Постановление Правительства Российской Федерации от 24.10.2018 № 1269 "О предоставлении в 2018 году субсидий из федерального бюджета российским организациям сельскохозяйственного машиностроения на возмещение части затрат, понесенных в связи с гарантией обратного выкупа продукции"
ПРАВИТЕЛЬСТВО РОССИЙСКОЙ ФЕДЕРАЦИИ
ПОСТАНОВЛЕНИЕ
от 24 октября 2018 г. № 1269
МОСКВА
О предоставлении субсидий из федерального бюджета производителям специализированной техники и оборудования на возмещение части затрат, понесенных в связи с гарантией обратного выкупа продукции
(В редакции постановлений Правительства Российской Федерации от 27.03.2021 № 457, от 14.03.2022 № 356, от 04.04.2022 № 581, от 26.04.2022 № 758, от 04.07.2022 № 1204, от 22.09.2022 № 1676)
Правительство Российской Федерации постановляет:
1. Утвердить прилагаемые:
Правила предоставления субсидий из федерального бюджета производителям специализированной техники и оборудования на возмещение части затрат, понесенных в связи с гарантией обратного выкупа продукции; (В редакции Постановления Правительства Российской Федерации от 27.03.2021 № 457)
Положение об осуществлении акционерным обществом "Российский экспортный центр" функций агента Правительства Российской Федерации по вопросу предоставления субсидий из федерального бюджета производителям специализированной техники и оборудования на возмещение части затрат, понесенных в связи с гарантией обратного выкупа продукции. (В редакции Постановления Правительства Российской Федерации от 27.03.2021 № 457)
2. Согласиться с предложением Министерства промышленности и торговли Российской Федерации и акционерного общества "Российский экспортный центр" об осуществлении указанным акционерным обществом функций агента Правительства Российской Федерации по вопросу предоставления субсидий из федерального бюджета производителям специализированной техники и оборудования на возмещение части затрат, понесенных в связи с гарантией обратного выкупа продукции, с выплатой вознаграждения за выполнение указанных функций в порядке, установленном законодательством Российской Федерации, и в пределах бюджетных ассигнований, предусмотренных в федеральном бюджете на соответствующий финансовый год на выполнение функций агента Правительства Российской Федерации. (В редакции Постановления Правительства Российской Федерации от 27.03.2021 № 457)
3. Министерству промышленности и торговли Российской Федерации и Министерству экономического развития Российской Федерации заключить от имени Правительства Российской Федерации с акционерным обществом "Российский экспортный центр" договор о выполнении функций агента Правительства Российской Федерации по вопросу предоставления субсидий из федерального бюджета российским производителям специализированной техники и оборудования на возмещение части затрат, понесенных в связи с гарантией обратного выкупа продукции. (В редакции Постановления Правительства Российской Федерации от 27.03.2021 № 457)
Председатель Правительства
Российской Федерации Д.Медведев
УТВЕРЖДЕНЫ
постановлением Правительства
Российской Федерации
от 24 октября 2018 г. № 1269
(в редакции постановления
Правительства Российской Федерации
от 27 марта 2021 г. № 457)
ПРАВИЛА
предоставления субсидий из федерального бюджета производителям специализированной техники и оборудования на возмещение части затрат, понесенных в связи с гарантией обратного выкупа продукции
(В редакции постановлений Правительства Российской Федерации от 14.03.2022 № 356, от 04.04.2022 № 581, от 26.04.2022 № 758, от 04.07.2022 № 1204, от 22.09.2022 № 1676)
1. Настоящие Правила устанавливают цели, условия и порядок предоставления субсидий из федерального бюджета производителям специализированной техники и оборудования на возмещение части затрат, понесенных в связи с гарантией обратного выкупа продукции (далее - субсидия).
Субсидия предоставляется в рамках реализации федерального проекта "Промышленный экспорт" национального проекта "Международная кооперация и экспорт" в целях увеличения объемов реализации продукции производителей специализированной техники и оборудования за счет компенсации указанным производителям части затрат, связанных с предоставлением гарантии обратного выкупа продукции.
2. Понятия, используемые в настоящих Правилах, означают следующее:
"агентский договор" - заключенный Министерством промышленности и торговли Российской Федерации и Министерством экономического развития Российской Федерации от имени Правительства Российской Федерации и акционерным обществом "Российский экспортный центр" (далее - Центр) договор о выполнении функций агента Правительства Российской Федерации по вопросу предоставления субсидий;
"гарантия обратного выкупа продукции" - принятие дилером обязательства осуществить обратный выкуп у третьего лица продукции, ранее реализованной этому третьему лицу;
"дата поставки продукции" - день подписания производителем и дилером акта приема-передачи или акта технической приемки продукции;
"дилер" - юридическое лицо, приобретающее у производителя продукцию в целях ее последующей реализации третьим лицам;
"договор о реализации" - договор о реализации продукции (дополнительное соглашение, приложение и (или) спецификация к нему), заключенный производителем с дилером, предусматривающий обязательство дилера включить в договор купли-продажи продукции, заключаемый с третьим лицом, условие гарантии обратного выкупа продукции в соответствии с настоящими Правилами. Требования к договору о реализации устанавливаются в агентском договоре и в соглашении о предоставлении субсидии, заключенном между производителем, Центром и Министерством промышленности и торговли Российской Федерации в соответствии с типовой формой, установленной Министерством финансов Российской Федерации (далее - соглашение);
"затраты, понесенные в связи с гарантией обратного выкупа продукции" - затраты производителя на производство и реализацию продукции, реализованной дилеру на условиях, установленных настоящими Правилами;
"отбор" - отбор производителей, проводимый способом запроса предложений на основании направленных производителями заявок на участие в отборе (далее - заявка), исходя из соответствия производителей критериям отбора, установленным настоящими Правилами;
"обратный выкуп" - приобретение дилером у третьего лица продукции, ранее реализованной этому третьему лицу;
"продукция" - специализированная техника и оборудование, соответствующие требованиям, установленным пунктом 5 настоящих Правил;
"проект реестра получателей субсидий" - перечень производителей, прошедших отбор в соответствии с настоящими Правилами, с которыми в соответствующем финансовом году могут быть заключены соглашения, по форме согласно приложению № 1;
"производитель" - юридическое (физическое) лицо, осуществляющее производство продукции;
"реестр получателей субсидий" - перечень производителей, прошедших отбор в соответствии с настоящими Правилами, с которыми в соответствующем финансовом году заключены соглашения, предусмотренный приложением № 1 к настоящим Правилам;
"скидка" - льгота в виде скидки, предоставляемой производителем дилеру в соответствии с договором о реализации;
"третье лицо" - юридическое (физическое) лицо, приобретающее продукцию у дилера.
3. Показателем, необходимым для достижения результата предоставления субсидии, является отношение стоимостного объема продукции, реализованной производителем дилерам в соответствующем финансовом году (без учета налога на добавленную стоимость и транспортных расходов), к объему субсидии, предоставляемой производителю в соответствующем финансовом году.
Результатом предоставления субсидии является стоимостный объем продукции, реализованной производителем дилерам за счет компенсации производителю части затрат, связанных с предоставлением гарантии обратного выкупа, в соответствующем финансовом году (без учета налога на добавленную стоимость и транспортных расходов).
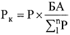
4. Размер субсидии, предоставляемой производителю в соответствующем финансовом году в отношении единицы продукции, не может превышать размер скидки, предоставленной производителем дилеру в отношении такой единицы продукции по договору о ее реализации, и величину Р, определяемую по формуле: (В редакции Постановления Правительства Российской Федерации от 14.03.2022 № 356)
,
где Сi - стоимость единицы продукции по договору о реализации за вычетом скидки, без учета транспортных расходов и без учета налога на добавленную стоимость (рублей).
Размер субсидии на единицу продукции не может превышать 5 млн. рублей.
Размер субсидии, предоставляемый одному производителю (группе производителей, являющихся взаимозависимыми лицами, признанными таковыми в соответствии с пунктом 1 статьи 1051 Налогового кодекса Российской Федерации) в соответствующем году, не может превышать 80 процентов лимитов бюджетных обязательств, доведенных в установленном порядке до Министерства промышленности и торговли Российской Федерации как получателя средств федерального бюджета на цели, указанные в пункте 1 настоящих Правил.
Размер субсидии при реализации продукции в иностранной валюте определяется в рублях исходя из курса рубля к соответствующей иностранной валюте, установленного Центральным банком Российской Федерации на дату поставки продукции.
