Постановление Правительства Российской Федерации от 25.01.2019 № 43 "О проведении отборов проектов модернизации генерирующих объектов тепловых электростанций"
ПРАВИТЕЛЬСТВО РОССИЙСКОЙ ФЕДЕРАЦИИ
ПОСТАНОВЛЕНИЕ
от 25 января 2019 г. № 43
МОСКВА
О проведении отборов проектов модернизации
генерирующих объектов тепловых электростанций
(В редакции постановлений Правительства Российской Федерации от 29.06.2020 № 948, от 30.11.2020 № 1974, от 18.12.2020 № 2160, от 18.03.2021 № 395)
Правительство Российской Федерации постановляет:
1. Утвердить прилагаемые:
Правила определения величин предельных (максимальных и минимальных) капитальных затрат на реализацию проектов модернизации генерирующих объектов тепловых электростанций;
Правила индексации величин типовых капитальных затрат на реализацию проектов модернизации генерирующих объектов тепловых электростанций;
изменения, которые вносятся в акты Правительства Российской Федерации по вопросам проведения отборов проектов модернизации генерирующих объектов тепловых электростанций.
2. Министерству энергетики Российской Федерации совместно с Министерством экономического развития Российской Федерации и Федеральной антимонопольной службой до 1 июля 2019 г. представить в Правительство Российской Федерации проект нормативного правового акта, определяющего механизм и источники компенсации затрат на модернизацию (реконструкцию) или строительство генерирующих объектов тепловых электростанций в неценовых зонах оптового рынка электрической энергии и мощности, а также порядок определения регулируемых цен (тарифов) на электрическую энергию и мощность в отношении таких генерирующих объектов.
3. Министерству энергетики Российской Федерации совместно с Министерством экономического развития Российской Федерации:
а) в 3-месячный срок представить в Правительственную комиссию по вопросам развития электроэнергетики предложения о перечне генерирующих объектов тепловых электростанций, подлежащих модернизации (реконструкции) или строительству в неценовых зонах оптового рынка электрической энергии и мощности;
б) провести анализ результатов отбора проектов модернизации генерирующих объектов тепловых электростанций с началом поставки мощности в период с 1 января 2022 г. по 31 декабря 2024 г. и по его итогам до 1 августа 2019 г. представить в Правительство Российской Федерации:
уточненный прогноз динамики цен на электрическую энергию и мощность на оптовом рынке электрической энергии и мощности в сравнении с прогнозируемыми уровнями инфляции на период 2022 - 2025 годов;
предложения по величинам базового уровня нормы доходности инвестированного капитала и базового уровня доходности долгосрочных государственных обязательств, применяемым для расчета нормы доходности применительно к проектам модернизации генерирующих объектов тепловых электростанций, которые будут отобраны по результатам отборов проектов модернизации таких объектов с началом поставки мощности после 31 декабря 2024 г.;
предложения по корректировке параметров отборов проектов модернизации генерирующих объектов тепловых электростанций с началом поставки мощности после 31 декабря 2024 г. в случае превышения динамики цен на электрическую энергию и мощность на оптовом рынке электрической энергии и мощности в указанный период над прогнозируемыми уровнями инфляции.
4. Министерству промышленности и торговли Российской Федерации совместно с Министерством энергетики Российской Федерации в 2-недельный срок представить в Правительство Российской Федерации проект акта Правительства Российской Федерации, определяющего перечень инновационного энергетического оборудования - образцов оборудования угольных электростанций с параметрами пара не менее 23 МПа с улучшенными экологическими характеристиками и экспериментальных образцов газовых турбин с установленной мощностью 65 МВт и более.
5. Министерству промышленности и торговли Российской Федерации по согласованию с Министерством энергетики Российской Федерации в месячный срок утвердить перечень оборудования, эксплуатируемого по итогам реализации проектов модернизации генерирующих объектов тепловых электростанций, в отношении которого необходимо получить заключение о подтверждении производства промышленной продукции на территории Российской Федерации, для каждого мероприятия по модернизации, которое может быть предусмотрено проектом модернизации генерирующих объектов тепловых электростанций из числа мероприятий, указанных в пункте 266 Правил оптового рынка электрической энергии и мощности, утвержденных постановлением Правительства Российской Федерации от 27 декабря 2010 г. № 1172 "Об утверждении Правил оптового рынка электрической энергии и мощности и о внесении изменений в некоторые акты Правительства Российской Федерации по вопросам организации функционирования оптового рынка электрической энергии и мощности".
6. Установить, что:
ценовые заявки для участия в отборе проектов модернизации генерирующих объектов тепловых электростанций с началом поставки мощности в период с 1 января 2022 г. по 31 декабря 2024 г. принимаются в сроки, установленные договором о присоединении к торговой системе оптового рынка, но не позднее 60 календарных дней со дня вступления в силу настоящего постановления;
долгосрочные конкурентные отборы мощности с датами начала поставки мощности с 1 января 2022 г., с 1 января 2023 г. и с 1 января 2024 г. проводятся в сроки, установленные договором о присоединении к торговой системе оптового рынка, но не позднее 45 календарных дней со дня опубликования предусмотренного пунктом 278 Правил оптового рынка электрической энергии и мощности, утвержденных постановлением Правительства Российской Федерации от 27 декабря 2010 г. № 1172 "Об утверждении Правил оптового рынка электрической энергии и мощности и о внесении изменений в некоторые акты Правительства Российской Федерации по вопросам организации функционирования оптового рынка электрической энергии и мощности", перечня генерирующих объектов, мощность которых поставляется по договорам купли-продажи (поставки) мощности модернизированных генерирующих объектов, утверждаемого Правительством Российской Федерации на основании результатов отбора проектов модернизации генерирующих объектов тепловых электростанций с началом поставки мощности в период с 1 января 2022 г. по 31 декабря 2024 г., и при их проведении используются прогнозируемые в год поставки объемы максимального часового потребления электрической энергии в каждой ценовой зоне, которые подлежали бы использованию при проведении таких долгосрочных конкурентных отборов мощности в 2018 году.
Председатель Правительства
Российской Федерации Д.Медведев
УТВЕРЖДЕНЫ
постановлением Правительства
Российской Федерации
от 25 января 2019 г. № 43
ПРАВИЛА
определения величин предельных (максимальных и минимальных) капитальных затрат на реализацию проектов модернизации генерирующих объектов тепловых электростанций
(В редакции постановлений Правительства Российской Федерации от 29.06.2020 № 948, от 30.11.2020 № 1974, от 18.03.2021 № 395)
1. Настоящие Правила устанавливают порядок определения величин предельных (максимальных и минимальных) капитальных затрат на реализацию проектов модернизации генерирующих объектов тепловых электростанций (далее - проект модернизации).
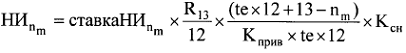
2. Величина типовых капитальных затрат на реализацию мероприятий, которые могут быть предусмотрены проектом модернизации, из числа мероприятий, указанных в пункте 266 Правил оптового рынка электрической энергии и мощности, утвержденных постановлением Правительства Российской Федерации от 27 декабря 2010 г. № 1172 "Об утверждении Правил оптового рынка электрической энергии и мощности и о внесении изменений в некоторые акты Правительства Российской Федерации по вопросам организации функционирования оптового рынка электрической энергии и мощности" (далее - мероприятия по модернизации, Правила оптового рынка) (CapEx), рассчитывается по формуле:
,
где:
K - коэффициент, определенный для каждого мероприятия по модернизации, согласно приложению № 1;
N - паропроизводительность (т/ч) для мероприятий по модернизации, указанных в пункте 1, подпунктах 6, 10, 14 - 18 и 23 пункта 3 приложения № 1 к настоящим Правилам, электрическая мощность (МВт) для мероприятий по модернизации, указанных в пункте 2, подпунктах 1, 2, 4, 5, 8, 9, 11 - 13, 19 - 22, 24 пункта 3 приложения № 1 к настоящим Правилам, гидравлическая нагрузка (м3/ч) для мероприятий по модернизации, указанных в подпункте 3 пункта 3 приложения № 1 к настоящим Правилам, высота дымовой трубы (м) для мероприятий по модернизации, указанных в подпункте 7 пункта 3 приложения № 1 к настоящим Правилам; (В редакции Постановления Правительства Российской Федерации от 29.06.2020 № 948)
B - величина, определенная для каждого мероприятия по модернизации и указанная в приложении № 1 к настоящим Правилам;
Д1 - доля затрат на оборудование, определенная для каждого мероприятия по модернизации согласно приложению № 2;
Ксейсм - коэффициент сейсмического влияния, определенный для каждой территории согласно приложению № 3 (применяется только для мероприятий по комплексной замене котлоагрегата, замене барабана котлоагрегата, надстройки генерирующего объекта газовой турбиной с котлом-утилизатором, а также мероприятий по модернизации, указанных в подпунктах 3, 6 - 13, 15 пункта 3 приложения № 1 к настоящим Правилам);
Ктрансп - коэффициент транспортировки, равный:
1,06 - для мероприятий по модернизации, связанных с модернизацией паротурбинной установки, заменой генератора и ротора генератора в отношении объектов генерации установленной мощностью более 300 МВт;
1,03 - в остальных случаях;
Д2 - доля затрат на строительно-монтажные работы, определенная для каждого мероприятия по модернизации, указанного в приложении № 2 к настоящим Правилам;
Ктемп - температурный коэффициент, определенный для каждой территории согласно приложению № 4;
Д3 - доля прочих затрат, определенная для каждого мероприятия по модернизации, указанного в приложении № 2 к настоящим Правилам.
Величина типовых капитальных затрат на реализацию мероприятий по модернизации подлежит индексации в соответствии с Правилами индексации величин типовых капитальных затрат на реализацию проектов модернизации генерирующих объектов тепловых электростанций, утвержденными постановлением Правительства Российской Федерации от 25 января 2019 г. № 43 "О проведении отборов проектов модернизации генерирующих объектов тепловых электростанций".
3. Величина предельных максимальных капитальных затрат на реализацию мероприятий по модернизации определяется как произведение величины типовых капитальных затрат на реализацию мероприятий по модернизации и коэффициента, равного:
1,2 - для мероприятий, указанных в подпунктах 1 и 2 пункта 266 Правил оптового рынка (1,4 - для мероприятий, указанных в подпункте 2 пункта 266 Правил оптового рынка и включенных в проекты модернизации, предусматривающие перевод генерирующего объекта, работающего с использованием паросилового цикла, в работу с использованием парогазового цикла); (В редакции Постановления Правительства Российской Федерации от 18.03.2021 № 395)
1 - для мероприятий, указанных в подпункте 3 пункта 266 Правил оптового рынка (4,5 - для мероприятий, указанных в абзаце десятом подпункта 3 пункта 266 Правил оптового рынка и включенных в проекты модернизации, предусматривающие перевод генерирующего объекта, работающего с использованием паросилового цикла, в работу с использованием парогазового цикла). (В редакции Постановления Правительства Российской Федерации от 18.03.2021 № 395)
4. Величина предельных минимальных капитальных затрат на реализацию мероприятий по модернизации определяется как произведение величины типовых капитальных затрат на реализацию мероприятий по модернизации и коэффициента, равного:
0,7 - для мероприятий, указанных в подпунктах 1 и 2 пункта 266 Правил оптового рынка;
0,5 - для мероприятий, указанных в подпункте 3 пункта 266 Правил оптового рынка.
5. Величина предельных максимальных капитальных затрат на реализацию проекта модернизации определяется как сумма предельных максимальных величин капитальных затрат на реализацию каждого мероприятия по модернизации, указанного в пункте 266 Правил оптового рынка, предусмотренного проектом модернизации.
Величина предельных максимальных капитальных затрат на реализацию проекта модернизации не может превышать произведения величины установленной мощности генерирующего объекта после реализации проекта модернизации и проиндексированного в соответствии с Правилами индексации величин типовых капитальных затрат на реализацию проектов модернизации генерирующих объектов тепловых электростанций, утвержденными постановлением Правительства Российской Федерации от 25 января 2019 г. № 43 "О проведении отборов проектов модернизации генерирующих объектов тепловых электростанций", значения предельных максимальных удельных капитальных затрат проекта модернизации, равного:
для генерирующих объектов, выработка электрической энергии на которых осуществляется с использованием угля, с установленной мощностью генерирующего объекта после реализации проекта модернизации не более 90 МВт - 89526 рублей за 1 кВт;
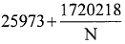
для генерирующих объектов, выработка электрической энергии на которых осуществляется с использованием угля, с установленной мощностью генерирующего объекта после реализации проекта модернизации более 90 МВт и не более 400 МВт, - значению, определяемому в рублях за 1 кВт по формуле:
,
где N - установленная мощность (МВт) генерирующего объекта после реализации проекта модернизации;
для генерирующих объектов, выработка электрической энергии на которых осуществляется с использованием угля, с установленной мощностью генерирующего объекта после реализации проекта модернизации более 400 МВт - 54000 рублей за 1 кВт;
для генерирующих объектов, выработка электрической энергии на которых осуществляется с использованием природного газа, с установленной мощностью генерирующего объекта после реализации проекта модернизации не более 90 МВт - 45057 рублей за 1 кВт;
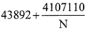
для генерирующих объектов, выработка электрической энергии на которых осуществляется с использованием природного газа, с установленной мощностью генерирующего объекта после реализации проекта модернизации более 90 МВт и не более 300 МВт, - значению, определяемому в рублях за 1 кВт по формуле:
,
где N - установленная мощность генерирующего объекта после реализации проекта по модернизации;
для генерирующих объектов, выработка электрической энергии на которых осуществляется с использованием природного газа, с установленной мощностью генерирующего объекта после реализации проекта модернизации более 300 МВт - 31677 рублей за 1 кВт.
