровня реагирования на чрезвычайную ситуацию, подтвержденное правовым актом органа государственной власти субъекта Российской Федерации и (или) органа местного самоуправления;
установление карантина и (или) иных ограничений, направленных на предотвращение распространения и ликвидацию очагов заразных и иных болезней животных, подтвержденное правовым актом органа государственной власти субъекта Российской Федерации;
аномальные погодные условия, подтвержденные справкой территориального органа федерального органа исполнительной власти, осуществляющего функции по оказанию государственных услуг в области гидрометеорологии и смежных с ней областях;
наличие вступившего в законную силу в году предоставления субсидии решения арбитражного суда о признании несостоятельной (банкротом) организации, деятельность которой оказывала влияние на исполнение обязательств, предусмотренных соглашением.
(С 1 января 2021 г. пункт в редакции Постановления Правительства Российской Федерации от 23.12.2020 № 2248; действие пункта приостановлено до 1 января 2023 г. в отношении субсидий, в том числе консолидированных субсидий, и иных межбюджетных трансфертов из федерального бюджета бюджетам субъектов Российской Федерации, предоставляемых в целях софинансирования строительства (реконструкции, в том числе с элементами реставрации, технического перевооружения) объектов капитального строительства государственной собственности субъектов Российской Федерации (муниципальной собственности), приобретения объектов недвижимого имущества в государственную собственность субъектов Российской Федерации (муниципальную собственность) - Постановление Правительства Российской Федерации от 11.02.2022 № 149)
11. Контроль за соблюдением субъектами Российской Федерации целевого использования субсидий (иных межбюджетных трансфертов), а также порядка и условий их предоставления осуществляется главными распорядителями средств федерального бюджета и уполномоченными органами государственного финансового контроля.
____________

Подписаться на обновления