5. Право на участие в отборе и получение субсидии имеет производитель, продукция которого классифицируется в соответствии с кодами единой Товарной номенклатуры внешнеэкономической деятельности Евразийского экономического союза (ТН ВЭД ЕАЭС) 7309 00, 7310 10 000 0, 7611 00 000 0, 8413 50, 8413 70, 8413 81, 8413 82, 8414 10, 8414 70 000 0, 8417 20, 8417 80, 8418 10 900 0, 8418 50, 8418 61, 8418 69, из 8419 33 000 9 (для сельскохозяйственной продукции), 8419 34 000 0, 8419 50, 8419 81, 8421 11, 8421 21, 8421 22, 8421 29, 8421 32 000 0,8421 39, 8422 19, 8423 20, 8423 30, 8423 81, 8423 82, 8423 89, 8424 49, 8424 82, 8426 19, 8426 41, 8426 49, 8426 91, 8426 99, 8428 20, 8428 3, 8428 32, 8428 33, 8428 39, 8428 60, 8428 70 000, 8428 90, 8429 11, 8429 19, 8429 20, 8429 30, 8429 40, 8429 51, 8429 52, 8429 59, 8430 10, 8430 20, 8430 50, 8430 61, 8430 69, 8432 (кроме 8432 90), 8433 (кроме 8433 11 и 84 33 19), 8434 10, 8434 20, 8435 10, 8436 10, 8436 21, 8436 29, 8436 80, 8437 10, 8437 80, 8438 10, 8438 20, 8438 30, 8438 40, 8438 50, 8438 60, 8438 80, 8474 10, 8474 20, 8474 31, 8474 32, 8474 39, 8476 21, 8476 29, 8476 81, 8476 89, 8479 10, 8479 20, 8479 20 000 0, 8480 10, 8480 20, 8480 30, 8480 41, 8480 49, 8480 50, 8480 60, 8480 71, 8480 79, 8514 10, 8514 11 000 0, 8514 19, 8514 20, 8514 40, 8701 30, 8701 91, 8701 92, 8701 93, 8701 94, 8701 95 100 9, 8703 10, 8703 21 109 1, 8703 22 109 9, 8704 10, 8705 10, 8705 20, 8705 30, 8705 40, 8705 90, 8706 00, 8716 20, 8716 31, 8716 39, 8716 40, 8716 80, на которую Министерством промышленности и торговли Российской Федерации выдано заключение о подтверждении производства промышленной продукции на территории Российской Федерации в соответствии с постановлением Правительства Российской Федерации от 17 июля 2015 г. № 719 "О подтверждении производства промышленной продукции на территории Российской Федерации" (далее - заключение о подтверждении производства промышленной продукции). (В редакции постановлений Правительства Российской Федерации от 14.03.2022 № 356, от 26.04.2022 № 758)
6. Производитель по состоянию на дату не ранее чем за 30 календарных дней до дня подачи заявки должен соответствовать следующим требованиям:
а) у производителя отсутствует неисполненная обязанность по уплате налогов, сборов, страховых взносов, пеней, штрафов, процентов, подлежащих уплате в соответствии с законодательством Российской Федерации о налогах и сборах;
б) у производителя отсутствуют просроченная задолженность по возврату в федеральный бюджет субсидий, бюджетных инвестиций, предоставленных в том числе в соответствии с иными правовыми актами, и иная просроченная (неурегулированная) задолженность по денежным обязательствам перед Российской Федерацией;
в) производитель - юридическое лицо не находится в процессе реорганизации (за исключением реорганизации в форме присоединения к производителю, являющемуся участником отбора, другого юридического лица), ликвидации, в отношении его не введена процедура банкротства, деятельность производителя - юридического лица не приостановлена в порядке, предусмотренном законодательством Российской Федерации, а производитель - индивидуальный предприниматель не прекратил деятельности в качестве индивидуального предпринимателя;
г) производитель не является иностранным юридическим лицом, а также российским юридическим лицом, в уставном (складочном) капитале которого доля участия иностранных юридических лиц, местом регистрации которых является государство или территория, включенные в утвержденный Министерством финансов Российской Федерации перечень государств и территорий, предоставляющих льготный налоговый режим налогообложения и (или) не предусматривающих раскрытия и предоставления информации при проведении финансовых операций (офшорные зоны), в совокупности превышает 50 процентов;
д) производитель не получает на основании иных нормативных правовых актов Российской Федерации средства из федерального бюджета на цели, указанные в пункте 1 настоящих Правил;
е) в реестре дисквалифицированных лиц отсутствуют сведения о дисквалифицированных руководителе, членах коллегиального исполнительного органа, лице, исполняющем функции единоличного исполнительного органа, или главном бухгалтере (при наличии) производителя - юридического лица, а также о производителе - индивидуальном предпринимателе;
ж) производитель не находится в перечне организаций и физических лиц, в отношении которых имеются сведения об их причастности к экстремистской деятельности или терроризму, либо в перечне организаций и физических лиц, в отношении которых имеются сведения об их причастности к распространению оружия массового уничтожения. (Дополнение подпунктом - Постановление Правительства Российской Федерации от 04.07.2022 № 1204)
7. (Пункт утратил силу - Постановление Правительства Российской Федерации от 04.07.2022 № 1204)
71. Субсидия предоставляется на основании соглашения, которое заключается с соблюдением требований о защите государственной тайны в форме электронного документа с использованием государственной интегрированной информационной системы управления общественными финансами "Электронный бюджет" (далее - система "Электронный бюджет") и подписывается усиленной квалифицированной электронной подписью лиц, имеющих право действовать от имени каждой из сторон.
В соглашении предусматриваются в том числе:
а) требования, предъявляемые к дилерам;
б) размер субсидии;
в) согласие производителя на осуществление Министерством промышленности и торговли Российской Федерации проверок соблюдения порядка и условий предоставления субсидии, в том числе в части достижения результата предоставления субсидии, и на осуществление органами государственного финансового контроля проверок в соответствии со статьями 2681 и 2692 Бюджетного кодекса Российской Федерации;
г) значения результата предоставления субсидии и показателя, необходимого для достижения результата предоставления субсидии;
д) требования к договору о реализации;
е) обязательство производителя о возврате в 3-месячный срок в доход федерального бюджета субсидии в случае принятия им от дилера продукции, в отношении которой предоставлена субсидия, в течение 2 лет с даты ее поставки;
ж) условия о согласовании новых условий соглашения или расторжении соглашения при недостижении согласия по новым условиям в случае уменьшения Министерству промышленности и торговли Российской Федерации как получателю средств федерального бюджета на соответствующий финансовый год ранее доведенных в установленном порядке до Министерства промышленности и торговли Российской Федерации как получателя средств федерального бюджета на цели, указанные в пункте 1 настоящих Правил, лимитов бюджетных обязательств, приводящего к невозможности предоставления субсидии в размере, определенном в соглашении;
з) план мероприятий по получению результатов предоставления субсидии, содержащий события, отражающие факт завершения соответствующего мероприятия по получению результатов предоставления субсидии (контрольные точки).
(Дополнение пунктом - Постановление Правительства Российской Федерации от 22.09.2022 № 1676)
8. В целях формирования реестра получателей субсидий проводится отбор, объявление о проведении которого по форме согласно приложению № 2 в срок не позднее 3 календарных дней до даты начала проведения отбора размещается Министерством промышленности и торговли Российской Федерации на едином портале бюджетной системы Российской Федерации в информационно-телекоммуникационной сети "Интернет" (далее соответственно - единый портал, сеть "Интернет"), а также в государственной информационной системе промышленности в сети "Интернет" (далее - объявление).
Критериями отбора являются соответствие производителей требованиям, указанным в пунктах 5 и 6 настоящих Правил, а также установление производителями значения запланированного к достижению показателя, необходимого для достижения результата предоставления субсидии, в размере не менее 6 (в 2022 году не менее 3). (В редакции Постановления Правительства Российской Федерации от 04.07.2022 № 1204)
Министерство промышленности и торговли Российской Федерации дает разъяснения положений объявления начиная с даты начала и не позднее даты окончания срока отбора.
Производитель в срок не позднее чем за 5 календарных дней до даты окончания проведения отбора имеет право отозвать заявку или внести в нее изменения.