Для проводимого в 2021 году отбора проектов модернизации величина предельных максимальных капитальных затрат на реализацию проекта модернизации, предусматривающего установку газовых турбин, относимых к образцам инновационного энергетического оборудования, с началом поставки мощности по итогам этого отбора в период с 1 января 2027 г. по 31 декабря 2029 г., не может превышать произведения величины установленной мощности генерирующего объекта после реализации проекта модернизации и значения предельных максимальных удельных капитальных затрат проекта модернизации, равного 73437 рублям за 1 кВт для проектов модернизации, предусматривающих установку газовых турбин мощностью не менее 100 МВт, и 100000 рублей за 1 кВт для проектов модернизации, предусматривающих установку газовых турбин мощностью менее 100 МВт. (В редакции постановлений Правительства Российской Федерации от 29.06.2020 № 948, от 30.11.2020 № 1974, от 18.03.2021 № 395)
6. Величина предельных минимальных капитальных затрат на реализацию проекта модернизации определяется как сумма предельных минимальных величин капитальных затрат на реализацию каждого мероприятия по модернизации, указанного в пункте 266 Правил оптового рынка, предусмотренного проектом модернизации.
ПРИЛОЖЕНИЕ № 1
к Правилам определения величин
предельных (максимальных и минимальных)
капитальных затрат на реализацию
проектов модернизации генерирующих
объектов тепловых электростанций
(в редакции постановления
Правительства Российской Федерации
от 29 июня 2020 г. № 948)
ЗНАЧЕНИЯ
коэффициентов и величин для каждого мероприятия по модернизации генерирующих объектов тепловых электростанций
| Мероприятия, которые могут быть предусмотрены проектом модернизации генерирующих объектов тепловых электростанций | K (коэффициент для каждого мероприятия по модернизации генерирующих объектов тепловых электростанций) | В (величина для каждого мероприятия по модернизации генерирующих объектов тепловых электростанций) |
1. Модернизация котельного оборудования | ||
комплексная замена котлоагрегата (котлоагрегатов): | ||
на газовом топливе | 3164,4 | 243311 |
на угольном топливе | 3462,2 | 634117 |
2. Модернизация турбинного оборудования | ||
1) комплексная замена паровой турбины (паровых турбин) на паровую турбину (паровые турбины): | ||
турбины теплофикационные до 250 МВт | 7770,7 | 447715 |
турбины теплофикационные 250 МВт и более | 7718,1 | 768884 |
турбины конденсационные | 5246,7 | 580567,1 |
турбины противодавленческие | 2385,3 | 527982 |
2) надстройка генерирующего объекта газовой турбиной (газовыми турбинами) с установкой автоматических систем управления технологическими процессами и локальных систем автоматического управления с их дооснащением системами диагностики и прогностики технического состояния газовой турбины (газовых турбин): | ||
без котла-утилизатора | 10446,7 | 1584821,7 |
с котлом-утилизатором | 16111,25 | 2209036,7 |
3. Сопутствующие мероприятия: | ||
1) комплексная замена генератора (генераторов) | 1644,8 | 211380 |
2) замена ротора генератора (генераторов) | 190,7 | 92127 |
3) строительство градирни и циркуляционной насосной станции | 16,17 | 215859 |
4) замена регенеративных подогревателей | 585 | 70023 |
5) замена трубопроводов острого пара, и (или) промперегрева, и (или) питательной воды технологического соединения "котел-турбина" | 288 | 90601 |
6) замена (установка) золоулавливающего оборудования: | ||
замена существующего золоулавливающего оборудования на новые электрофильтры | 439,8 | 158976 |
замена существующего золоулавливающего оборудования на рукавные фильтры | 263,88 | 95385,6 |
замена существующего золоулавливающего оборудования на иные виды золоулавливающего оборудования | 57,17 | 20666,88 |
7) замена (строительство) дымовой трубы | 2528,5 | 418 |
8) замена (строительство) систем приема подготовки и распределения топлива на угольной электростанции: | ||
модернизация склада угля, подразумевающая строительство защитных экранов, подпорных стенок, установок оросительных (туманообразующих), укладчика-заборщика роторного | 2573,68 | 281058,55 |
строительство помещения разгрузочного устройства с инженерными системами и разгрузочным оборудованием | 1758,53 | 192040,5 |
9) строительство нового (реконструкция или расширение существующего) главного корпуса с необходимыми инженерными системами под монтаж новой газовой турбины: | ||
без котла-утилизатора | 1858,12 | 307482 |
с котлом-утилизатором | 2229,8 | 368978,4 |
10) строительство нового корпуса для котельного оборудования с необходимыми инженерными системами под монтаж паровых котлоагрегатов: | ||
для ТЭС на газовом топливе | 2658,5 | 134754,9 |
для ТЭС на угольном топливе | 3704,5 | 187773,2 |
11) строительство нового корпуса для турбинного оборудования с необходимыми инженерными системами под монтаж паровых турбин: | ||
для ТЭС на газовом топливе | 6452,8 | 75070,3 |
для ТЭС на угольном топливе | 6618,2 | 76995,2 |
12) приведение в соответствие с действующими нормативно-техническими документами существующего здания главного корпуса с паровыми угольными котлами и паровыми турбинами | 7466,2 | 86860,2 |
13) приведение в соответствие с действующими нормативно-техническими документами существующего здания главного корпуса с паровыми газовыми котлами и паровыми турбинами | 5972,9 | 69488,2 |
14) строительство нового золоотвала или реконструкция золоотвала с увеличением его емкости | 449,3 | 782009,3 |
15) замена в полном объеме барабана котлоагрегата | 68,3 | 34031 |
16) замена в полном объеме пароперегревателей котлоагрегата | 446,8 | 30367 |
17) замена в полном объеме топочных экранов котлоагрегата | 342,6 | 92322 |
18) замена в полном объеме перепускных трубопроводов с арматурой по пароводяному тракту парового котлоагрегата | 539,2 | 22985 |
19) замена цилиндра высокого давления: | ||
турбины теплофикационные до 250 МВт | 2497,9 | 401746 |
турбины теплофикационные 250 МВт и более | 2444,8 | 726614 |
турбины конденсационные | 1676,5 | 330927 |
20) замена цилиндра высокого давления с заменой (модернизацией) части (цилиндра) среднего давления турбины с промежуточным перегревом пара: | ||
турбины теплофикационные до 250 МВт | 4190,5 | 641552,4 |
турбины теплофикационные 250 МВт и более | 4137,4 | 966420 |
турбины конденсационные | 3352,2 | 614078,5 |
21) замена цилиндра высокого давления с заменой (модернизацией) части (цилиндра) среднего давления (или части среднего и низкого давления) турбины без промежуточного перегрева пара: | ||
турбины теплофикационные до 250 МВт | 3764,7 | 571939 |
турбины теплофикационные 250 МВт и более | 3711,5 | 896807 |
турбины конденсационные | 2933,1 | 527127 |
22) замена цилиндра высокого давления с заменой (модернизацией) цилиндра низкого давления турбины: | ||
турбины теплофикационные до 250 МВт | 4150,2 | 556062,1 |
турбины теплофикационные 250 МВт и более | 4097,1 | 880930 |
турбины конденсационные | 3008,9 | 523502,1 |
23) замена автоматических систем управления технологическими процессами и локальных систем автоматического управления с их дооснащением системами диагностики и прогностики технического состояния котлоагрегата | ||
для ТЭС на газовом топливе | 39,9 | 47565,4 |
для ТЭС на угольном топливе | 91,3 | 15811,6 |
24) замена автоматических систем управления технологическими процессами и локальных систем автоматического управления с их дооснащением системами диагностики и прогностики технического состояния паровой турбины | 225,4 | 47520,4 |
______________________________
ПРИЛОЖЕНИЕ № 2
к Правилам определения величин
предельных (максимальных и
инимальных)
капитальных затрат на реализацию
проектов модернизации генерирующих
объектов тепловых электростанций
(в редакции постановления
Правительства Российской Федерации
от 29 июня 2020 г. № 948)
ЗНАЧЕНИЯ
долей затрат для каждого мероприятия, которое может быть предусмотрено проектом модернизации генерирующих объектов тепловых электростанций
| Мероприятия, которые могут быть предусмотрены проектом модернизации генерирующих объектов тепловых электростанций | Д1 (доля затрат на оборудование) | Д2 (доля затрат на строительно-монтажные работы) | Д3 (доля прочих затрат) |
1. Модернизация котельного оборудования | |||
комплексная замена котлоагрегата (котлоагрегатов): | |||
на газовом топливе | 0,48 | 0,41 | 0,11 |
на угольном топливе | 0,52 | 0,37 | 0,11 |
2. Модернизация турбинного оборудования | |||
1) комплексная замена паровой турбины (паровых турбин) на паровую турбину | |||
турбины теплофикационные до 250 МВт | 0,73 | 0,16 | 0,11 |
турбины теплофикационные 250 МВт и более | 0,73 | 0,16 | 0,11 |
турбины конденсационные | 0,73 | 0,16 | 0,11 |
турбины противодавленческие | 0,73 | 0,16 | 0,11 |
2) надстройка генерирующего объекта газовой турбиной (газовыми турбинами) с установкой автоматических систем управления технологическими процессами и локальных систем автоматического управления с их дооснащением системами диагностики и прогностики технического состояния газовой турбины (газовых турбин): | |||
без котла-утилизатора | 0,64 | 0,26 | 0,1 |
с котлом-утилизатором | 0,64 | 0,26 | 0,1 |
3. Сопутствующие мероприятия: | |||
1) комплексная замена генератора (генераторов) | 0,72 | 0,17 | 0,11 |
2) замена ротора генератора (генераторов) | 0,82 | 0,08 | 0,1 |
3) строительство градирни и циркуляционной насосной станции | 0,36 | 0,53 | 0,11 |
4) замена регенеративных подогревателей | 0,68 | 0,21 | 0,11 |
5) замена трубопроводов острого пара, и (или) промперегрева, и (или) питательной воды технологического соединения "котел-турбина" | 0,66 | 0,19 | 0,15 |
6) замена (установка) золоулавливающего оборудования: | |||
замена существующего золоулавливающего оборудования на новые электрофильтры | 0,54 | 0,37 | 0,09 |
замена существующего золоулавливающего оборудования на рукавные фильтры | 0,54 | 0,37 | 0,09 |
замена существующего золоулавливающего оборудования на иные виды золоулавливающего оборудования | 0,54 | 0,37 | 0,09 |
7) замена (строительство) дымовой трубы на угольной электростанции | 0 | 0,95 | 0,05 |
8) замена (строительство) систем приема подготовки и распределения топлива на угольной электростанции: | |||
модернизация склада угля, подразумевающая строительство защитных экранов, подпорных стенок, установок оросительных (туманообразующих), укладчика-заборщика роторного | 0,43 | 0,49 | 0,08 |
строительство помещения разгрузочного устройства с инженерными системами и разгрузочным оборудованием | 0,43 | 0,49 | 0,08 |
9) строительство нового (реконструкция или расширение существующего) главного корпуса с необходимыми инженерными системами под монтаж новой газовой турбины: | |||
без котла-утилизатора | 0,11 | 0,83 | 0,06 |
с котлом-утилизатором | 0,11 | 0,83 | 0,06 |
10) строительство нового корпуса для котельного оборудования с необходимыми инженерными системами под монтаж паровых котлоагрегатов: | |||
для ТЭС на газовом топливе | 0,05 | 0,91 | 0,04 |
для ТЭС на угольном топливе | 0,05 | 0,91 | 0,04 |
11) строительство нового корпуса для турбинного оборудования с необходимыми инженерными системами под монтаж паровых турбин: | |||
для ТЭС на газовом топливе | 0,05 | 0,91 | 0,04 |
для ТЭС на угольном топливе | 0,05 | 0,91 | 0,04 |
12) приведение в соответствие с действующими нормативно-техническими документами существующего здания главного корпуса с паровыми угольными котлами и паровыми турбинами | 0,06 | 0,89 | 0,05 |
13) приведение в соответствие с действующими нормативно-техническими документами существующего здания главного корпуса с паровыми газовыми котлами и паровыми турбинами | 0,06 | 0,89 | 0,05 |
14) строительство нового золоотвала или реконструкция золоотвала с увеличением емкости | 0,23 | 0,74 | 0,03 |
15) замена в полном объеме барабана котлоагрегата | 0,75 | 0,12 | 0,13 |
16) замена в полном объеме пароперегревателей котлоагрегата | 0,55 | 0,34 | 0,11 |
17) замена в полном объеме топочных экранов котлоагрегата | 0,54 | 0,35 | 0,11 |
18) замена в полном объеме перепускных трубопроводов с арматурой по пароводяному тракту парового котлоагрегата | 0,48 | 0,42 | 0,1 |
19) замена цилиндра высокого давления: | |||
турбины теплофикационные до 250 МВт | 0,73 | 0,15 | 0,12 |
турбины теплофикационные 250 МВт и более | 0,73 | 0,15 | 0,12 |
турбины конденсационные | 0,74 | 0,14 | 0,12 |
20) замена цилиндра высокого давления с заменой (модернизацией) части (цилиндра) среднего давления турбины с промежуточным перегревом пара: | |||
турбины теплофикационные до 250 МВт | 0,72 | 0,16 | 0,12 |
турбины теплофикационные 250 МВт и более | 0,72 | 0,16 | 0,12 |
турбины конденсационные | 0,72 | 0,16 | 0,12 |
21) замена цилиндра высокого давления с заменой (модернизацией) части (цилиндра) среднего давления (или части среднего и низкого давления) турбины без промежуточного перегрева пара: | |||
турбины теплофикационные до 250 МВт | 0,68 | 0,14 | 0,18 |
турбины теплофикационные 250 МВт и более | 0,68 | 0,14 | 0,18 |
турбины конденсационные | 0,68 | 0,14 | 0,18 |
22) замена цилиндра высокого давления с заменой (модернизацией) цилиндра низкого давления турбины: | |||
турбины теплофикационные до 250 МВт | 0,63 | 0,13 | 0,24 |
турбины теплофикационные 250 МВт и более | 0,63 | 0,13 | 0,24 |
турбины конденсационные | 0,63 | 0,13 | 0,24 |
23) замена автоматических систем управления технологическими процессами и локальных систем автоматического управления с их дооснащением системами диагностики и прогностики технического состояния котлоагрегата | |||
для ТЭС на газовом топливе | 0,57 | 0,24 | 0,19 |
для ТЭС на угольном топливе | 0,51 | 0,24 | 0,25 |
24) замена автоматических систем управления технологическими процессами и локальных систем автоматического управления с их дооснащением системами диагностики и прогностики технического состояния паровой турбины | 0,54 | 0,29 | 0,17". |
______________________________
ПРИЛОЖЕНИЕ № 3
к Правилам определения величин предельных (максимальных и минимальных) капитальных затрат на реализацию проектов модернизации генерирующих объектов тепловых электростанций
КОЭФФИЦИЕНТЫ СЕЙСМИЧЕСКОГО ВЛИЯНИЯ
Территория субъекта Российской Федерации | Ксейсм (коэффициент сейсмического влияния) |
| Республики Алтай Республика Дагестан Республика Ингушетия Кабардино-Балкарская Республика Карачаево-Черкесская Республика Республика Северная Осетия - Алания Республика Тыва Чеченская Республика | 1,07 |
| Республика Адыгея Республика Бурятия Республика Крым Краснодарский край Город Севастополь | 1,05 |
| Республика Хакасия Алтайский край Забайкальский край Ставропольский край Иркутская область Кемеровская область | 1,03 |
| Иные территории субъектов Российской Федерации | 1 |
ПРИЛОЖЕНИЕ № 4
к Правилам определения величин предельных (максимальных и минимальных) капитальных затрат на реализацию проектов модернизации генерирующих объектов тепловых электростанций
ТЕМПЕРАТУРНЫЕ КОЭФФИЦИЕНТЫ
Территория субъекта Российской Федерации | Ктемп (температурный коэффициент) |
| Республика Адыгея Республика Дагестан Республика Ингушетия Кабардино-Балкарская Республика Карачаево-Черкесская Республика Республика Северная Осетия - Алания Чеченская Республика Республика Крым Краснодарский край Ставропольский край Город Севастополь | 1,007 |
| Республика Калмыкия Астраханская область Псковская область Ростовская область | 1,016 |
| Республика Карелия Белгородская область Брянская область Владимирская область Волгоградская область Вологодская область Воронежская область Ивановская область Калужская область Курская область Ленинградская область Липецкая область Московская область Новгородская область Орловская область Рязанская область Саратовская область Смоленская область Тамбовская область Тверская область Тульская область Ярославская область Город Москва Город Санкт-Петербург | 1,032 |
| Республика Алтай Республика Башкортостан Республика Марий Эл Республика Мордовия Республика Татарстан Удмуртская Республика Чувашская Республика Алтайский край Пермский край Кировская область Костромская область Курганская область Мурманская область Нижегородская область Оренбургская область Пензенская область Самарская область Свердловская область Ульяновская область Челябинская область | 1,04 |
| Республика Бурятия Республика Тыва Республика Хакасия Забайкальский край Красноярский край Иркутская область Кемеровская область Новосибирская область Омская область Томская область Тюменская область Ханты-Мансийский автономный округ - Югра Ямало-Ненецкий автономный округ
| 1,055 |
УТВЕРЖДЕНЫ
постановлением Правительства
Российской Федерации
от 25 января 2019 г. № 43
ПРАВИЛА
индексации величин типовых капитальных затрат на реализацию проектов модернизации генерирующих объектов
тепловых электростанций
1. Настоящие Правила устанавливают порядок индексации величин типовых капитальных затрат на реализацию проектов модернизации генерирующих объектов тепловых электростанций (далее - проекты модернизации).
2. Для отборов проектов модернизации (далее - отбор проектов модернизации) с началом поставки мощности в период с 1 января 2022 г. по 31 декабря 2024 г. индексация величин типовых капитальных затрат не осуществляется.
3. Для отборов проектов модернизации с датой начала поставки мощности после 31 декабря 2024 г. величина типовых капитальных затрат на выполнение работ по модернизации индексируется с 1 января 2018 г. до 1 января года, в котором проводится отбор проектов модернизации. В целях индексации типовые капитальные затраты на реализацию мероприятий, которые могут быть предусмотрены проектом модернизации из числа мероприятий, указанных в пункте 266 Правил оптового рынка электрической энергии и мощности, утвержденных постановлением Правительства Российской Федерации от 27 декабря 2010 г. № 1172 "Об утверждении Правил оптового рынка электрической энергии и мощности и о внесении изменений в некоторые акты Правительства Российской Федерации по вопросам организации функционирования оптового рынка электрической энергии и мощности" (далее - мероприятия по модернизации), подразделяются в соответствии с Правилами определения величин предельных (максимальных и минимальных) капитальных затрат на реализацию проектов модернизации генерирующих объектов тепловых электростанций, утвержденными постановлением Правительства Российской Федерации от 25 января 2019 г. № 43 "О проведении отборов проектов модернизации генерирующих объектов тепловых электростанций", на:
долю затрат на оборудование;
долю затрат на строительно-монтажные работы;
долю прочих затрат.
4. Величина типовых капитальных затрат на оборудование, соответствующая доле затрат на оборудование, указанной в пункте 3 настоящих Правил, индексируется за период, предусмотренный пунктом 3 настоящих Правил, в соответствии с изменением фактического индекса цен производителей "Производство машин и оборудования, электрооборудования, транспортных средств", публикуемого в составе прогноза социально-экономического развития Российской Федерации федеральным органом исполнительной власти, осуществляющим функции по выработке государственной политики и нормативно-правовому регулированию в сфере анализа и прогнозирования социально-экономического развития (в отсутствие такого индекса - в соответствии с определяемым и публикуемым федеральным органом исполнительной власти, осуществляющим функции по формированию официальной статистической информации, изменением индекса потребительских цен).
5. Величина типовых капитальных затрат на строительно-монтажные работы, соответствующая доле затрат на строительно-монтажные работы, указанной в пункте 3 настоящих Правил, индексируется за период, предусмотренный пунктом 3 настоящих Правил, в соответствии с изменением фактического индекса цен производителей "Строительство", публикуемого в составе прогноза социально-экономического развития Российской Федерации федеральным органом исполнительной власти, осуществляющим функции по выработке государственной политики и нормативно-правовому регулированию в сфере анализа и прогнозирования социально-экономического развития (в отсутствие такого индекса - в соответствии с определяемым и публикуемым федеральным органом исполнительной власти, осуществляющим функции по формированию официальной статистической информации, изменением индекса потребительских цен).
6. Величина прочих типовых капитальных затрат, соответствующая доле прочих затрат, указанной в пункте 3 настоящих Правил, индексируется за период, предусмотренный пунктом 3 настоящих Правил, в соответствии с определяемым и публикуемым федеральным органом исполнительной власти, осуществляющим функции по формированию официальной статистической информации, изменением индекса потребительских цен.
7. Величина предельных максимальных удельных капитальных затрат на реализацию проекта модернизации индексируется за период, предусмотренный пунктом 3 настоящих Правил, в соответствии с определяемым и публикуемым федеральным органом исполнительной власти, осуществляющим функции по формированию официальной статистической информации, изменением индекса потребительских цен. Указанное требование не применяется при проведении отборов проектов модернизации с началом поставки мощности в период с 1 января 2022 г. по 31 декабря 2024 г.
УТВЕРЖДЕНЫ
постановлением Правительства
Российской Федерации
от 25 января 2019 г. № 43
ИЗМЕНЕНИЯ,
которые вносятся в акты Правительства Российской Федерации
по вопросам проведения отборов проектов модернизации генерирующих объектов тепловых электростанций
(В редакции Постановления Правительства Российской Федерации от 18.12.2020 № 2160)
1. (Утратил силу - Постановление Правительства Российской Федерации от 18.12.2020 № 2160)
2. В пункте 11 Правил определения цены на мощность, продаваемую по договорам о предоставлении мощности, утвержденных постановлением Правительства Российской Федерации от 13 апреля 2010 г. № 238 "Об определении ценовых параметров торговли мощностью на оптовом рынке электрической энергии и мощности" (Собрание законодательства Российской Федерации, 2010, № 16, ст. 1922; 2016, № 26, ст. 4067; 2017, № 37, ст. 5531; 2018, № 52, ст. 8266):
а) абзац второй изложить в следующей редакции:
;
б) абзац пятый изложить в следующей редакции:
"Цкомi+4 - цена на мощность, определенная для ценовой зоны, в которой расположен соответствующий генерирующий объект, по итогам конкурентного отбора мощности, проведенного на год i + 4. В 2019 году (i = 2019) Цкомi+4 умножается на коэффициент, равный отношению 1 к индексу потребительских цен за 2018 год (ИПЦ2018), уменьшенному на 0,001, а если по состоянию на 1-е число расчетного периода, в отношении которого определяется цена на мощность, продаваемую по договорам о предоставлении мощности, для ценовой зоны, в которой расположен соответствующий генерирующий объект, не определена цена на мощность по итогам конкурентного отбора мощности на 2023 год, то в качестве указанной цены применяется цена на мощность, определенная для ценовой зоны, в которой расположен соответствующий генерирующий объект, по итогам проведенного конкурентного отбора мощности на 2021 год, умноженная на коэффициент, равный сумме ИПЦ2018 и 0,15;".