9. Для участия в отборе производитель с 1 февраля и не позднее 1 марта соответствующего финансового года (в 2021 году - с 1 апреля и не позднее 30 апреля) или в сроки, указанные в объявлении, представляет в Центр заявку в произвольной форме, подписанную руководителем (уполномоченным лицом - с представлением документов, подтверждающих полномочия указанного лица) производителя, с приложением:
а) выписки из Единого государственного реестра юридических лиц (оригинал или заверенная в установленном порядке копия), или выписки из Единого государственного реестра индивидуальных предпринимателей (оригинал или заверенная в установленном порядке копия), или сведений о юридическом лице или индивидуальном предпринимателе, полученных с официального сайта Федеральной налоговой службы в сети "Интернет" в форме электронного документа, подписанного усиленной квалифицированной электронной подписью, на дату не ранее чем за 30 календарных дней до дня подачи заявки (в случае непредставления производителем такого документа Центр при наличии технической возможности запрашивает его самостоятельно);
б) справки налогового органа (оригинал или заверенная в установленном порядке копия), подтверждающей отсутствие у производителя по состоянию на дату не ранее чем за 30 календарных дней до дня подачи заявки неисполненной обязанности по уплате налогов, сборов, страховых взносов, пеней, штрафов и процентов, подлежащих уплате в соответствии с законодательством Российской Федерации о налогах и сборах (в случае непредставления производителем такого документа Центр при наличии технической возможности запрашивает его самостоятельно);
в) справки, подписанной руководителем (уполномоченным лицом - с представлением документов, подтверждающих полномочия указанного лица) и главным бухгалтером (при наличии) производителя, подтверждающей соответствие производителя по состоянию на дату не ранее чем за 30 календарных дней до дня подачи заявки требованиям, установленным подпунктами "б" - "ж" пункта 6 настоящих Правил (в произвольной форме); (В редакции Постановления Правительства Российской Федерации от 04.07.2022 № 1204)
г) справки, подписанной руководителем (уполномоченным лицом - с представлением документов, подтверждающих полномочия указанного лица) и главным бухгалтером (при наличии) производителя, подтверждающей обязательство производителя достигнуть запланированного результата предоставления субсидии в соответствующем финансовом году с указанием значения такого результата (в произвольной форме);
д) сведений о запрашиваемом в соответствующем финансовом году размере субсидии и о запланированном к достижению показателе, необходимом для достижения результата предоставления субсидии, подписанных руководителем (уполномоченным лицом - с представлением документов, подтверждающих полномочия указанного лица) и главным бухгалтером (при наличии) производителя (в произвольной форме);
е) копии действующего заключения о подтверждении производства промышленной продукции с приложением выписки из реестра российской промышленной продукции, содержащей сведения о таком заключении о подтверждении производства промышленной продукции (при необходимости); (В редакции Постановления Правительства Российской Федерации от 22.09.2022 № 1676)
ж) справки о наличии взаимозависимости производителя с иным производителем (группой производителей), выпускающим продукцию (в случае наличия такой взаимозависимости в соответствии с пунктом 1 статьи 1051 Налогового кодекса Российской Федерации), подписанной руководителем (уполномоченным лицом - с представлением документов, подтверждающих полномочия указанного лица) и главным бухгалтером (при наличии) производителя (в произвольной форме);
з) согласия на обработку персональных данных (для индивидуального предпринимателя) (в произвольной форме). (В редакции Постановления Правительства Российской Федерации от 22.09.2022 № 1676)
10. Центр в рамках проведения отбора, в том числе с учетом положений, установленных агентским договором, обеспечивает:
а) в суточный срок регистрацию заявок с прилагаемыми к ним документами, предусмотренными пунктом 9 настоящих Правил;
б) в течение 10 рабочих дней со дня окончания срока подачи заявок, указанного в объявлении:
проверку заявок и прилагаемых к ним документов, указанных в пункте 9 настоящих Правил, на полноту и достоверность содержащихся в них сведений и по результатам такой проверки:
в случае если размер запрашиваемой производителем (группой производителей, являющихся взаимозависимыми лицами, признанными таковыми в соответствии с пунктом 1 статьи 1051 Налогового кодекса Российской Федерации) субсидии превышает 80 процентов лимитов бюджетных обязательств, доведенных в установленном порядке до Министерства промышленности и торговли Российской Федерации как получателя средств федерального бюджета на цели, указанные в пункте 1 настоящих Правил, осуществляет соответствующее уменьшение размера субсидии, запрашиваемой производителем (каждым производителем из группы производителей, являющихся взаимозависимыми лицами, признанными таковыми в соответствии с пунктом 1 статьи 1051 Налогового кодекса Российской Федерации), с учетом положений абзаца пятого пункта 4 настоящих Правил и пропорциональное снижение результата предоставления субсидии для такого производителя (каждого производителя из группы производителей, являющихся взаимозависимыми лицами, признанными таковыми в соответствии с пунктом 1 статьи 1051 Налогового кодекса Российской Федерации). В указанном случае обязательство производителя (каждого производителя из группы производителей, являющихся взаимозависимыми лицами, признанными таковыми в соответствии с пунктом 1 статьи 1051 Налогового кодекса Российской Федерации) достигнуть запланированного результата предоставления субсидии в соответствующем финансовом году, предусмотренное подпунктом "г" пункта 9 настоящих Правил, будет относиться к пропорционально сниженному результату предоставления субсидии;
в случае если совокупный размер запрашиваемой производителями субсидии (в том числе после действий, указанных в абзаце третьем настоящего подпункта) превышает нераспределенные средства субсидии в пределах лимитов бюджетных обязательств, доведенных в установленном порядке до Министерства промышленности и торговли Российской Федерации как получателя средств федерального бюджета на цели, указанные в пункте 1 настоящих Правил, осуществляет пропорциональное уменьшение запрашиваемого размера субсидии и пропорциональное снижение результата предоставления субсидии для каждого производителя. В указанном случае обязательство производителя достигнуть запланированного результата предоставления субсидии в соответствующем финансовом году, предусмотренное подпунктом "г" пункта 9 настоящих Правил, будет относиться к пропорционально сниженному результату предоставления субсидии;
подготовку проекта перечня производителей, заявки которых были рассмотрены, по форме согласно приложению № 3 и проекта перечня производителей, не прошедших отбор (при наличии таких производителей), по форме согласно приложению № 4;
в отношении производителей, ранее не включенных в реестр получателей субсидий на соответствующий финансовый год, - подготовку заключения о включении производителей, прошедших отбор в соответствии с настоящими Правилами, в проект реестра получателей субсидий по форме, предусмотренной агентским договором, и подготовку на основании такого заключения предложений по проекту реестра получателей субсидий;
в отношении производителей, ранее включенных в реестр получателей субсидий на соответствующий финансовый год, - подготовку заключения о заключении с производителями, прошедшими отбор в соответствии с настоящими Правилами, дополнительного соглашения к соглашению и подготовку на основании такого заключения предложений по корректировке реестра получателей субсидий (корректировка реестра получателей субсидий осуществляется путем суммирования размеров субсидии на соответствующий финансовый год, результатов предоставления субсидии, а также пересчета показателя, необходимого для достижения результата предоставления субсидии, для таких производителей);
подготовку и направление производителям уведомлений о непрохождении отбора и возврат заявок с прилагаемыми к ним документами с указанием оснований, предусмотренных пунктом 11 настоящих Правил;
направление в Министерство промышленности и торговли Российской Федерации письма, подписанного руководителем Центра или уполномоченным им лицом, с приложением проекта перечня производителей, заявки которых были рассмотрены, предусмотренного приложением № 3 к настоящим Правилам, проекта перечня производителей, не прошедших отбор, предусмотренного приложением № 4 к настоящим Правилам (при наличии таких производителей), заключения о включении производителей, прошедших отбор в соответствии с настоящими Правилами, в проект реестра получателей субсидий и (или) заключения о заключении с производителями, прошедшими отбор в соответствии с настоящими Правилами, дополнительных соглашений к соглашению, предложений по проекту реестра получателей субсидий и (или) по корректировке реестра получателей субсидий.
11. Заявка отклоняется и производитель признается не прошедшим отбор по следующим основаниям:
а) непредставление (представление не в полном объеме) документов, указанных в пункте 9 настоящих Правил и в объявлении, нарушение сроков их представления, установленных пунктом 9 настоящих Правил и объявлением, и (или) несоответствие представленных документов требованиям, установленным пунктом 9 настоящих Правил;
б) значение показателя, необходимого для достижения результата предоставления субсидии, составляет менее 6 (в 2022 году не менее 3); (В редакции Постановления Правительства Российской Федерации от 04.07.2022 № 1204)
в) недостоверность представленной производителем информации, в том числе информации о месте нахождения и адресе юридического лица;
г) несоответствие производителя требованиям, установленным пунктами 5 и 6 настоящих Правил.