3. В Правилах оптового рынка электрической энергии и мощности, утвержденных постановлением Правительства Российской Федерации от 27 декабря 2010 г. № 1172 "Об утверждении Правил оптового рынка электрической энергии и мощности и о внесении изменений в некоторые акты Правительства Российской Федерации по вопросам организации функционирования оптового рынка электрической энергии и мощности" (Собрание законодательства Российской Федерации, 2011, № 14, ст. 1916; № 42, ст. 5919; 2012, № 4, ст. 504, 505; № 20, ст. 2539; № 23, ст. 3008; № 28, ст. 3906; 2013, № 1, ст. 68; № 6, ст. 565; № 8, ст. 825; № 22, ст. 2817; № 23, ст. 2909; № 31, ст. 4234; № 35, ст. 4528; 2014, № 9, ст. 908; № 19, ст. 2414; № 23, ст. 2994; № 34, ст. 4677; № 35, ст. 4769; 2015, № 2, ст. 477; № 5, ст. 827; № 9, ст. 1324; № 10, ст. 1540; № 20, ст. 2924; № 36, ст. 5034; № 37, ст. 5153; № 43, ст. 5975; № 44, ст. 6132; № 45, ст. 6256; № 46, ст. 6394; 2016, № 2, ст. 329, 395; № 10, ст. 1422; № 19, ст. 2701; № 22, ст. 3212; № 26, ст. 4067; № 31, ст. 5017; № 38, ст. 5541; № 49, ст. 6928; 2017, № 1, ст. 178, 189; № 11, ст. 1558; № 16, ст. 2426; № 22, ст. 3151; № 23, ст. 3321; № 25, ст. 3684; № 29, ст. 4372; № 30, ст. 4675; № 32, ст. 5077; № 37, ст. 5531; № 43, ст. 6335; № 47, ст. 6997; 2018, № 1, ст. 391; № 3, ст. 543; № 5, ст. 748; № 15, ст. 2163; № 19, ст. 2756; № 26, ст. 3852; № 28, ст. 4223; № 37, ст. 5751; № 41, ст. 6241; № 51, ст. 8007; № 52, ст. 8266):
а) пункт 3 дополнить абзацем следующего содержания:
"Для целей настоящих Правил под мероприятиями по модернизации генерирующего объекта тепловой электростанции понимаются мероприятия, которые могут быть предусмотрены проектом модернизации генерирующих объектов тепловых электростанций, из числа мероприятий, указанных в пункте 266 настоящих Правил.";
б) пункт 4 дополнить подпунктом 15 следующего содержания:
"15) торговля мощностью по договорам купли-продажи (поставки) мощности модернизированных генерирующих объектов, заключенным в соответствии с настоящими Правилами в порядке, установленном договором о присоединении к торговой системе оптового рынка, в отношении генерирующих объектов, включенных в перечень генерирующих объектов, мощность которых поставляется по договорам купли-продажи (поставки) мощности модернизированных генерирующих объектов, утвержденный Правительством Российской Федерации на основании результатов отбора проектов модернизации генерирующих объектов тепловых электростанций.";
в) в подпункте 18 пункта 40:
в абзаце десятом слова "и 10" заменить словами ", 10 и 15";
дополнить абзацем следующего содержания:
"процедуру проведения отборов проектов модернизации генерирующих объектов тепловых электростанций, порядок представления системному оператору ценовых заявок для участия в таких отборах и требования к включаемым в такую ценовую заявку сведениям о генерирующем объекте, а также процедуру объявления (опубликования) итогов таких отборов;";
г) в абзаце первом пункта 41 слова "и 11" заменить словами ", 11 и 15";
д) пункт 44 дополнить абзацем следующего содержания:
"Для генерирующего объекта, в отношении которого заключены договоры, указанные в подпункте 15 пункта 4 настоящих Правил, условиями проведения аттестации являются подтверждение готовности оборудования к участию в общем первичном регулировании частоты, соответствие требованиям к длительности работы оборудования с частотой, отличной от 50 Гц, соответствие систем автоматической регулировки возбуждения генераторов установленным системным оператором требованиям к таким системам, а также в случае увеличения установленной мощности генерирующего оборудования после реализации проекта модернизации и (или) изменения параметров схемы выдачи мощности электростанции в электрическую сеть - получение в порядке, установленном Правилами технологического присоединения энергопринимающих устройств потребителей электрической энергии, объектов по производству электрической энергии, а также объектов электросетевого хозяйства, принадлежащих сетевым организациям и иным лицам, к электрическим сетям, утвержденными постановлением Правительства Российской Федерации от 27 декабря 2004 г. № 861 "Об утверждении Правил недискриминационного доступа к услугам по передаче электрической энергии и оказания этих услуг, Правил недискриминационного доступа к услугам по оперативно-диспетчерскому управлению в электроэнергетике и оказания этих услуг, Правил недискриминационного доступа к услугам администратора торговой системы оптового рынка и оказания этих услуг и Правил технологического присоединения энергопринимающих устройств потребителей электрической энергии, объектов по производству электрической энергии, а также объектов электросетевого хозяйства, принадлежащих сетевым организациям и иным лицам, к электрическим сетям", согласованных системным оператором технических условий на технологическое присоединение к электрическим сетям и подтверждение выполнения предусмотренных такими техническими условиями решений.";
е) пункт 51 дополнить абзацами следующего содержания:
"Объем мощности, фактически поставленной на оптовый рынок с использованием генерирующего объекта, мощность которого подлежит оплате по договорам, указанным в подпункте 15 пункта 4 настоящих Правил, признается равным разности следующих величин:
минимальная из величин предельного объема поставки мощности и объема установленной мощности генерирующего объекта, уменьшенная на объем недопоставки мощности, определяемый в соответствии с пунктом 52 настоящих Правил, но не более величины объема мощности, составляющего обязательства поставщика по поставке мощности по соответствующим договорам;
объем потребления мощности на собственные и хозяйственные нужды соответствующего генерирующего объекта в пределах максимальных объемов потребления электрической энергии на собственные и хозяйственные нужды, определяемых в соответствии с договором о присоединении к торговой системе оптового рынка.";
ж) пункт 52 дополнить абзацем следующего содержания:
"Невыполнение (частичное невыполнение) поставщиком мощности требований пунктов 48 и 481 настоящих Правил не является основанием для одностороннего отказа какой-либо из сторон от исполнения договора купли-продажи (поставки) электрической энергии и (или) мощности (полностью или частично).";
з) в подпункте 1 пункта 54:
абзац второй после слов "рассчитанная за" дополнить словами "текущий месяц и";
дополнить абзацем следующего содержания:
"в случае ремонта, согласованного с системным оператором в отношении генерирующего объекта, в отношении которого заключены договоры, указанные в подпункте 15 пункта 4 настоящих Правил, производимого в период, состоящий из 3 календарных месяцев, предшествующих началу периода реализации проекта модернизации, определенного в соответствии с разделом ХХ настоящих Правил, - произведению среднемесячного почасового объема такого ремонта, зарегистрированного в текущем месяце в соответствии с договором о присоединении к торговой системе оптового рынка, и коэффициента, равного 1;";
и) в пункте 55:
в абзаце четвертом:
слова "составляет 12 месяцев, предшествующих расчетному" заменить словами "составляют те месяцы из числа 12 месяцев, предшествующих расчетному";
дополнить предложением "Для генерирующих объектов, мощность которых поставляется по договорам, указанным в подпункте 15 пункта 4 настоящих Правил, контрольный период показателя надежности начинается не ранее начала периода поставки мощности по указанным договорам, определенного в соответствии с разделом ХХ настоящих Правил.";
абзац восьмой дополнить предложением "Для генерирующих объектов, мощность которых поставляется по договорам, указанным в подпункте 15 пункта 4 настоящих Правил, контрольный период показателя востребованности начинается не ранее начала периода поставки мощности по указанным договорам, определенного в соответствии с разделом ХХ настоящих Правил.";
абзац шестнадцатый после слов "предшествующих расчетному," дополнить словами "а также для группы точек поставки, в состав которой входит генерирующий объект, в отношении которого заключены договоры, указанные в подпункте 15 пункта 4 настоящих Правил, для первого месяца периода поставки мощности по указанным договорам, в котором предельный объем поставки мощности больше нуля,";
после абзаца шестнадцатого дополнить абзацем следующего содержания:
"Показатель дифференциации значений коэффициентов готовности в отношении группы точек поставки, зарегистрированной в отношении генерирующего объекта, в состав которого входят определенные актом Правительства Российской Федерации образцы инновационного энергетического оборудования угольных электростанций с параметрами пара не менее 23 МПа с улучшенными экологическими характеристиками или экспериментальные образцы газовых турбин с установленной мощностью 65 МВт и более (далее - образцы инновационного энергетического оборудования), не может принимать значение больше 1.";
к) в абзаце десятом пункта 62 слова "в подпункте 11" заменить словами "в подпунктах 11 и 15";
л) в пункте 100:
абзацы второй - шестой изложить в следующей редакции:
"В сроки, установленные Правительством Российской Федерации, проводятся долгосрочные конкурентные отборы мощности со следующими датами начала поставки:
с 1 января 2022 г.;
с 1 января 2023 г.;
с 1 января 2024 г.
Начиная с 2019 года, ежегодно, до 15 ноября, проводятся долгосрочные конкурентные отборы мощности с периодом поставки мощности по итогам таких отборов с 1 января календарного года, наступающего через 5 календарных лет после проведения долгосрочного конкурентного отбора мощности.";
абзац седьмой признать утратившим силу;
в абзаце восьмом:
слова "В 2016 году до 1 июля, в 2018 году до 1-го числа месяца" заменить словами "До 1-го числа месяца";
слова "с 1 января 2019 г. или" исключить;
м) дополнить пунктом 1002 следующего содержания:
"1002. Отбор проектов модернизации генерирующих объектов тепловых электростанций проводится в порядке и сроки, которые установлены разделом XХ настоящих Правил.";
н) в пункте 101:
слова ", представленного в 2016 году не позднее 1 февраля, в 2017 году не позднее 27 октября" и слова "в 2016 году не позднее 20 января, в 2017 году не позднее 23 октября" исключить;
слова "с 3 последними утвержденными указанным федеральным органом исполнительной власти схемами и программами развития ЕЭС России" заменить словами "с последней утвержденной указанным федеральным органом исполнительной власти схемой и программой развития ЕЭС России";
о) в абзаце втором пункта 103 слова "и 14" заменить словами ", 14 и 15";
п) в подпункте 6 пункта 106 слова "в 2015 году может быть актуализирована в срок до 15 октября" заменить словами ", может быть актуализирована не позднее начала периода подачи заявок на конкурентный отбор мощности";
р) в пункте 107:
абзац четвертый признать утратившим силу;
абзац шестой заменить текстом следующего содержания:
"цена в первой точке спроса на мощность и цена во второй точке спроса на мощность, которые для каждой ценовой зоны оптового рынка определяются равными:
в 2019 году - соответствующей цене, установленной Правительством Российской Федерации в 2017 году, проиндексированной в соответствии с индексом потребительских цен за 2017 год и 2018 год, увеличенной на 15 процентов для конкурентных отборов мощности с датами начала поставки мощности с 1 января 2022 г. и 1 января 2023 г., на 20 процентов для конкурентных отборов мощности с датами начала поставки мощности с 1 января 2024 г. и 1 января 2025 г.;
в 2020 году - соответствующей цене, определенной для конкурентного отбора мощности, проведенного в 2019 году с датой начала поставки мощности с 1 января 2025 г., проиндексированной в соответствии с индексом потребительских цен за 2019 год;
в 2021 году и в последующих годах - соответствующей цене, определенной для конкурентного отбора мощности, проведенного в предшествующем году, проиндексированной в соответствии с индексом потребительских цен за предшествующий год.";
после абзаца девятого дополнить абзацем следующего содержания:
"Величины планового коэффициента резервирования для ценовых зон оптового рынка, используемые при проведении в 2019 году конкурентного отбора мощности на 2023 и 2024 годы, определяются равными соответствующим величинам, используемым при проведении в 2019 году конкурентного отбора мощности на 2022 год.";
с) пункт 108:
после абзаца пятнадцатого дополнить абзацем следующего содержания:
"Мощность генерирующих объектов, в отношении которых заключены договоры, указанные в подпункте 15 пункта 4 настоящих Правил, в отношении месяцев, составляющих установленный в соответствии с настоящими Правилами период проведения мероприятий по модернизации, учитывается при проведении конкурентного отбора мощности в объеме, не меньшем объема мощности, учтенного при проведении конкурентного отбора мощности, проведенного на предшествующий период.";
второе предложение абзаца восемнадцатого после слов "во второй ценовой зоне оптового рынка," дополнить словами "а также генерирующих объектов, в отношении которых заключены договоры, указанные в подпункте 15 пункта 4 настоящих Правил, для которых установленный в соответствии с настоящими Правилами период проведения мероприятий по модернизации содержит декабрь года, на который проводится конкурентный отбор мощности,";
т) в абзаце пятом пункта 109 слова "и 11" заменить словами ", 11 и 15";
у) абзац второй пункта 1131 дополнить словами "(за исключением мощности генерирующих объектов, в отношении которых заключены договоры, указанные в подпункте 15 пункта 4 настоящих Правил, в течение установленного в соответствии с настоящими Правилами периода проведения мероприятий по модернизации, а также периода поставки мощности по соответствующему договору)";
ф) пункт 114 после абзаца девятнадцатого дополнить абзацем следующего содержания:
"По договорам, предусмотренным подпунктом 11 пункта 4 настоящих Правил, не поставляется мощность генерирующих объектов, в отношении которых заключены договоры, указанные в подпункте 15 пункта 4 настоящих Правил, в течение установленного в соответствии с настоящими Правилами периода проведения мероприятий по модернизации, а также периода поставки мощности по договорам, указанным в подпункте 15 пункта 4 настоящих Правил.";
х) абзац первый пункта 1141 после слов "ранее относившихся" дополнить словами "к территориям неценовых зон оптового рынка,";
ц) в абзаце пятом пункта 117 слова "и 14" заменить словами ", 14 и 15";
ч) в пункте 119:
в абзаце первом слова "и 14" заменить словами ", 14 и 15";
в абзаце четвертом слова "и 14" заменить словами ", 14 и 15";
в абзаце одиннадцатом слова "и 14" заменить словами ", 14 и 15";
в абзаце шестнадцатом слова "подпункте 14" заменить словами "подпунктах 14 и 15";
ш) в пункте 121:
в абзаце втором слова "и 10" заменить словами ", 10 и 15";
в абзаце пятом слова "и 10" заменить словами ", 10 и 15";
в абзаце шестом слова "уплачивает покупателю мощности по соответствующему договору штраф в размере 25 процентов стоимости объема мощности, составляющего разницу между объемом, предусмотренным договором, и приходящейся на соответствующий договор частью предельного объема" заменить словами "в порядке, предусмотренном договором о присоединении к торговой системе оптового рынка, уплачивает покупателям мощности по соответствующим договорам штраф в размере 25 процентов стоимости объема мощности, составляющего разницу между объемом, исходя из которого определяются обязательства поставщика по поставке мощности на оптовый рынок по соответствующим договорам, и предельным объемом";
в абзаце седьмом слова "подпунктом 11" заменить словами "подпунктами 11 и 15";
в абзаце девятом:
после слов "пункта 4 настоящих Правил" дополнить словами ", и объектов, в состав которых входят образцы инновационного энергетического оборудования";
слова "покупателю штраф в размере стоимости приходящейся на соответствующий договор части объема мощности, составляющей" заменить словами "покупателям штраф в размере стоимости объема мощности, составляющего";
щ) в абзаце четвертом пункта 122 слова "и 14" заменить словами ", 14 и 15";
ы) в абзацах втором и девятом пункта 123 слова "и 14" заменить словами ", 14 и 15";
э) в пункте 124:
в абзаце первом слова "и 14" заменить словами ", 14 и 15";
в абзаце втором слова "и 10" заменить словами ", 10 и 15";
в абзаце шестом слова "и 14" заменить словами ", 14 и 15";
в абзаце седьмом слова "и 14" заменить словами ", 14 и 15";
ю) дополнить пунктом 1701 следующего содержания:
"1701. Правительство Российской Федерации на основании предложений Правительственной комиссии по вопросам развития электроэнергетики утверждает перечень генерирующих объектов тепловых электростанций, подлежащих модернизации (реконструкции) или строительству в неценовых зонах оптового рынка. С целью формирования указанных предложений Правительственная комиссия по вопросам развития электроэнергетики рассматривает поступившие от федерального органа исполнительной власти, осуществляющего функции по выработке и реализации государственной политики и нормативно-правовому регулированию в сфере топливно-энергетического комплекса, предложения о перечне генерирующих объектов тепловых электростанций, подлежащих модернизации (реконструкции) или строительству в неценовых зонах оптового рынка.
Предложения федерального органа исполнительной власти, осуществляющего функции по выработке и реализации государственной политики и нормативно-правовому регулированию в сфере топливно-энергетического комплекса, формируются на основании заявления поставщика - участника оптового рынка о необходимости модернизации (реконструкции) или строительства генерирующих объектов тепловых электростанций в неценовой зоне оптового рынка, заключения системного оператора об угрозе наступления последствий, предусмотренных Правилами вывода объектов электроэнергетики в ремонт и из эксплуатации, в результате вывода объектов, а также обращения высшего должностного лица субъекта Российской Федерации (руководителя высшего исполнительного органа государственной власти субъекта Российской Федерации) о необходимости модернизации (реконструкции) или строительства соответствующих генерирующих объектов, включающего в том числе обязательство по обеспечению тепловой нагрузки потребителей, находящихся в зоне действия генерирующих объектов тепловых электростанций, подлежащих реконструкции (модернизации) или строительству, в объемах, указанных в таком обращении, при производстве тепловой энергии указанными объектами.
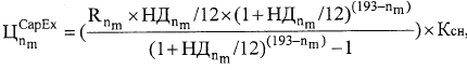
В целях определения регулируемых цен (тарифов) на электрическую энергию и мощность в отношении генерирующих объектов тепловых электростанций в неценовых зонах оптового рынка, включенных в утвержденный Правительством Российской Федерации перечень генерирующих объектов тепловых электростанций, подлежащих модернизации (реконструкции) или строительству в неценовых зонах оптового рынка, Правительство Российской Федерации на основании предложения Правительственной комиссии по вопросам развития электроэнергетики устанавливает значения капитальных затрат на модернизацию (реконструкцию) или строительство генерирующего объекта соответствующего вида, значения удельных затрат на эксплуатацию генерирующего объекта после реализации модернизации (реконструкции) или строительства, значения удельного расхода условного топлива в отношении генерирующего объекта. Такое предложение формируется на основании заключения об указанных значениях, сформированного федеральным органом исполнительной власти, осуществляющим функции по выработке и реализации государственной политики и нормативно-правовому регулированию в сфере топливно-энергетического комплекса, на основе следующих документов, представленных участником оптового рынка, в отношении генерирующего объекта, включенного в утвержденный Правительством Российской Федерации перечень генерирующих объектов тепловых электростанций, подлежащих модернизации (реконструкции) или строительству в неценовых зонах оптового рынка:
проектная документация, прошедшая экспертизу в установленном порядке и включающая в том числе сметную стоимость модернизации (реконструкции) или строительства генерирующего объекта;
результаты технологического и ценового аудита инвестиционных проектов в отношении генерирующих объектов, по которым разработана проектная документация.
Федеральный орган исполнительной власти, осуществляющий функции по выработке и реализации государственной политики и нормативно-правовому регулированию в сфере топливно-энергетического комплекса, в заключении также указывает тип генерирующего объекта, подлежащего модернизации (реконструкции) или строительству, значение установленной мощности и планируемые сроки ввода в эксплуатацию (год и месяц).";
я) дополнить разделом ХХ следующего содержания:
"ХХ. Порядок проведения отбора проектов модернизации генерирующих объектов тепловых электростанций и особенности торговли мощностью по договорам купли-продажи мощности
модернизированных объектов
264. Цель проведения отбора проектов модернизации генерирующих объектов тепловых электростанций (далее соответственно - проекты модернизации, отбор проектов модернизации) состоит в определении перечня проектов и генерирующих объектов для формирования перечня генерирующих объектов, мощность которых поставляется по договорам купли-продажи (поставки) мощности модернизированных генерирующих объектов, утверждаемого Правительством Российской Федерации на основании результатов отбора проектов модернизации генерирующих объектов тепловых электростанций в соответствии с настоящим разделом, в отношении которых будут заключены договоры, предусмотренные подпунктом 15 пункта 4 настоящих Правил (далее - перечень, утвержденный Правительством Российской Федерации на основании результатов отбора проектов модернизации).
С 2019 по 2025 год (включительно) отбор проектов модернизации проводится ежегодно с приемом ценовых заявок на участие в отборе проектов модернизации до 1 сентября и с началом поставки мощности по его итогам в году, наступающем через 5 календарных лет после года проведения отбора проектов модернизации.
Отбор проектов модернизации с началом поставки мощности в период с 1 января 2022 г. по 31 декабря 2024 г. проводится в сроки, установленные Правительством Российской Федерации.
Отбор проектов модернизации проводится системным оператором в порядке, определенном настоящими Правилами и договором о присоединении к торговой системе оптового рынка.
265. Значения максимальной совокупной установленной мощности генерирующих объектов, которые могут быть определены по итогам отбора проектов модернизации, для каждой ценовой зоны оптового рынка для каждого года периода начала поставки мощности по итогам отбора проектов модернизации устанавливаются Правительством Российской Федерации на основе генеральной схемы размещения объектов электроэнергетики, утверждаемой Правительством Российской Федерации, и не могут превышать для 2022 года для первой ценовой зоны оптового рынка 2,4 ГВт и для второй ценовой зоны оптового рынка 0,6 ГВт, а для последующих годов для первой ценовой зоны оптового рынка - 3,2 ГВт и для второй ценовой зоны оптового рынка - 0,8 ГВт. В отсутствие такого акта Правительства Российской Федерации, принятого не позднее 30 дней до даты окончания приема ценовых заявок на участие в отборе проектов модернизации, указанной в пункте 264 настоящих Правил, значения максимальной совокупной установленной мощности генерирующих объектов, которые могут быть определены по итогам отбора проектов модернизации, устанавливаются равными указанным значениям.
Оборудование, эксплуатируемое по итогам реализации проектов модернизации, должно соответствовать критериям подтверждения производства промышленной продукции на территории Российской Федерации, установленным постановлением Правительства Российской Федерации от 17 июля 2015 г. № 719 "О подтверждении производства промышленной продукции на территории Российской Федерации" (далее - требования по локализации). Перечень оборудования, к которому применяются требования по локализации, утверждается Министерством промышленности и торговли Российской Федерации.
266. При отборе проектов модернизации подлежат рассмотрению проекты, содержащие одно или несколько следующих мероприятий, указанных в подпункте 1 и (или) подпункте 2 настоящего пункта, которые могут быть дополнены одним или несколькими сопутствующими мероприятиями, указанными в подпункте 3 настоящего пункта:
1) модернизация котельного оборудования, которая заключается в реализации любого из следующих мероприятий:
комплексная замена котлоагрегата (котлоагрегатов);
замена основных частей котлоагрегата, предусматривающая замену в полном объеме барабана котлоагрегата (не требуется для прямоточных котлов), пароперегревателей котлоагрегата, топочного экрана котлоагрегата, перепускных трубопроводов c арматурой по пароводяному тракту парового котлоагрегата;
2) модернизация турбинного оборудования, которая заключается в реализации любого из следующих мероприятий:
комплексная замена паровой турбины (паровых турбин) на паровую турбину (паровые турбины);
перевод генерирующего объекта, работающего с использованием паросилового цикла, в работу с использованием парогазового цикла за счет надстройки генерирующего объекта газовой турбиной;
замена цилиндра высокого давления;
замена цилиндра высокого давления с заменой (модернизацией) части (цилиндра) среднего давления турбины с промежуточным перегревом пара;
замена цилиндра высокого давления с заменой (модернизацией) части (цилиндра) среднего давления (или части среднего и низкого давления) турбины без промежуточного перегрева пара;
замена цилиндра высокого давления с заменой (модернизацией) цилиндра низкого давления турбины;
3) сопутствующие мероприятия:
комплексная замена генератора;
замена ротора генератора;
строительство градирни и циркуляционной насосной станции;
замена регенеративных подогревателей;
замена трубопроводов острого пара, и (или) промперегрева, и (или) питательной воды технологического соединения "котел-турбина";
замена (установка) золоулавливающего оборудования;
замена (строительство) дымовой трубы на угольной электростанции;
замена (строительство) систем приема подготовки и распределения топлива на угольной электростанции;
строительство нового (реконструкция или расширение) существующего главного корпуса с необходимыми инженерными системами под монтаж котла, котла-утилизатора, газовой турбины, генератора, паровой турбины;
строительство нового золоотвала или реконструкция золоотвала с увеличением емкости;
замена барабана котлоагрегата;
замена пароперегревателей котлоагрегата;
замена топочного экрана котлоагрегата;
замена перепускных трубопроводов c арматурой по пароводяному тракту парового котлоагрегата.
267. Договором о присоединении к торговой системе оптового рынка могут быть установлены особенности формирования состава мероприятий, предусмотренных одним проектом модернизации.
Не допускается включение в проект модернизации мероприятий, реализованных до проведения отбора проектов модернизации.
268. В отборе проектов модернизации могут участвовать поставщики - участники оптового рынка, осуществляющие поставку (покупку) электрической энергии и мощности на оптовом рынке с использованием групп точек поставки, зарегистрированных в отношении генерирующих объектов, соответствующих критериям, установленным в настоящем пункте, при условии выполнения такими участниками оптового рынка требований, установленных настоящими Правилами и договором о присоединении к торговой системе оптового рынка. Генерирующие объекты, в отношении которых поставщик вправе участвовать в отборе проектов модернизации, должны соответствовать следующим критериям:
1) для генерирующих объектов, в отношении которых планируется реализация мероприятий, указанных в подпункте 1 пункта 266 настоящих Правил, год выпуска котлоагрегата наступил ранее чем за 40 лет до года начала поставки мощности по итогам соответствующего отбора проектов модернизации;
2) генерирующий объект, в отношении которого планируется реализация мероприятий, указанных в подпункте 2 пункта 266 настоящих Правил, по состоянию на 1 января года, в котором проводится отбор проектов модернизации, должен быть задействован в работе не менее:
270000 часов - для генерирующих объектов, в состав которых входит турбина с давлением острого пара 10 МПа и менее;
220000 часов - для генерирующих объектов, в состав которых входит турбина с установленной мощностью менее 350 МВт и давлением острого пара более 10 МПа;
100000 часов - для генерирующих объектов, в состав которых входит турбина с установленной мощностью 350 МВт и более и давлением острого пара более 10 МПа;
3) показатель востребованности мощности генерирующего объекта, рассчитанный в соответствии с пунктом 55 настоящих Правил за период, состоящий из 24 месяцев, предшествующих месяцу, в котором устанавливается соответствие генерирующих объектов настоящему критерию (без учета периодов проведения плановых ремонтов соответствующих генерирующих объектов, не превышающих 360 календарных дней), имеет значение не менее 0,4. Данный критерий не применяется в отношении проектов модернизации, предусматривающих перевод генерирующего объекта, работающего с использованием паросилового цикла, в работу с использованием парогазового цикла;
4) в отношении генерирующего объекта отсутствует решение о согласовании вывода из эксплуатации, выданное после 1 января 2019 г. уполномоченным органом в соответствии с Правилами вывода объектов электроэнергетики в ремонт и из эксплуатации;
5) мощность генерирующего объекта не поставляется по договорам о предоставлении мощности по состоянию на 1-е число месяца, в котором устанавливается соответствие генерирующих объектов настоящему критерию.
269. К участию в отборе проектов модернизации допускаются участники оптового рынка, зарегистрировавшие условную группу точек поставки на оптовом рынке в отношении генерирующего объекта, поставка мощности которого предполагается по договорам, предусмотренным подпунктом 15 пункта 4 настоящих Правил, с указанием соответствующих ей генерирующих объектов, в отношении которых планируется реализация проектов модернизации, а также выполнившие иные требования, установленные договором о присоединении к торговой системе оптового рынка. Каждому генерирующему объекту, в отношении которого планируется реализация проектов модернизации, может соответствовать только одна условная группа точек поставки.
Участник оптового рынка, планирующий принять участие в отборе проектов модернизации, подтверждает соответствие генерирующих объектов указанным в пункте 268 настоящих Правил критериям и требованиям путем представления организации коммерческой инфраструктуры и системному оператору оптового рынка документов, перечень и порядок представления которых определяется договором о присоединении к торговой системе оптового рынка, в срок не позднее 14 дней до даты окончания приема ценовых заявок на участие в отборе проектов модернизации, указанной в пункте 264 настоящих Правил.
Проверка достоверности представленных участником оптового рынка сведений осуществляется в соответствии с договором о присоединении к торговой системе оптового рынка, в том числе с возможностью проведения выездной проверки.
270. Системный оператор не позднее чем за 15 дней до начала периода подачи ценовых заявок на участие в отборе проектов модернизации в порядке, установленном договором о присоединении к торговой системе оптового рынка, публикует на своем официальном сайте в сети Интернет следующую информацию:
1) требования, соответствующие настоящим Правилам и договору о присоединении к торговой системе оптового рынка, к содержанию ценовых заявок на участие в отборе проектов модернизации, подаваемых его участниками, а также способы и период их подачи в целях участия в таком отборе;
2) перечень и описание территорий, по которым определяются значения максимального совокупного снижения установленной мощности генерирующих объектов, в отношении которых могут одновременно реализовываться проекты модернизации;
3) значения максимального совокупного снижения установленной мощности генерирующих объектов, в отношении которых могут одновременно реализовываться мероприятия по модернизации, для каждой из указанных в подпункте 2 настоящего пункта территорий и для каждой ценовой зоны оптового рынка;
4) значение нормы доходности, определенное в соответствии с пунктом 283 настоящих Правил по результатам года, предшествующего году, в котором проводится отбор проектов модернизации;
5) рассчитанное организацией коммерческой инфраструктуры в соответствии с договором о присоединении к торговой системе оптового рынка среднее значение цен, определенных по итогам конкурентного отбора ценовых заявок на сутки вперед, для каждой ценовой зоны оптового рынка за период, состоящий из 12 календарных месяцев, оканчивающийся не позднее 60 календарных дней до начала периода подачи ценовых заявок на участие в отборе проектов модернизации;
6) иные сведения, обязательные для опубликования при подготовке проведения отбора проектов модернизации в соответствии с договором о присоединении к торговой системе оптового рынка.
271. Территории, по которым определяется значение максимального совокупного снижения установленной мощности генерирующих объектов, в отношении которых могут одновременно реализовываться проекты модернизации, и соответствующие значения максимального совокупного снижения установленной мощности генерирующих объектов определяются системным оператором в порядке, определенном договором о присоединении к торговой системе оптового рынка, исходя из объемов установленной мощности генерирующих объектов с учетом статистической информации о технологических ограничениях на производство или выдачу в сеть электрической энергии и ремонтных снижениях мощности соответствующих генерирующих объектов, прогнозируемых объемов потребления электрической энергии в энергорайонах, ограничений на передачу электрической энергии по электрическим сетям, объемов снижения установленной мощности генерирующих объектов, в отношении которых реализуются проекты модернизации в соответствии с заключенными ранее договорами, предусмотренными подпунктом 15 пункта 4 настоящих Правил.