12. Министерство промышленности и торговли Российской Федерации:
а) обеспечивает регистрацию документов, указанных в абзаце девятом подпункта "б" пункта 10 настоящих Правил;
б) в течение 10 рабочих дней со дня получения документов, указанных в абзаце девятом подпункта "б" пункта 10 настоящих Правил:
проверяет указанные в абзаце девятом подпункта "б" пункта 10 настоящих Правил документы на соответствие установленным к ним требованиям и в случае несоответствия указанных в абзаце девятом подпункта "б" пункта 10 настоящих Правил документов установленным к ним требованиям направляет их на доработку в Центр. В течение 3 рабочих дней со дня получения письма Министерства промышленности и торговли Российской Федерации о доработке документов (факт получения письма подтверждается соответствующей отметкой Центра) Центр представляет в Министерство промышленности и торговли Российской Федерации доработанные документы, указанные в абзаце девятом подпункта "б" пункта 10 настоящих Правил;
в случае необходимости запрашивает у Центра документы, представленные производителем в соответствии с пунктом 9 настоящих Правил. Центр в течение одного рабочего дня направляет в Министерство промышленности и торговли Российской Федерации документы, представленные производителем в соответствии с пунктом 9 настоящих Правил;
в) в течение 5 рабочих дней со дня окончания проверки, предусмотренной подпунктом "б" настоящего пункта, формирует проект реестра получателей субсидий, включая в него производителей, которые ранее не были включены в реестр получателей субсидий на соответствующий финансовый год, перечень производителей, заявки которых были рассмотрены, предусмотренный приложением № 3 к настоящим Правилам, и перечень производителей, не прошедших отбор (при наличии таких производителей), предусмотренный приложением № 4 к настоящим Правилам; (В редакции Постановления Правительства Российской Федерации от 22.09.2022 № 1676)
г) в отношении производителей, ранее не включенных в реестр получателей субсидий на соответствующий финансовый год, в течение 10 рабочих дней со дня формирования проекта реестра получателей субсидий заключает с Центром и производителями соглашения. В случае если производитель не подписывает соглашение в течение 5 рабочих дней со дня его поступления на подписание с использованием системы "Электронный бюджет", Министерство промышленности и торговли Российской Федерации признает производителя уклонившимся от заключения соглашения и уведомляет Центр о принятом решении. В течение 3 рабочих дней со дня получения письма Министерства промышленности и торговли Российской Федерации Центр направляет производителю уведомление об отказе в заключении соглашения и документы, представленные производителем в соответствии с пунктом 9 настоящих Правил; (В редакции Постановления Правительства Российской Федерации от 22.09.2022 № 1676)
д) в отношении производителей, включенных в реестр получателей субсидий на соответствующий финансовый год, в течение 15 рабочих дней со дня окончания проверки, предусмотренной подпунктом "б" настоящего пункта, заключает с Центром и производителями дополнительные соглашения к соглашениям в соответствии с типовой формой, установленной Министерством финансов Российской Федерации. В случае если производитель не подписывает дополнительное соглашение к соглашению в течение 5 рабочих дней со дня его поступления на подписание с использованием системы "Электронный бюджет", Министерство промышленности и торговли Российской Федерации признает производителя уклонившимся от заключения дополнительного соглашения к соглашению и уведомляет Центр о принятом решении. В течение 3 рабочих дней со дня получения письма Министерства промышленности и торговли Российской Федерации Центр направляет производителю уведомление об отказе в заключении дополнительного соглашения к соглашению и документы, представленные производителем в соответствии с пунктом 9 настоящих Правил;
е) в течение 5 рабочих дней со дня окончания сроков заключения соглашений и дополнительных соглашений к соглашениям, установленных подпунктами "г" и "д" настоящего пункта, формирует реестр получателей субсидий или корректирует его, суммируя размеры субсидии на соответствующий финансовый год и результаты предоставления субсидии и осуществляя пересчет показателя, необходимого для достижения результата предоставления субсидии, для производителя, ранее включенного в реестр получателей субсидий на соответствующий финансовый год; (В редакции Постановления Правительства Российской Федерации от 22.09.2022 № 1676)
ж) в течение 5 рабочих дней со дня окончания проверки, предусмотренной подпунктом "б" настоящего пункта, уведомляет Центр о непрохождении производителем отбора в соответствии с пунктом 11 настоящих Правил. В течение 3 рабочих дней со дня получения письма Министерства промышленности и торговли Российской Федерации Центр направляет производителю уведомление о непрохождении отбора и документы, представленные производителем в соответствии с пунктом 9 настоящих Правил, с указанием оснований, указанных в пункте 11 настоящих Правил.
13. В случае наличия нераспределенного объема лимитов бюджетных обязательств, доведенных в установленном порядке до Министерства промышленности и торговли Российской Федерации как получателя средств федерального бюджета на цели, указанные в пункте 1 настоящих Правил, на соответствующий финансовый год, Министерство промышленности и торговли Российской Федерации вправе повторно провести отбор. Объявление в срок не позднее 3 календарных дней до даты начала проведения отбора размещается Министерством промышленности и торговли Российской Федерации на едином портале, а также в государственной информационной системе промышленности в сети "Интернет".
Отбор проводится повторно при представлении производителем в Центр заявки в произвольной форме, подписанной руководителем (уполномоченным лицом - с представлением документов, подтверждающих полномочия указанного лица) производителя, с приложением документов, указанных в пункте 9 настоящих Правил, в порядке, установленном пунктами 10 - 12 настоящих Правил, и в сроки, установленные в объявлении.
14. Субсидии предоставляются производителю Министерством промышленности и торговли Российской Федерации ежемесячно в пределах лимитов бюджетных обязательств, доведенных в установленном порядке до Министерства промышленности и торговли Российской Федерации как получателя средств федерального бюджета на цели, указанные в пункте 1 настоящих Правил. (В редакции Постановления Правительства Российской Федерации от 14.03.2022 № 356)
15. Субсидия предоставляется производителю при выполнении следующих условий:
а) дилеру по договору о реализации предоставлена скидка на единицу продукции; (В редакции Постановления Правительства Российской Федерации от 14.03.2022 № 356)
б) продукция произведена не ранее 1 января года, предшествующего календарному году, в котором был заключен договор о реализации продукции;
в) договор о реализации заключен не ранее 1 ноября года, предшествующего финансовому году получения субсидии, поставка продукции по нему осуществлена не ранее 1 января финансового года получения субсидии;
г) договором о реализации предусмотрено обязательство дилера включить в договор купли-продажи продукции, заключаемый с третьим лицом, условие гарантии обратного выкупа продукции в соответствии с настоящими Правилами;
д) сведения о производителе, предусмотренные постановлением Правительства Российской Федерации от 21 декабря 2017 г. № 1604 "О предоставлении субъектами деятельности в сфере промышленности, органами государственной власти и органами местного самоуправления информации для включения в государственную информационную систему промышленности и размещении информации государственной информационной системы промышленности в открытом доступе в информационно-телекоммуникационной сети "Интернет", размещены в государственной информационной системе промышленности в сети "Интернет";
е) в отношении каждой единицы продукции, указанной в договоре о реализации, производитель не получал субсидию в соответствии с постановлениями Правительства Российской Федерации от 27 декабря 2012 г. № 1432 "Об утверждении Правил предоставления субсидий производителям сельскохозяйственной техники" и от 4 июня 2020 г. № 823 "Об утверждении Правил предоставления субсидий из федерального бюджета производителям специализированной техники или оборудования в целях предоставления покупателям скидки при приобретении такой техники или оборудования";
ж) дилером исполнены обязательства по оплате продукции производителю в соответствии с условиями договора о реализации.