272. Участники оптового рынка, имеющие в соответствии с настоящими Правилами право на участие в отборе проектов модернизации, в течение периода подачи ценовых заявок на участие в отборе проектов модернизации в порядке, установленном договором о присоединении к торговой системе оптового рынка, направляют системному оператору ценовые заявки на участие в отборе проектов модернизации.
Ценовая заявка на участие в отборе проектов модернизации может быть подана только в отношении генерирующего объекта, соответствующего требованиям и критериям, указанным в пункте 268 настоящих Правил, или в отношении совокупности таких генерирующих объектов, относящихся к одной электростанции. При подаче ценовых заявок на участие в отборе проектов модернизации в отношении генерирующих объектов, относящихся к одной электростанции, участником отбора должно соблюдаться установленное в соответствии с договором о присоединении к торговой системе оптового рынка ограничение на количество и (или) суммарную установленную мощность генерирующих объектов, относящихся к одной электростанции, в отношении которых могут быть поданы ценовые заявки на участие в отборе проектов модернизации.
В отношении одного генерирующего объекта (генерирующего оборудования) не может быть заявлено более одного проекта модернизации.
Проект модернизации может состоять из различных мероприятий по модернизации из числа мероприятий, указанных в пункте 266 настоящих Правил. В случае если проект модернизации предусматривает вывод генерирующего объекта (совокупности объектов) из эксплуатации, то допускается ввод в эксплуатацию нового генерирующего объекта (совокупности объектов) на электростанции, к которой относится генерирующий объект, выводимый из эксплуатации, или вне указанной электростанции при условии расположения нового генерирующего объекта в том же населенном пункте и в единой системе теплоснабжения с электростанцией, к которой относится генерирующий объект, выводимый из эксплуатации.
Ценовая заявка на участие в отборе проектов модернизации, подаваемая каждым из участников отбора проектов модернизации, должна содержать:
описание каждого генерирующего объекта до реализации проекта модернизации (указание типа генерирующего объекта, названия электростанции, к которой относится генерирующий объект);
описание каждого генерирующего объекта после реализации проекта модернизации (указание типа генерирующего объекта, названия электростанции, к которой относится генерирующий объект);
значение установленной мощности генерирующего объекта (совокупности генерирующих объектов) после реализации проекта модернизации, которое не может отличаться от значения установленной мощности генерирующего объекта (совокупности генерирующих объектов) до реализации проекта модернизации в сторону увеличения более чем на 20 процентов и в сторону уменьшения более чем на 50 процентов;
величина снижения установленной мощности генерирующего объекта (электростанции) в каждом календарном месяце реализации проекта модернизации для целей формирования предварительного графика реализации проектов модернизации;
перечень мероприятий по модернизации из числа мероприятий, указанных в пункте 266 настоящих Правил;
параметры котлоагрегата (паропроизводительность) после реализации проекта модернизации котельного оборудования, параметры паровой (газовой) турбины (установленная электрическая мощность) после реализации проекта модернизации турбинного оборудования и параметры иного оборудования после реализации мероприятий, указанных в подпункте 3 пункта 266 настоящих Правил;
перечень и параметры генерирующих объектов, выводимых из эксплуатации в процессе реализации проекта модернизации и вводимых в эксплуатацию в процессе реализации проекта модернизации, с указанием электростанции, к которой относятся такие объекты;
стоимостные параметры проекта модернизации, указанные в пункте 273 настоящих Правил;
планируемый месяц начала поставки мощности по окончании реализации проекта модернизации в период начала поставки мощности по итогам соответствующего отбора проектов модернизации с указанием согласия на изменение данного параметра при формировании графика реализации проектов модернизации;
количество календарных месяцев, составляющих период реализации мероприятий по модернизации, которое не может составлять менее 6 месяцев и превышать 36 месяцев.
273. В ценовой заявке на участие в отборе проектов модернизации указываются следующие стоимостные параметры:
значение удельных затрат на эксплуатацию генерирующего объекта после реализации проекта модернизации (выраженное в рублях на МВт в месяц в ценах текущего года);
значение капитальных затрат на реализацию проекта модернизации (выраженное в рублях);
коэффициент, характеризующий прогнозную прибыль от продажи электрической энергии по итогам конкурентного отбора ценовых заявок на сутки вперед.
Значение удельных затрат на эксплуатацию генерирующего объекта после реализации проекта модернизации не может превышать цену, определенную для соответствующей ценовой зоны по итогам конкурентного отбора мощности, проведенного в 2017 году, проиндексированную для отборов проектов модернизации, проводимых в 2019 году и в последующих годах, в соответствии с индексом потребительских цен за период с 1 января 2018 г. до 31 декабря года, предшествующего году, в котором проводится такой отбор.
Значение капитальных затрат на реализацию проекта модернизации не может превышать величину предельных максимальных капитальных затрат на реализацию соответствующего проекта модернизации, определенную в соответствии с Правилами определения величин предельных (максимальных и минимальных) капитальных затрат на реализацию проектов модернизации генерирующих объектов тепловых электростанций, утвержденными постановлением Правительства Российской Федерации от 25 января 2019 г. № 43 "О проведении отборов проектов модернизации генерирующих объектов тепловых электростанций", и не может быть менее величины предельных минимальных капитальных затрат, определенной в соответствии с указанными Правилами, для реализации соответствующего проекта модернизации. Значение коэффициента, характеризующего прогнозную прибыль от продажи электрической энергии по итогам конкурентного отбора ценовых заявок на сутки вперед, не может быть менее 0,04 (0,25 для проекта модернизации, предусматривающего перевод генерирующего объекта, работающего с использованием паросилового цикла, в работу с использованием парогазового цикла) и более 0,38.
274. В ходе отбора проектов модернизации в порядке, предусмотренном договором о присоединении к торговой системе оптового рынка, рассматриваются и сопоставляются ценовые заявки на участие в отборе проектов модернизации, соответствующие требованиям настоящих Правил и договора о присоединении к торговой системе оптового рынка.
275. В целях сравнения ценовых заявок на участие в отборе проектов модернизации для каждого проекта модернизации, в отношении которого подана ценовая заявка, с использованием указанных в ней значений стоимостных параметров, рассчитывается показатель эффективности.
Показатель эффективности рассчитывается как сумма среднего значения цен, определенных по итогам конкурентного отбора ценовых заявок на сутки вперед в ценовой зоне оптового рынка, к которой относится планируемое к модернизации генерирующее оборудование, опубликованного системным оператором в соответствии с пунктом 270 настоящих Правил, умноженного на разницу единицы и указанного в ценовой заявке на участие в отборе проектов модернизации коэффициента, характеризующего прогнозную прибыль от продажи электрической энергии по итогам конкурентного отбора ценовых заявок на сутки вперед, и отношения рассчитанной для целей настоящего пункта стоимости мощности к умноженному на среднее количество часов в календарном месяце значению коэффициента использования установленной мощности генерирующего объекта для отбора проектов модернизации.
Стоимость мощности генерирующего объекта для целей настоящего пункта рассчитывается в соответствии с договором о присоединении к торговой системе оптового рынка как сумма значения удельных затрат на эксплуатацию генерирующего объекта и произведения коэффициента, отражающего величину компенсации затрат на уплату поставщиком налога на имущество и налога на прибыль, равного 1,185, и величины плановой компенсации капитальных затрат, рассчитанной в соответствии с пунктом 282 настоящих Правил для порядкового номера месяца, равного 13, исходя из коэффициента индексации, равного единице, и значения нормы доходности, опубликованного в соответствии с пунктом 270 настоящих Правил.
Коэффициент использования установленной мощности генерирующего объекта для отбора проектов модернизации определяется равным фактическому коэффициенту использования установленной мощности генерирующего объекта, рассчитанному организацией коммерческой инфраструктуры в порядке, определенном договором о присоединении к торговой системе оптового рынка, как отношение объема электрической энергии, произведенного с использованием соответствующего генерирующего объекта (генерирующих объектов, в отношении которых подана одна ценовая заявка на участие в отборе проектов модернизации) за период, равный двум календарным годам, предшествующим дате проведения отбора проектов модернизации, к объему установленной мощности данного генерирующего объекта (генерирующих объектов, в отношении которых подана одна ценовая заявка на участие в отборе проектов модернизации), умноженному на количество часов в указанном периоде. Если фактический коэффициент использования установленной мощности генерирующего объекта принимает значение, меньшее 0,6, то коэффициент использования установленной мощности генерирующего объекта для отбора проектов модернизации увеличивается на разность 1/10 и значения фактического коэффициента использования установленной мощности генерирующего объекта, умноженного на 1/6. Для проекта модернизации, предусматривающего перевод генерирующего объекта, работающего с использованием паросилового цикла, в работу с использованием парогазового цикла, коэффициент использования установленной мощности генерирующего объекта для отбора проектов модернизации принимается равным 0,75.
276. В ходе отбора проектов модернизации определяются проекты модернизации и соответствующие генерирующие объекты с наименьшими значениями показателя эффективности, рассчитанными в соответствии с пунктом 275 настоящих Правил, для которых одновременно выполняются следующие условия:
суммарное снижение установленной мощности генерирующих объектов, расположенных на одной территории, определенной в соответствии с пунктом 271 настоящих Правил, в каждом месяце периода реализации проекта модернизации (с учетом возможности изменения месяца начала поставки мощности) не превышает значение максимального совокупного снижения установленной мощности генерирующих объектов, в отношении которых одновременно реализуются проекты модернизации, опубликованное для отбора проектов модернизации в соответствии с подпунктом 3 пункта 270 настоящих Правил;
суммарный объем установленной мощности генерирующих объектов, расположенных на территории одной ценовой зоны оптового рынка, для каждого года периода начала поставки мощности по итогам отбора проектов модернизации не превышает значение максимальной совокупной установленной мощности генерирующих объектов, которые могут быть определены по итогам отбора проектов модернизации, установленное в соответствии с пунктом 265 настоящих Правил, умноженное на коэффициент 0,85 и увеличенное на разницу соответствующего ограничения объема совокупной установленной мощности, которое использовалось при проведении отбора проектов модернизации на предшествующий календарный год, и суммарного объема мощности генерирующих объектов, включенных в отношении предшествующего календарного года и соответствующей ценовой зоны оптового рынка в предварительный график реализации проектов модернизации.
Для проектов модернизации с равными значениями показателя эффективности приоритет при отборе проектов модернизации устанавливается в соответствии с договором о присоединении к торговой системе оптового рынка с учетом отбора в первую очередь проекта модернизации, заявленного в отношении генерирующего объекта, с использованием которого осуществляется выработка тепловой энергии, во вторую очередь - проекта модернизации, заявленного в отношении генерирующего объекта, расположенного на территории с меньшим значением максимального совокупного снижения установленной мощности генерирующих объектов, в отношении которых могут одновременно реализовываться проекты модернизации, в третью очередь - проекта модернизации, в отношении которого ценовая заявка на участие в отборе проектов модернизации была подана раньше.
Перечень определенных в соответствии с настоящим пунктом проектов и генерирующих объектов публикуется системным оператором не позднее 5 рабочих дней после окончания периода подачи ценовых заявок на участие в отборе проектов модернизации.
277. В отношении генерирующих объектов, определенных в соответствии с пунктом 276 настоящих Правил, системный оператор формирует предварительный график реализации проектов модернизации, исходя из указанного в ценовой заявке на участие в отборе проектов модернизации количества календарных месяцев, составляющих период реализации проектов модернизации с учетом возможности изменения даты начала поставки мощности, указанной в ценовой заявке на участие в отборе проектов модернизации, в рамках периода начала поставки мощности по итогам соответствующего отбора проектов модернизации.
При невозможности учета в предварительном графике реализации проектов модернизации всех генерирующих объектов, определенных в соответствии с пунктом 276 настоящих Правил, по причине выявления системным оператором возможности наступления в течение заявленного периода реализации проекта модернизации последствий, предусмотренных Правилами вывода объектов электроэнергетики в ремонт и из эксплуатации, системный оператор в порядке, установленном договором о присоединении к торговой системе оптового рынка, определяет генерирующие объекты, которые не включаются в предварительный график реализации проектов модернизации. Определение таких объектов производится с учетом рассчитанного в соответствии с пунктом 275 настоящих Правил показателя эффективности.
По результатам отбора проектов модернизации системный оператор в течение 1 месяца после окончания периода подачи ценовых заявок на участие в отборе проектов модернизации публикует:
предварительный график реализации проектов модернизации;
перечень генерирующих объектов, включенных в предварительный график реализации проектов модернизации.
В отношении каждого генерирующего объекта указывается:
перечень мероприятий по модернизации;
стоимостные параметры, указанные в ценовой заявке на участие в отборе проектов модернизации, поданной в отношении соответствующего генерирующего объекта;
значение коэффициента использования установленной мощности для отбора проектов модернизации, определяемое для соответствующего генерирующего объекта в соответствии с пунктом 275 настоящих Правил;
значение показателя эффективности, рассчитанное в соответствии с пунктом 275 настоящих Правил;
период реализации проекта модернизации.
Указанная информация направляется в федеральный орган исполнительной власти, осуществляющий функции по выработке и реализации государственной политики и нормативно-правовому регулированию в сфере топливно-энергетического комплекса. Также в указанный федеральный орган направляется перечень генерирующих объектов, в отношении которых были поданы ценовые заявки на участие в отборе проектов модернизации, соответствующие требованиям настоящих Правил и договора о присоединении к торговой системе оптового рынка, но которые не были включены в перечень генерирующих объектов, включенных в предварительный график реализации проектов модернизации.
278. Федеральный орган исполнительной власти, осуществляющий функции по выработке и реализации государственной политики и нормативно-правовому регулированию в сфере топливно-энергетического комплекса, в течение 7 календарных дней после получения от системного оператора указанной в пункте 277 информации направляет ее, а также предложения по дополнению сформированного по итогам отбора проектов модернизации перечня генерирующих объектов, включенных в предварительный график реализации проектов модернизации, иными генерирующими объектами на рассмотрение Правительственной комиссии по вопросам развития электроэнергетики.
Правительственная комиссия по вопросам развития электроэнергетики рассматривает поступившие от федерального органа исполнительной власти, осуществляющего функции по выработке и реализации государственной политики и нормативно-правовому регулированию в сфере топливно-энергетического комплекса, информацию и предложения по дополнению сформированного по итогам отбора проектов модернизации перечня генерирующих объектов, включенных в предварительный график реализации проектов модернизации, иными генерирующими объектами, в том числе указанными в перечне генерирующих объектов, в отношении которых были поданы ценовые заявки на участие в отборе проектов модернизации, соответствующие требованиям настоящих Правил и договора о присоединении к торговой системе оптового рынка, но которые не были включены в перечень генерирующих объектов, включенных в предварительный график реализации проектов модернизации.
Предложения федерального органа исполнительной власти, осуществляющего функции по выработке и реализации государственной политики и нормативно-правовому регулированию в сфере топливно-энергетического комплекса, должны содержать описание генерирующего объекта с представлением всех параметров, которые в соответствии с пунктом 272 настоящих Правил содержатся в ценовой заявке на участие в отборе проектов модернизации, в том числе перечень мероприятий по модернизации из числа мероприятий, указанных в пункте 266 настоящих Правил, содержащий не менее одного мероприятия из мероприятий, указанных в подпункте 1 или 2 этого пункта, значение коэффициента использования установленной мощности для отбора проектов модернизации, определяемое для соответствующего генерирующего объекта в соответствии с пунктом 275 настоящих Правил, и показатель эффективности проекта модернизации, рассчитанный в соответствии с этим пунктом, планируемый месяц начала поставки мощности по окончании реализации проекта модернизации, а также обоснование необходимости реализации проекта модернизации.
Решение Правительственной комиссии по вопросам развития электроэнергетики о дополнении сформированного по итогам отбора проектов модернизации перечня генерирующих объектов, включенных в предварительный график реализации проектов модернизации (далее в настоящем пункте - решение Правительственной комиссии по вопросам развития электроэнергетики), принимается с учетом анализа финансовых последствий такого решения для покупателей - участников оптового рынка.
Предложения о генерирующих объектах, в отношении которых последней утвержденной федеральным органом исполнительной власти, осуществляющим функции по выработке и реализации государственной политики и нормативно-правовому регулированию в сфере топливно-энергетического комплекса, схемой и программой развития ЕЭС России и (или) утвержденной Правительством Российской Федерации генеральной схемой размещения объектов электроэнергетики предусмотрен вывод их из эксплуатации, не рассматриваются. Указанное требование не распространяется на отбор проектов модернизации с началом поставки мощности в период с 1 января 2022 г. по 31 декабря 2024 г.
В перечень, утверждаемый Правительством Российской Федерации на основании результатов отбора проектов модернизации, включаются генерирующие объекты, включенные в предварительный график реализации проектов модернизации, сформированный в соответствии с пунктом 277 настоящих Правил, а также генерирующие объекты, определенные решением Правительственной комиссии по вопросам развития электроэнергетики, с указанием для каждого генерирующего объекта перечня мероприятий по модернизации и периода реализации проекта модернизации, объема установленной мощности после реализации проекта модернизации, стоимостных параметров, значения коэффициента использования установленной мощности для отбора проектов модернизации, определенного в соответствии с пунктом 275 настоящих Правил, и планируемого месяца начала поставки мощности по окончании реализации проекта модернизации. При этом суммарный объем установленной мощности после реализации проектов модернизации для генерирующих объектов, определенных решением Правительственной комиссии по вопросам развития электроэнергетики по каждой ценовой зоне, не может превышать объем мощности, в рамках которого указанной Комиссией принимается решение, более чем на объем мощности, равный половине значения установленной мощности после реализации проекта модернизации генерирующего объекта из числа генерирующих объектов, дополнительно включенных в указанный перечень по решению этой Комиссии. Объем мощности, в рамках которого Правительственной комиссией по вопросам развития электроэнергетики принимается решение, устанавливается для каждой ценовой зоны оптового рынка равным объему, соответствующему 15 процентам значения максимальной совокупной установленной мощности генерирующих объектов, которые могут быть определены по итогам отбора проектов модернизации, установленного в соответствии с пунктом 265 настоящих Правил (для отбора проектов модернизации с началом поставки мощности в период с 1 января 2022 г. по 31 декабря 2024 г. указанный объем устанавливается равным объему, соответствующему 15 процентам объема мощности, равного сумме объемов, установленных для 2022 - 2024 годов), уменьшенному на объем превышения указанного ограничения при проведении предшествующего отбора проектов модернизации.
279. В отношении генерирующих объектов, включенных в перечень, утвержденный Правительством Российской Федерации на основании результатов отбора проектов модернизации, в порядке, установленном договором о присоединении к торговой системе оптового рынка, заключаются договоры купли-продажи (поставки) мощности, указанные в подпункте 15 пункта 4 настоящих Правил, в которых устанавливаются обязательства сторон по поставке и оплате мощности.
280. Объем мощности, составляющий обязательства поставщика по поставке мощности по договорам, указанным в подпункте 15 пункта 4 настоящих Правил, устанавливается равным объему установленной мощности после реализации проекта модернизации, указанному для соответствующего генерирующего объекта в перечне, утвержденном Правительством Российской Федерации на основании результатов отбора проектов модернизации.
В случае если предельный объем поставки мощности генерирующего объекта меньше объема, равного 90 процентам объема мощности, составляющего обязательства поставщика по поставке мощности по договорам, указанным в подпункте 15 пункта 4 настоящих Правил, поставщик в порядке, предусмотренном договором о присоединении к торговой системе оптового рынка, уплачивает покупателям мощности по соответствующим договорам штраф в размере 25 процентов стоимости объема мощности, составляющего разницу между объемом, равным 90 процентам объема, составляющего обязательства поставщика по поставке мощности на оптовый рынок по указанным договорам, и предельным объемом поставки мощности, определенной по цене мощности, рассчитанной в соответствии с пунктом 282 настоящих Правил, с учетом особенностей, установленных договором о присоединении к торговой системе оптового рынка.
281. Период поставки мощности по договорам, указанным в подпункте 15 пункта 4 настоящих Правил, начинается с 1-го числа месяца начала поставки мощности, указанного в перечне, утвержденном Правительством Российской Федерации на основании результатов отбора проектов модернизации. Начало периода поставки мощности изменяется:
при наличии решения системного оператора о переносе периода реализации проекта модернизации на более позднюю дату в связи с выявлением возможности наступления последствий, предусмотренных Правилами вывода объектов электроэнергетики в ремонт и из эксплуатации;
по инициативе поставщика об изменении начала периода поставки мощности на более раннюю дату в связи с уменьшением длительности периода реализации проекта модернизации с учетом условия о длительности периода реализации проекта модернизации не менее 6 месяцев;
по инициативе поставщика об изменении начала периода поставки мощности на более позднюю дату в случае, если проект модернизации предусматривает установку образцов инновационного энергетического оборудования.
Длительность периода поставки мощности по договорам, указанным в подпункте 15 пункта 4 настоящих Правил, составляет 192 месяца с учетом особенностей, указанных в настоящем пункте.
Длительность периода поставки мощности по указанным договорам может быть уменьшена по заявлению поставщика, направленному в организацию коммерческой инфраструктуры в порядке, установленном договором о присоединении к торговой системе оптового рынка, не ранее начала периода реализации проекта модернизации.
В случае если указанное в таком заявлении окончание периода поставки мощности по таким договорам наступает ранее окончания календарного года, в отношении которого мощность соответствующего генерирующего объекта на дату направления заявления была учтена при проведении конкурентного отбора мощности как подлежащая оплате вне зависимости от результатов этого конкурентного отбора мощности, поставщик уплачивает покупателям мощности по соответствующим договорам денежную сумму в размере, равном 25 процентам произведения объема мощности, составляющего обязательства по поставке мощности на оптовый рынок по указанным договорам, цены на мощность, рассчитанной в соответствии с абзацем третьим пункта 282 настоящих Правил с учетом особенностей, установленных договором о присоединении к торговой системе оптового рынка, и количества месяцев начиная с месяца прекращения договоров до начала года, в отношении которого мощность соответствующего генерирующего объекта не была учтена при проведении конкурентного отбора мощности как подлежащая оплате вне зависимости от результатов этого конкурентного отбора мощности (но не более 48 месяцев).
Объем мощности, составляющий обязательства поставщика по поставке мощности по договорам, указанным в подпункте 15 пункта 4 настоящих Правил, может быть уменьшен по инициативе поставщика не ранее начала периода реализации проекта модернизации. При этом объем мощности, составляющий обязательства поставщика по поставке мощности по указанным договорам, может быть уменьшен не ранее чем с 1-го календарного года, в отношении которого на дату направления соответствующего заявления поставщика не был проведен конкурентный отбор мощности.
282. Цена на мощность, продаваемую по договорам, указанным в подпункте 15 пункта 4 настоящих Правил, определяется организацией коммерческой инфраструктуры с учетом особенностей, установленных договором о присоединении к торговой системе, с использованием стоимостных параметров, указанных в отношении соответствующего генерирующего объекта в перечне, утвержденном Правительством Российской Федерации на основании результатов отбора проектов модернизации.
До истечения 12 месяцев с даты начала периода поставки мощности по договорам, указанным в подпункте 15 пункта 4 настоящих Правил, цена на мощность, продаваемую по указанным договорам, определяется равной значению удельных затрат на эксплуатацию генерирующего объекта, указанному в перечне, утвержденном Правительством Российской Федерации на основании результатов отбора проектов модернизации, проиндексированному за период с 1 января года, в котором проводился отбор проектов модернизации, до 1 января текущего года в соответствии с изменением индекса потребительских цен, определяемого и публикуемого федеральным органом исполнительной власти, осуществляющим функции по формированию официальной статистической информации.
В последующие месяцы периода поставки мощности цена на мощность, продаваемую по договорам, указанным в подпункте 15 пункта 4 настоящих Правил (ЦNmмощность), рассчитывается по итогам каждого месяца по формуле:
,
где:
Nm - порядковый номер месяца m (Nm=13 - для 13-го месяца периода поставки мощности по договорам, указанным в подпункте 15 пункта 4 настоящих Правил);
ОрЕх - значение удельных затрат на эксплуатацию генерирующего объекта, указанное в перечне, утвержденном Правительством Российской Федерации на основании результатов отбора проектов модернизации, проиндексированное за период с 1 января года, в котором проводился отбор проектов модернизации, до 1 января текущего года в соответствии с изменением индекса потребительских цен, определяемого и публикуемого федеральным органом исполнительной власти, осуществляющим функции по формированию официальной статистической информации;
ЦNmCapEx - величина плановой компенсации капитальных затрат для месяца m, определяемая в соответствии с настоящим пунктом, с учетом особенностей, установленных в соответствии с пунктом 285 настоящих Правил для генерирующих объектов, для которых в соответствии с пунктом 284 настоящих Правил не подтверждена реализация в полном объеме проекта модернизации или не подтверждено выполнение требований, установленных в соответствии с абзацем вторым пункта 265 настоящих Правил;
kPCB - коэффициент, характеризующий прогнозную прибыль от продажи электрической энергии по итогам конкурентного отбора ценовых заявок на сутки вперед, указанный в перечне, утвержденном Правительством Российской Федерации на основании результатов отбора проектов модернизации;
ЦNmPCB - среднее арифметическое из значений цены на электрическую энергию, определенных по результатам конкурентного отбора ценовых заявок на сутки вперед, в каждый час предшествующего месяца в группе точек поставки, к которой относится генерирующий объект;
КИУМ - значение коэффициента использования установленной мощности генерирующего объекта, указанное в перечне, утвержденном Правительством Российской Федерации на основании результатов отбора проектов модернизации. Для генерирующего объекта, оснащенного образцами инновационного энергетического оборудования, в течение первых 36 месяцев периода поставки мощности по договору, указанному в подпункте 15 пункта 4 настоящих Правил, значение коэффициента использования установленной мощности принимается равным рассчитанному организацией коммерческой инфраструктуры в порядке, определенном договором о присоединении к торговой системе оптового рынка, отношению объема электрической энергии, произведенного с использованием соответствующего генерирующего объекта за календарный месяц, к объему установленной мощности данного генерирующего объекта, умноженному на количество часов в месяце;
Ч - количество часов в месяце m;
НПNm - расчетная величина компенсации затрат на уплату поставщиком налога на прибыль организаций, определяемая в соответствии с настоящим пунктом;
НИNm - расчетная величина компенсации затрат на уплату поставщиком налога на имущество организаций, определяемая в соответствии с настоящим пунктом.
Величина плановой компенсации капитальных затрат для месяца m (ЦNmCapEx) рассчитывается по формуле:
,
где:
RNm - не возмещенная по состоянию на начало месяца m часть капитальных затрат;
НДNm - норма доходности (выражаемая в процентах годовых) в отношении месяца m, равная норме доходности, рассчитанной в соответствии с пунктом 283 настоящих Правил в отношении календарного года, предшествующего году, к которому относится месяц m;
Ксн - коэффициент, отражающий потребление на собственные и хозяйственные нужды генерирующего объекта, принимающий следующие значения:
для генерирующих объектов, выработка электрической энергии на которых осуществляется с использованием природного газа, - 1,033;
для генерирующих объектов, выработка электрической энергии на которых осуществляется с использованием угля, - 1,069.