16. Для получения субсидии производитель, включенный в реестр получателей субсидий, представляет в Центр не чаще одного раза в месяц до 10-го числа и не позднее 10 ноября соответствующего финансового года заявление о предоставлении субсидии по форме, приведенной в соглашении, подписанное руководителем (уполномоченным лицом - с представлением документов, подтверждающих полномочия указанного лица) производителя (далее - заявление о предоставлении субсидии), с приложением следующих документов, заверенных руководителем (уполномоченным лицом - с представлением документов, подтверждающих полномочия указанного лица) и главным бухгалтером (при наличии) производителя: (В редакции Постановления Правительства Российской Федерации от 14.03.2022 № 356)
а) справка для получения субсидии по форме согласно приложению № 5;
б) расчет размера субсидии по форме согласно приложению № 6;
в) выписка из реестра российской промышленной продукции в отношении каждой единицы продукции по договорам о реализации, содержащая сведения о заключении о подтверждении производства промышленной продукции, действующем в течение не менее 30 календарных дней после дня подачи заявления о предоставлении субсидии; (В редакции Постановления Правительства Российской Федерации от 22.09.2022 № 1676)
г) справка о выполнении производителем требований, установленных пунктами 3 и 5 Правил предоставления субъектами деятельности в сфере промышленности, органами государственной власти и органами местного самоуправления информации для включения в государственную информационную систему промышленности, утвержденных постановлением Правительства Российской Федерации от 21 декабря 2017 г. № 1604 "О предоставлении субъектами деятельности в сфере промышленности, органами государственной власти и органами местного самоуправления информации для включения в государственную информационную систему промышленности и размещении информации государственной информационной системы промышленности в открытом доступе в информационно-телекоммуникационной сети "Интернет" (в произвольной форме).
17. Заверенные руководителем (уполномоченным лицом - с представлением документов, подтверждающих полномочия указанного лица) и главным бухгалтером (при наличии) производителя документы, подтверждающие достоверность сведений, указанных в справке для получения субсидии, указанной в подпункте "а" пункта 16 настоящих Правил, обязаны храниться у производителя в течение 5 лет со дня перечисления Министерством промышленности и торговли Российской Федерации субсидии в установленном порядке на расчетный счет производителя, открытый в учреждениях Центрального банка Российской Федерации или кредитных организациях, в соответствии с пунктом 25 настоящих Правил.
18. Центр в рамках рассмотрения заявлений о предоставлении субсидии:
а) в суточный срок со дня поступления в Центр заявления о предоставлении субсидии с прилагаемыми документами, предусмотренными пунктом 16 настоящих Правил, обеспечивает его регистрацию;
б) в течение 10 рабочих дней со дня регистрации заявлений о предоставлении субсидии и прилагаемых документов, предусмотренных пунктом 16 настоящих Правил, проверяет зарегистрированные заявления о предоставлении субсидии и прилагаемые к ним документы, в том числе полноту и достоверность содержащихся в них сведений и их соответствие требованиям, установленным настоящими Правилами;
в) по результатам проверки, проведенной в соответствии с подпунктом "б" настоящего пункта, в течение 3 рабочих дней:
в случае соответствия заявления о предоставлении субсидии и прилагаемых к нему документов требованиям, установленным настоящими Правилами, подготавливает заключение о предоставлении субсидии по форме, предусмотренной агентским договором (далее - заключение о предоставлении субсидии);
направляет производителю уведомление об отказе в предоставлении субсидии с приложением заявления о предоставлении субсидии и прилагаемых к нему документов с указанием оснований, предусмотренных пунктом 20 настоящих Правил, и подготавливает перечень производителей, которым было отказано в предоставлении субсидии, с указанием оснований отказа, предусмотренных пунктом 20 настоящих Правил, по форме, предусмотренной агентским договором;
г) в течение 5 рабочих дней со дня окончания проверки, проведенной в соответствии с подпунктом "б" настоящего пункта, представляет в Министерство промышленности и торговли Российской Федерации заключение о предоставлении субсидии и перечень производителей, которым было отказано в предоставлении субсидии.
19. Министерство промышленности и торговли Российской Федерации:
а) обеспечивает регистрацию документов, указанных в подпункте "г" пункта 18 настоящих Правил;
б) в течение 10 рабочих дней со дня получения документов, указанных в подпункте "г" пункта 18 настоящих Правил:
проверяет указанные в подпункте "г" пункта 18 настоящих Правил документы на соответствие установленным к ним требованиям и в случае несоответствия указанных в подпункте "г" пункта 18 настоящих Правил документов установленным к ним требованиям направляет их на доработку в Центр. В течение 3 рабочих дней со дня получения письма Министерства промышленности и торговли Российской Федерации о доработке документов (факт получения письма подтверждается соответствующей отметкой Центра) Центр представляет в Министерство промышленности и торговли Российской Федерации доработанные документы, указанные в подпункте "г" пункта 18 настоящих Правил;
в случае необходимости запрашивает у Центра документы, представленные производителем в соответствии с пунктом 16 настоящих Правил. Центр в течение одного рабочего дня направляет в Министерство промышленности и торговли Российской Федерации документы, представленные производителем в соответствии с пунктом 16 настоящих Правил;
в) в течение 5 рабочих дней со дня окончания проверки, предусмотренной подпунктом "б" настоящего пункта, принимает решение о предоставлении субсидии или об отказе в предоставлении субсидии в соответствии с пунктом 20 настоящих Правил;
г) направляет в Центр информацию о решениях, принятых в соответствии с подпунктом "в" настоящего пункта. В течение 3 рабочих дней со дня получения письма Министерства промышленности и торговли Российской Федерации Центр направляет производителю уведомление об отказе в предоставлении субсидии с приложением заявления о предоставлении субсидии и прилагаемых к нему документов с указанием оснований, предусмотренных пунктом 20 настоящих Правил.
20. Производителю может быть отказано в предоставлении субсидии в следующих случаях:
а) непредставление (представление не в полном объеме) документов, указанных в пункте 16 настоящих Правил, нарушение сроков их представления и (или) несоответствие представленных документов положениям пунктов 4, 5, 15 и 16 настоящих Правил;
б) установление факта недостоверности представленной производителем информации;
в) превышение производителем объемов субсидии на текущий финансовый год, предусмотренных реестром получателей субсидий;
г) наличие у производителя просроченной задолженности по денежным обязательствам перед Российской Федерацией, определенным в статье 934 Бюджетного кодекса Российской Федерации.
21. В случае сокращения в текущем финансовом году потребности в средствах субсидии производитель, включенный в реестр получателей субсидий, не позднее 1 сентября текущего финансового года представляет в Центр скорректированные сведения о потребности в средствах субсидии на текущий финансовый год и скорректированную справку, указанную в подпункте "г" пункта 9 настоящих Правил, подписанные руководителем (уполномоченным лицом с представлением документов, подтверждающих полномочия указанного лица) и главным бухгалтером (при наличии) производителя. Центр в течение 3 рабочих дней направляет указанные сведения в Министерство промышленности и торговли Российской Федерации. На основании указанных сведений Министерство промышленности и торговли Российской Федерации не позднее 10 сентября текущего финансового года обеспечивает корректировку реестра получателей субсидий в части уменьшения размеров средств субсидии и значений результата предоставления субсидии на текущий финансовый год. (В редакции Постановления Правительства Российской Федерации от 22.09.2022 № 1676)
22. Представление производителем, включенным в реестр получателей субсидий, не позднее 1 сентября текущего финансового года сведений о сокращении в текущем финансовом году потребности в средствах субсидии и неиспользование по итогам текущего финансового года средств субсидии в объеме в соответствии с реестром получателей субсидий влечет применение к такому производителю штрафных санкций (Свозвр), размер которых определяется по формуле:
Свозвр = (Sп - Sф) x k,
где:
Sп - размер средств субсидии в соответствии с реестром получателей субсидий;
Sф - размер средств субсидии, фактически предоставленных производителю в текущем финансовом году;
k - коэффициент возврата, учитывающий средний размер ключевой ставки, устанавливаемой Центральным банком Российской Федерации, за период предоставления субсидии в текущем финансовом году, выраженный в долях единицы.
23. Непредставление производителем, включенным в реестр получателей субсидий, не позднее 1 сентября текущего финансового года сведений о сокращении в текущем финансовом году потребности в средствах субсидии и неиспользование по итогам текущего финансового года средств субсидии в соответствии с реестром получателей субсидий влечет применение к такому производителю штрафных санкций (Снеисп), размер которых определяется по формуле:
Снеисп = (Sп - Sф) x 3 x k,
где:
Sп - размер средств субсидии в соответствии с реестром получателей субсидий;
Sф - размер средств субсидии, фактически предоставленных производителю в текущем финансовом году;
k - коэффициент возврата, учитывающий средний размер ключевой ставки, устанавливаемой Центральным банком Российской Федерации, за период предоставления субсидии в текущем финансовом году, выраженный в долях единицы.
24. Коэффициент возврата, учитывающий средний размер ключевой ставки, устанавливаемой Центральным банком Российской Федерации, за период предоставления субсидии в текущем финансовом году (k), определяется по формуле:
,
где:
n - количество периодов, в которых в текущем финансовом году начиная с даты заключения производителем соглашения изменялось значение ключевой ставки, устанавливаемой Центральным банком Российской Федерации;
ki - выраженный в долях единицы размер устанавливаемой Центральным банком Российской Федерации в текущем финансовом году начиная с даты заключения производителем соглашения ключевой ставки в i-м периоде;
di - количество календарных дней начиная с даты заключения производителем соглашения в периоде, в котором в текущем финансовом году изменялось значение ключевой ставки, устанавливаемой Центральным банком Российской Федерации.
25. Министерство промышленности и торговли Российской Федерации не позднее 10-го рабочего дня, следующего за днем принятия решения о предоставлении субсидии, обеспечивает перечисление субсидии в установленном порядке на расчетный счет производителя, открытый в учреждениях Центрального банка Российской Федерации или кредитных организациях.
26. Производитель ежеквартально, не позднее 15-го рабочего дня, следующего за отчетным кварталом финансового года получения субсидии, представляет в Центр отчет о достижении значений результата предоставления субсидии, указанных в реестре получателей субсидий, подписанный руководителем (уполномоченным лицом с представлением документов, подтверждающих полномочия указанного лица) и главным бухгалтером (при наличии) производителя.
Производитель ежемесячно, не позднее 15-го рабочего дня, следующего за отчетным месяцем финансового года получения субсидии, представляет в Министерство промышленности и торговли Российской Федерации отчет о реализации плана мероприятий по достижению результата предоставления субсидии, содержащего события, отражающие факт завершения соответствующего мероприятия по получению результатов предоставления субсидии (контрольные точки).
(Пункт в редакции Постановления Правительства Российской Федерации от 22.09.2022 № 1676)
27. Центр в течение 10 рабочих дней после окончания срока представления производителями отчетов, указанных в абзаце первом пункта 26 настоящих Правил, направляет в Министерство промышленности и торговли Российской Федерации сводный отчет производителей о достижении значений результата предоставления субсидии и показателя, необходимого для достижения результата предоставления субсидии, указанных в реестре получателей субсидий, по форме, предусмотренной агентским договором. (В редакции Постановления Правительства Российской Федерации от 04.07.2022 № 1204)
28. В случае недостижения производителем значения результата предоставления субсидии, указанного в соглашении и в реестре получателей субсидий, средства субсидии в части, пропорциональной величине недостижения такого результата в стоимостном выражении, подлежат возврату в доход федерального бюджета на основании документов, указанных в пункте 32 настоящих Правил.
29. В случае недостижения производителем значения показателя, необходимого для достижения результата предоставления субсидии, указанного в реестре получателей субсидий, средства субсидии в размере одного процента объема субсидии, полученной производителем, подлежат возврату в доход федерального бюджета на основании документов, указанных в пункте 32 настоящих Правил.
30. В случае нарушения производителем срока представления в Центр отчета, предусмотренного абзацем первым пункта 26 настоящих Правил, производитель уплачивает штраф за каждый день просрочки в размере одной трехсотой ключевой ставки Центрального банка Российской Федерации, действующей по состоянию на 16-й рабочий день со дня окончания отчетного квартала финансового года получения субсидии производителем, от объема полученной производителем в отчетном квартале субсидии в доход федерального бюджета на основании документа, указанного в подпункте "а" пункта 32 настоящих Правил. (В редакции Постановления Правительства Российской Федерации от 22.09.2022 № 1676)
31. Министерство промышленности и торговли Российской Федерации проводит проверки соблюдения производителем порядка и условий предоставления субсидии, в том числе в части достижения результата предоставления субсидии, органы государственного финансового контроля проводят проверки в соответствии со статьями 2681 и 2692 Бюджетного кодекса Российской Федерации. (В редакции Постановления Правительства Российской Федерации от 04.07.2022 № 1204)
В отношении субсидий, предоставляемых из федерального бюджета начиная с 1 января 2022 г., Министерство промышленности и торговли Российской Федерации проводит мониторинг достижения результатов предоставления субсидии исходя из достижения значений результатов предоставления субсидии, определенных соглашением, и событий, отражающих факт завершения соответствующего мероприятия по получению результата предоставления субсидии (контрольных точек), в порядке и по формам, которые установлены Министерством финансов Российской Федерации. (Дополнение абзацем - Постановление Правительства Российской Федерации от 14.03.2022 № 356)
32. В случае нарушения производителем условий, установленных при предоставлении субсидии, выявленного в том числе по фактам проверок, проведенных Министерством промышленности и торговли Российской Федерации и органом государственного финансового контроля, соответствующие средства в объеме выявленных нарушений подлежат возврату в доход федерального бюджета: (В редакции Постановления Правительства Российской Федерации от 04.07.2022 № 1204)
а) на основании требования Министерства промышленности и торговли Российской Федерации - не позднее 10-го рабочего дня со дня получения производителем указанного требования;
б) на основании представления и (или) предписания органа государственного финансового контроля - в сроки, установленные в соответствии с бюджетным законодательством Российской Федерации.
33. Информация о результатах рассмотрения заявок, об участниках отбора и результатах отбора, в том числе о заключенных с участниками отбора соглашениях, является информацией ограниченного доступа и не подлежит размещению на едином портале, в государственной информационной системе промышленности в сети "Интернет", в информационной системе "Одно окно", на официальном сайте Министерства промышленности и торговли Российской Федерации в сети "Интернет". (Дополнение пунктом - Постановление Правительства Российской Федерации от 04.04.2022 № 581) (В редакции Постановления Правительства Российской Федерации от 22.09.2022 № 1676)
ПРИЛОЖЕНИЕ № 1
к Правилам предоставления субсидий
из федерального бюджета производителям специализированной техники и оборудования на возмещение части затрат, понесенных в связи с гарантией обратного выкупа продукции
(форма)
ПРОЕКТ РЕЕСТРА
получателей субсидий из федерального бюджета производителям специализированной техники и оборудования на возмещение части затрат, понесенных в связи с гарантией обратного выкупа продукции
| Дата, время и место проведения рассмотрения заявок |
| № п/п | Дата и номер заявки | Наименование производителя | Идентификационный номер налогоплательщика производителя | Размер субсидии на соответствующий финансовый год, рублей | Результат предоставления субсидии, рублей | Показатель, необходимый для достижения результата предоставления субсидии |
| 1 | 2 | 3 | 4 | 5 | 6 | 7 |
(форма)
РЕЕСТР
получателей субсидий из федерального бюджета производителям специализированной техники и оборудования на возмещение части затрат, понесенных в связи с гарантией обратного выкупа продукции
| Дата, время и место проведения рассмотрения заявок |
| № п/п | Дата и номер заявки | Наименование производителя | Идентификационный номер налогоплательщика производителя | Размер субсидии на соответствующий финансовый год, рублей | Результат предоставления субсидии, рублей | Показатель, необходимый для достижения результата предоставления субсидии |
| 1 | 2 | 3 | 4 | 5 | 6 | 7 |
ПРИЛОЖЕНИЕ № 2
к Правилам предоставления
субсидий из федерального бюджета
производителям специализированной техники и оборудования на возмещение части затрат, понесенных в связи
с гарантией обратного выкупа продукции
(в редакции постановления Правительства Российской Федерации
от 14 марта 2022 г. № 356)
(В редакции Постановления Правительства Российской Федерации от 22.09.2022 № 1676)
(форма)
ОБЪЯВЛЕНИЕ
о проведении отбора на предоставление субсидий
из федерального бюджета производителям специализированной техники и оборудования на возмещение части затрат, понесенных в связи с гарантией обратного выкупа продукции, на _____ год
Информация о проведении отбора на предоставление субсидий из федерального бюджета производителям специализированной техники и оборудования на возмещение части затрат, понесенных в связи с гарантией обратного выкупа продукции (далее - отбор) | ||
| Сроки проведения отбора | ||
| Дата начала подачи или дата окончания приема заявок производителей (далее - заявки), которая не может быть ранее 30-го календарного дня, следующего за днем размещения объявления о проведении отбора на предоставление субсидий из федерального бюджета производителям специализированной техники и оборудования на возмещение части затрат, понесенных в связи с гарантией обратного выкупа продукции | ||