Не возмещенная по состоянию на начало тринадцатого (Nm = 13) месяца периода поставки мощности по договорам, указанным в подпункте 15 пункта 4 настоящих Правил, часть капитальных затрат (R13) принимается равной умноженному на коэффициент приведения (Kприв) и коэффициент индексации (Kинд) отношению указанных в перечне, утвержденном Правительством Российской Федерации на основании результатов отбора проектов модернизации, параметров в отношении генерирующего объекта - значения капитальных затрат на реализацию проекта модернизации и значения установленной мощности генерирующего объекта после реализации проекта модернизации.
Коэффициент приведения (Kприв) рассчитывается по формуле:
,
где:
N - количество календарных месяцев, равное:
36, - для проектов модернизации генерирующих объектов, выработка электрической энергии которых осуществляется с использованием угля, а также для проектов модернизации, предусматривающих перевод генерирующего объекта, работающего с использованием паросилового цикла, в работу с использованием парогазового цикла;
24, - для иных проектов модернизации;
НД-N - среднее арифметическое значение норм доходности, определенных в отношении N календарных месяцев до начала периода поставки мощности по договорам, указанным в подпункте 15 пункта 4 настоящих Правил. Норма доходности в отношении календарного месяца равна норме доходности, определяемой в соответствии с пунктом 283 настоящих Правил в отношении календарного года, к которому относится указанный календарный месяц;
НД-1 - норма доходности, определяемая в соответствии с пунктом 283 настоящих Правил в отношении календарного года, предшествующего году, к которому относится 13-й (Nm = 13) месяц периода поставки мощности по договорам, указанным в подпункте 15 пункта 4 настоящих Правил.
Коэффициент индексации (Kинд) определяется в порядке, предусмотренном договором о присоединении к торговой системе оптового рынка в соответствии с изменением индекса потребительских цен, определяемого и публикуемого федеральным органом исполнительной власти, осуществляющим функции по формированию официальной статистической информации, за период с 1 января года, в котором проводился отбор проектов модернизации (для отборов на 2022 - 2024 годы - с 1 января 2018 г.), до начала 12-го месяца до начала периода поставки мощности по договорам, указанным в подпункте 15 пункта 4 настоящих Правил (до начала 18-го месяца до начала периода поставки мощности по договорам, указанным в подпункте 15 пункта 4 настоящих Правил, для проектов модернизации генерирующих объектов, выработка электрической энергии которых осуществляется с использованием угля, а также для проектов модернизации, предусматривающих перевод генерирующего объекта, работающего с использованием паросилового цикла, в работу с использованием парогазового цикла).
Для генерирующего объекта, оснащенного образцами инновационного энергетического оборудования, период, используемый при расчете коэффициента индексации, дополняется периодом, который начинается с планируемого месяца начала поставки мощности по окончании реализации проекта модернизации, указанного в перечне, утвержденном Правительством Российской Федерации на основании результатов отбора проектов модернизации, и заканчивается месяцем, наиболее ранним из месяца, предшествующего месяцу, на который поставщиком в соответствии с абзацем четвертым пункта 281 настоящих Правил было изменено начало периода поставки мощности, и 36-го месяца с начала этого периода.
Не возмещенная по состоянию на начало месяца m периода поставки мощности, наступающего позднее 13-го месяца (Nm > 13) периода поставки мощности по договорам, указанным в подпункте 15 пункта 4 настоящих Правил, часть капитальных затрат (RNm) рассчитывается по формуле:
где:
RNm-1 - не возмещенная по состоянию на начало месяца, предшествующего месяцу m, часть капитальных затрат;
НДNm-1 - норма доходности, рассчитанная в соответствии с пунктом 283 настоящих Правил в отношении календарного года, предшествующего году, к которому относится месяц, предшествующий месяцу m.
Расчетная величина компенсации затрат на уплату поставщиком налога на прибыль организаций (НПNm) рассчитывается по формуле:
где:
ставкаНПNm - налоговая ставка налога на прибыль организаций, равная величине, указанной в абзаце первом пункта 1 статьи 285 Налогового кодекса Российской Федерации (в редакции, действующей по состоянию на 1 января года, к которому относится месяц m);
te - нормативный срок (в годах) эксплуатации генерирующего объекта, равный 20 годам.
Расчетная величина компенсации затрат на уплату поставщиком налога на имущество организаций (НИNm) рассчитывается по формуле:
,
где ставкаНИNm - налоговая ставка налога на имущество организаций, равная величине, указанной в пункте 1 статьи 380 Налогового кодекса Российской Федерации (в редакции, действующей по состоянию на 1 января года, к которому относится месяц m).
283. Норма доходности (НДi) ежегодно рассчитывается коммерческим оператором оптового рынка с учетом особенностей, предусмотренных договором о присоединении к торговой системе оптового рынка, по результатам календарного года i по формуле:
,
где:
НД б - базовый уровень нормы доходности инвестированного капитала в размере 14 процентов;
ДГО i - средняя доходность долгосрочных государственных обязательств, определяемая по результатам года i коммерческим оператором оптового рынка в порядке, установленном федеральным органом исполнительной власти, осуществляющим функции по выработке государственной политики и нормативно-правовому регулированию в сфере анализа и социально-экономического развития, с учетом особенностей, предусмотренных договором о присоединении к торговой системе оптового рынка;
ДГОб - базовый уровень доходности долгосрочных государственных обязательств в размере 8,5 процента.
284. Подтверждение реализации проекта модернизации, а также выполнения требований по локализации, установленных на дату начала периода подачи ценовых заявок на участие в отборе проектов модернизации, на основании которого генерирующий объект был включен в перечень, утвержденный Правительством Российской Федерации на основании результатов отбора проектов модернизации, осуществляется в отношении всех генерирующих объектов, включенных в указанный перечень, в порядке, предусмотренном настоящими Правилами и договором о присоединении к торговой системе оптового рынка, на основании представленных участником оптового рынка документов, подтверждающих соответствующие факты.
Подтверждение выполнения установленных в соответствии с настоящими Правилами требований по локализации осуществляется в соответствии с договором о присоединении к торговой системе оптового рынка для каждого из мероприятий по модернизации, указанных в отношении соответствующего генерирующего объекта в перечне, утвержденном Правительством Российской Федерации на основании результатов отбора проектов модернизации, на основании документа, выданного федеральным органом исполнительной власти, осуществляющим функции по выработке государственной политики и нормативно-правовому регулированию в сфере промышленного и оборонно-промышленного комплексов, или его подведомственной организацией, содержащего результаты проверки наличия заключений о подтверждении производства промышленной продукции на территории Российской Федерации для всего оборудования, указанного в отношении соответствующего мероприятия на дату начала периода подачи ценовых заявок на участие в соответствующем отборе проектов модернизации в утвержденном этим федеральным органом исполнительной власти перечне оборудования, эксплуатируемого по итогам реализации проектов модернизации, в отношении которого необходимо получить заключение о подтверждении производства промышленной продукции на территории Российской Федерации.
Функции по проверке наличия подтверждения выполнения установленных в соответствии с настоящими Правилами требований по локализации могут быть возложены решением федерального органа исполнительной власти, осуществляющего функции по выработке государственной политики и нормативно-правовому регулированию в сфере промышленного и оборонно-промышленного комплексов, на подведомственную указанному органу организацию. Финансовое обеспечение выполнения указанных функций такой подведомственной организацией осуществляет федеральный орган исполнительный власти, осуществляющий функции и полномочия учредителя такой организации. В случае если подведомственная организация является федеральным государственным учреждением, финансовое обеспечение осуществляется в форме государственного задания.
Подтверждение реализации проекта модернизации осуществляется по каждому из мероприятий по модернизации, указанных в отношении соответствующего генерирующего объекта в перечне, утвержденном Правительством Российской Федерации на основании результатов отбора проектов модернизации. Проект модернизации считается реализованным в полном объеме, если подтверждена реализация всех мероприятий по модернизации, указанных в отношении соответствующего генерирующего объекта в перечне, утвержденном Правительством Российской Федерации на основании результатов отбора проектов модернизации.
Если по итогам реализации проекта модернизации генерирующего объекта, предусматривающего вывод из эксплуатации турбоагрегата, не представлен акт о выводе соответствующего объекта диспетчеризации из эксплуатации, оформленный в порядке, установленном Правилами вывода объектов электроэнергетики в ремонт и из эксплуатации, реализация проекта модернизации не подтверждается по всем мероприятиям, указанным в отношении соответствующего генерирующего объекта в перечне, утвержденном Правительством Российской Федерации на основании результатов отбора проектов модернизации.
285. В случае отсутствия подтверждения выполнения требований по локализации соответствующее мероприятие по модернизации считается невыполненным.
При одновременном отсутствии подтверждений выполнения мероприятий по модернизации, указанных в подпунктах 1 и 2 пункта 266 настоящих Правил, при расчете цены на мощность, продаваемую по договорам, указанным в подпункте 15 пункта 4 настоящих Правил, величина плановой компенсации капитальных затрат для месяца m принимается равной нулю, а значение удельных затрат на эксплуатацию генерирующего объекта принимается равным соответствующему значению, определенному в порядке, установленном пунктом 282 настоящих Правил, умноженному на коэффициент 0,5.
В случае отсутствия подтверждения выполнения одного или более мероприятий по модернизации, указанных в отношении соответствующего генерирующего объекта в перечне, утвержденном Правительством Российской Федерации на основании результатов отбора проектов модернизации, при одновременном наличии подтверждения выполнения мероприятия, указанного в подпункте 1 или 2 пункта 266 настоящих Правил, при расчете цены на мощность, продаваемую по договорам, указанным в подпункте 15 пункта 4 настоящих Правил, величина, характеризующая компенсацию капитальных затрат для месяца m, умножается на коэффициент, равный отношению следующих величин:
величина, равная превышению значения капитальных затрат на реализацию проекта модернизации, указанного в отношении соответствующего генерирующего объекта в перечне, утвержденном Правительством Российской Федерации на основании результатов отбора проектов модернизации, над величиной предельных максимальных капитальных затрат на реализацию проекта модернизации, рассчитанных в соответствии с Правилами определения величин предельных (максимальных и минимальных) капитальных затрат на реализацию проектов модернизации генерирующих объектов тепловых электростанций, утвержденными постановлением Правительства Российской Федерации от 25 января 2019 г. № 43 "О проведении отборов проектов модернизации генерирующих объектов тепловых электростанций", для проекта, состоящего только из мероприятий, в отношении которых не подтверждено выполнение;
значение капитальных затрат на реализацию проекта модернизации, указанного в перечне, утвержденном Правительством Российской Федерации на основании результатов отбора проектов модернизации.".
4. Пункт 45 Основ ценообразования в области регулируемых цен (тарифов) в электроэнергетике, утвержденных постановлением Правительства Российской Федерации от 29 декабря 2011 г. № 1178 "О ценообразовании в области регулируемых цен (тарифов) в электроэнергетике" (Собрание законодательства Российской Федерации, 2012, № 4, ст. 504; 2013, № 26, ст. 3337; № 31, ст. 4234; № 35, ст. 4528; 2014, № 23, ст. 2994; № 34, ст. 4677; № 35, ст. 4769; № 50, ст. 7094; 2015, № 2, ст. 477; № 9, ст. 1324; № 36, ст. 5034; 2016, № 49, ст. 6928; 2017, № 1, ст. 178; 2018, № 10, ст. 1487), после абзаца девятого дополнить абзацем следующего содержания:
"В отношении генерирующих объектов, мощность которых поставляется по договорам, указанным в подпункте 15 пункта 4 Правил оптового рынка электрической энергии и мощности, утвержденным постановлением Правительства Российской Федерации от 27 декабря 2010 г. № 1172 "Об утверждении Правил оптового рынка электрической энергии и мощности и о внесении изменений в некоторые акты Правительства Российской Федерации по вопросам организации функционирования оптового рынка электрической энергии и мощности", регулируемая цена (тариф) на мощность, поставляемую по регулируемым договорам, устанавливается на соответствующий период регулирования не ниже рассчитанного на основании информации, полученной от совета рынка, значения прогнозной цены на мощность, поставляемую по договорам, указанным в подпункте 15 пункта 4 Правил оптового рынка электрической энергии и мощности.".
5. В Основах ценообразования в сфере теплоснабжения, утвержденных постановлением Правительства Российской Федерации от 22 октября 2012 г. № 1075 "О ценообразовании в сфере теплоснабжения" (Собрание законодательства Российской Федерации, 2012, № 44, ст. 6022; 2017, № 6, ст. 925):
а) пункт 43 дополнить абзацем следующего содержания:
"Для генерирующих объектов, включенных в перечень генерирующих объектов, мощность которых поставляется по договорам купли-продажи (поставки) мощности модернизированных генерирующих объектов, утвержденный Правительством Российской Федерации на основании результатов отбора проектов модернизации генерирующих объектов тепловых электростанций, расходы на амортизацию основных средств и нематериальных активов, соответствующих мероприятиям по модернизации, указанным в этом перечне, не включаются в состав необходимой валовой выручки регулируемой организации в периоды регулирования, в которые продажа мощности соответствующих генерирующих объектов производится по результатам указанного отбора.";
б) пункт 74 дополнить абзацем следующего содержания:
"При определении размера расходов на погашение и обслуживание заемных средств, привлекаемых на реализацию мероприятий инвестиционной программы, не учитываются расходы, направленные на реализацию мероприятий по модернизации генерирующих объектов тепловых электростанций, включенных в перечень генерирующих объектов, мощность которых поставляется по договорам купли-продажи (поставки) мощности модернизированных генерирующих объектов, утвержденный Правительством Российской Федерации на основании результатов отбора проектов модернизации генерирующих объектов тепловых электростанций.".
____________

Подписаться на обновления