| Доменное имя, и (или) сетевой адрес, и (или) указатели страниц сайта в информационно-телекоммуникационной сети "Интернет", на котором обеспечивается проведение отбора | ||
Информация о Министерстве промышленности | ||
| Наименование | ||
| Место нахождения | ||
| Почтовый адрес | ||
| Адрес электронной почты | ||
Иная информация | ||
| Результат предоставления субсидии | ||
| Требования к производителям и перечень документов, представляемых производителями для подтверждения их соответствия указанным требованиям | ||
| Порядок подачи заявок и требования, предъявляемые к форме и содержанию заявок | ||
| Порядок отзыва заявок и порядок внесения изменений в заявки | ||
| Порядок возврата заявок, определяющий в том числе основания для возврата заявок | ||
| Правила рассмотрения заявок | ||
| Порядок предоставления производителям разъяснений положений объявления о проведении отбора на предоставление субсидий из федерального бюджета производителям специализированной техники и оборудования на возмещение части затрат, понесенных в связи с гарантией обратного выкупа продукции, даты начала и окончания срока такого предоставления | ||
| Срок, в течение которого производители, прошедшие отбор, должны подписать соглашение о предоставлении субсидии | ||
| Условия признания производителей, прошедших отбор, уклонившимися от заключения соглашения о предоставлении субсидии | ||
ПРИЛОЖЕНИЕ № 3
к Правилам предоставления субсидий
из федерального бюджета производителям специализированной техники и оборудования на возмещение части затрат, понесенных в связи с гарантией обратного выкупа продукции
(форма)
ПРОЕКТ ПЕРЕЧНЯ
производителей специализированной техники и оборудования, заявки на участие в отборе которых были рассмотрены
| Дата, время и место проведения рассмотрения заявок |
| № п/п | Дата и номер заявки | Наименование производителя | Идентификационный номер налогоплательщика производителя | Размер субсидии на соответствующий финансовый год, рублей | Результат предоставления субсидии, рублей | Показатель, необходимый для достижения результата предоставления субсидии |
| 1 | 2 | 3 | 4 | 5 | 6 | 7 |
(форма)
ПЕРЕЧЕНЬ
производителей специализированной техники и оборудования, заявки на участие в отборе которых были рассмотрены
| Дата, время и место проведения рассмотрения заявок |
| № п/п | Дата и номер заявки | Наименование производителя | Идентификационный номер налогоплательщика производителя | Размер субсидии на соответствующий финансовый год, рублей | Результат предоставления субсидии, рублей | Показатель, необходимый для достижения результата предоставления субсидии |
| 1 | 2 | 3 | 4 | 5 | 6 | 7 |
ПРИЛОЖЕНИЕ № 4
к Правилам предоставления субсидий
из федерального бюджета производителям специализированной техники и оборудования на возмещение части затрат, понесенных в связи с гарантией обратного выкупа продукции
(форма)
ПРОЕКТ ПЕРЕЧНЯ
производителей специализированной техники и оборудования, не прошедших отбор
| Дата, время и место проведения рассмотрения заявок |
| № п/п | Дата и номер заявки | Наименование производителя | Идентификационный номер налогоплательщика производителя | Размер субсидии на соответствующий финансовый год, рублей | Результат предоставления субсидии, рублей | Показатель, необходимый для достижения результата предоставления субсидии | Причины отклонения заявки, в том числе положения объявления, которым не соответствует заявка |
| 1 | 2 | 3 | 4 | 5 | 6 | 7 | 8 |
(форма)
ПЕРЕЧЕНЬ
производителей специализированной техники и оборудования, не прошедших отбор
| Дата, время и место проведения рассмотрения заявок |
| № п/п | Дата и номер заявки | Наименование производителя | Идентификационный номер налогоплательщика производителя | Размер субсидии на соответствующий финансовый год, рублей | Результат предоставления субсидии, рублей | Показатель, необходимый для достижения результата предоставления субсидии | Причины отклонения заявки, в том числе положения объявления, которым не соответствует заявка |
| 1 | 2 | 3 | 4 | 5 | 6 | 7 | 8 |
ПРИЛОЖЕНИЕ № 5
к Правилам предоставления субсидий
из федерального бюджета производителям специализированной техники и оборудования на возмещение части затрат, понесенных в связи с гарантией обратного выкупа продукции
(В редакции Постановления Правительства Российской Федерации от 14.03.2022 № 356)
(форма)
СПРАВКА
для получения субсидии из федерального бюджета производителям специализированной техники и оборудования на возмещение части затрат, понесенных в связи с гарантией обратного выкупа продукции
| Наименование производителя | |
| Место нахождения и адрес | |
| ОГРН | |
| ИНН | |
| КПП |
| Наименование дилера | Идентификационный номер налогоплательщика дилера (при наличии) | Реквизиты (дата и номер) договора о реализации1 | Наименование моделей продукции и их модификаций с указанием товарного кода ТН ВЭД ЕАЭС | Год производства продукции | Серийный (идентификационный) номер единицы продукции | Стоимость единицы продукции, указанная в договоре о реализации (без вычета скидки и без учета транспортных расходов и налога на добавленную стоимость), рублей | Стоимость единицы продукции, указанная в договоре о реализации (за вычетом скидки и без учета транспортных расходов и налога на добавленную стоимость), рублей | Размер предоставленной скидки дилеру в отношении единицы продукции (без учета налога на добавленную стоимость), рублей | Количество единиц продукции, штук | Суммарный объем скидок дилеру по договору о реализации (без учета налога на добавленную стоимость), рублей | Суммарный размер запрашиваемой субсидии2, рублей | Реквизиты (дата и номер) акта приема-передачи или акта технической приемки продукции по договору о реализации | Сумма исполненных обязательств по оплате продукции производителю в соответствии с условиями договора о реализации на дату подачи заявления о предоставлении субсидии, рублей3 | Дата и номер заключения о подтверждении производства промышленной продукции на территории Российской Федерации, выданного Министерством промышленности и торговли Российской Федерации в соответствии с постановлением Правительства Российской Федерации от 17 июля 2015 г. № 719 "О подтверждении производства промышленной продукции на территории Российской Федерации" |
| А | Б | В | Г | Д | Е | Ж | З | И = Ж - З | К | Л = И x К | М | Н | О | П |
_______________________
1 Договором о реализации предусмотрено обязательство дилера включить в договор купли-продажи продукции, заключаемый с третьим лицом, условие гарантии обратного выкупа продукции в соответствии с Правилами предоставления субсидий из федерального бюджета производителям специализированной техники и оборудования на возмещение части затрат, понесенных в связи с гарантией обратного выкупа продукции, утвержденными постановлением Правительства Российской Федерации от 24 октября 2018 г. № 1269 "О предоставлении субсидий из федерального бюджета производителям специализированной техники и оборудования на возмещение части затрат, понесенных в связи с гарантией обратного выкупа продукции".
2 Суммарный размер запрашиваемой субсидии рассчитывается с учетом требований, установленных пунктом 4 Правил предоставления субсидий из федерального бюджета производителям специализированной техники и оборудования на возмещение части затрат, понесенных в связи с гарантией обратного выкупа продукции, утвержденных постановлением Правительства Российской Федерации от 24 октября 2018 г. № 1269 "О предоставлении субсидий из федерального бюджета производителям специализированной техники и оборудования на возмещение части затрат, понесенных в связи с гарантией обратного выкупа продукции". (В редакции Постановления Правительства Российской Федерации от 14.03.2022 № 356)
3 В случае если в соответствии с условиями договора о реализации сумма исполненных дилером обязательств по оплате продукции производителю на дату подачи заявления о предоставлении субсидии равна 0, то в настоящей справке делается соответствующая отметка.
Настоящей справкой _________________ подтверждается, что в отношении каждой единицы продукции, указанной в настоящей справке, ему не предоставлялась субсидия в соответствии с постановлением Правительства Российской Федерации от 27 декабря 2012 г. № 1432 "Об утверждении Правил предоставления субсидий производителям сельскохозяйственной техники" и в соответствии с постановлением Правительства Российской Федерации от 4 июня 2020 г. № 823 "Об утверждении Правил предоставления субсидий из федерального бюджета производителям специализированной техники или оборудования в целях предоставления покупателям скидки при приобретении такой техники или оборудования".
| Руководитель производителя | |||||||
____________________ (подпись) | ___________________________ (фамилия, имя, отчество (при наличии) | ||||||
| Главный бухгалтер (при наличии) | |||||||
____________________ (подпись) | ___________________________ (фамилия, имя, отчество (при наличии) | ||||||
| Исполнитель | ________________________ (фамилия, имя, отчество (при наличии) | Телефон __________________ | |||||
"___" ____________ 20__ г.
М.П. (при наличии)
ПРИЛОЖЕНИЕ № 6
к Правилам предоставления субсидий из федерального бюджета производителям специализированной техники и оборудования на возмещение части затрат, понесенных в связи с гарантией обратного выкупа продукции
(форма)
РАСЧЕТ
размера субсидии из федерального бюджета производителям специализированной техники и оборудования на возмещение части затрат, понесенных в связи с гарантией обратного выкупа продукции
| Наименование производителя | |
| Место нахождения и адрес | |
| ОГРН | |
| ИНН | |
| КПП |
Суммарный размер субсидии по договорам о реализации на дату представления заявления о предоставлении субсидии (рублей)*
______________________
* Сумма строк графы "м" приложения № 5 к Правилам предоставления субсидий из федерального бюджета производителям специализированной техники и оборудования на возмещение части затрат, понесенных в связи с гарантией обратного выкупа продукции, утвержденным постановлением Правительства Российской Федерации от 24 октября 2018 г. № 1269 "О предоставлении субсидий из федерального бюджета производителям специализированной техники и оборудования на возмещение части затрат, понесенных в связи с гарантией обратного выкупа продукции", с учетом ограничений, установленных абзацем четвертым пункта 4 указанных Правил.
| Руководитель производителя | |||||||
____________________ (подпись) | ___________________________ (фамилия, имя, отчество (при наличии) | ||||||
| Главный бухгалтер (при наличии) | |||||||
____________________ (подпись) | ___________________________ (фамилия, имя, отчество (при наличии) | ||||||
| Исполнитель | ______________________ (фамилия, имя, отчество (при наличии) | Телефон _________________________ | |||||
"___" ____________ 20__ г.
М.П. (при наличии)
____________
УТВЕРЖДЕНО
постановлением Правительства
Российской Федерации
от 24 октября 2018 г. № 1269
(в редакции постановления
Правительства Российской Федерации
от 27 марта 2021 г. № 457)
ПОЛОЖЕНИЕ
об осуществлении акционерным обществом "Российский экспортный центр" функций агента Правительства Российской Федерации по вопросу предоставления субсидий из федерального бюджета производителям специализированной техники и оборудования на возмещение части затрат, понесенных в связи с гарантией обратного выкупа продукции
(В редакции постановлений Правительства Российской Федерации от 14.03.2022 № 356, от 04.07.2022 № 1204)
1. Настоящее Положение определяет порядок осуществления акционерным обществом "Российский экспортный центр" (далее - Центр) функций агента Правительства Российской Федерации по вопросу о предоставлении субсидий из федерального бюджета производителям специализированной техники и оборудования на возмещение части затрат, понесенных в связи с гарантией обратного выкупа продукции, в соответствии с Правилами предоставления субсидий из федерального бюджета производителям специализированной техники и оборудования на возмещение части затрат, понесенных в связи с гарантией обратного выкупа продукции, утвержденными постановлением Правительства Российской Федерации от 24 октября 2018 г. № 1269 "О предоставлении субсидий из федерального бюджета производителям специализированной техники и оборудования на возмещение части затрат, понесенных в связи с гарантией обратного выкупа продукции" (далее соответственно - производитель, Правила, субсидия).
Понятия, используемые в настоящем Положении, применяются в значениях, установленных Правилами.
2. Центр выполняет функции агента Правительства Российской Федерации по вопросу о предоставлении субсидий на основании заключенного между Министерством промышленности и торговли Российской Федерации, Министерством экономического развития Российской Федерации и Центром агентского договора о предоставлении субсидий (далее - агентский договор).
3. В агентском договоре указываются в том числе:
а) права и обязанности Центра:
по подписанию в установленном порядке в государственной интегрированной информационной системе управления общественными финансами "Электронный бюджет" соглашений о предоставлении субсидии;
по формированию Центром проекта перечня производителей, заявки которых были рассмотрены, по форме, предусмотренной приложением № 3 к Правилам, проекта перечня производителей, не прошедших отбор, по форме, предусмотренной приложением № 4 к Правилам, предложений по проекту реестра получателей субсидий и по корректировке реестра получателей субсидий;
по уменьшению запрашиваемого производителем (каждым производителем из группы производителей, являющихся взаимозависимыми лицами, признанными таковыми в соответствии с пунктом 1 статьи 1051 Налогового кодекса Российской Федерации) размера субсидии и пропорциональному снижению результата предоставления субсидии для такого производителя (каждого производителя из группы производителей, являющихся взаимозависимыми лицами, признанными таковыми в соответствии с пунктом 1 статьи 1051 Налогового кодекса Российской Федерации), в случае если размер запрашиваемой производителем (группой производителей, являющихся взаимозависимыми лицами, признанными таковыми в соответствии с пунктом 1 статьи 1051 Налогового кодекса Российской Федерации) субсидии превышает 80 процентов лимитов бюджетных обязательств, доведенных в установленном порядке до Министерства промышленности и торговли Российской Федерации как получателя средств федерального бюджета на цели, указанные в пункте 1 Правил; (В редакции Постановления Правительства Российской Федерации от 14.03.2022 № 356)
по пропорциональному уменьшению запрашиваемого производителями размера субсидии и пропорциональному снижению результата предоставления субсидии для каждого производителя, в случае если совокупный размер запрашиваемой производителями в рамках отбора субсидии превышает нераспределенные средства субсидии в пределах лимитов бюджетных обязательств, доведенных в установленном порядке до Министерства промышленности и торговли Российской Федерации как получателя средств федерального бюджета на цели, указанные в пункте 1 Правил (в том числе после действий, указанных в абзаце четвертом настоящего подпункта);
по обеспечению Центром защиты и неразглашения сведений, составляющих коммерческую, иную охраняемую законом тайну, других сведений, доступ к которым ограничен федеральными законами;
б) права и обязанности Министерства промышленности и торговли Российской Федерации;
в) права и обязанности Министерства экономического развития Российской Федерации, в том числе обязанность Министерства экономического развития Российской Федерации осуществлять выплату Центру вознаграждения за выполнение функций агента Правительства Российской Федерации в порядке и на условиях, которые установлены в соответствии с подпунктом "о" настоящего пункта;
г) порядок взаимодействия Центра с Министерством промышленности и торговли Российской Федерации при осуществлении Министерством промышленности и торговли Российской Федерации контроля за соблюдением производителем условий и порядка предоставления субсидий; (В редакции Постановления Правительства Российской Федерации от 04.07.2022 № 1204)
д) порядок взаимодействия Центра с Министерством промышленности и торговли Российской Федерации в случае установления факта нарушения производителем условий и порядка предоставления субсидий; (В редакции Постановления Правительства Российской Федерации от 04.07.2022 № 1204)
е) порядок, условия и сроки представления Центром в Министерство экономического развития Российской Федерации согласованной с Министерством промышленности и торговли Российской Федерации отчетности о выполнении условий агентского договора; (В редакции Постановления Правительства Российской Федерации от 14.03.2022 № 356)
ж) требования к договору о реализации, указанному в пункте 2 Правил;
з) порядок проведения Министерством экономического развития Российской Федерации совместных с Министерством промышленности и торговли Российской Федерации проверок соблюдения Центром условий агентского договора; (В редакции Постановления Правительства Российской Федерации от 14.03.2022 № 356)
и) условие о запрете заключения Центром субагентских договоров;
к) формы заключений и отчетности, представляемых Центром в Министерство промышленности и торговли Российской Федерации; (В редакции Постановления Правительства Российской Федерации от 14.03.2022 № 356)
л) условие об обмене документами и информацией с использованием государственной информационной системы промышленности в информационно-телекоммуникационной сети "Интернет" (при наличии технической возможности);
м) ответственность Центра за ненадлежащее исполнение агентского договора, в том числе условие о применении к Центру в качестве меры ответственности штрафа за нарушение функций агента Правительства Российской Федерации по вопросу о предоставлении субсидий, выявленное по итогам проверок производителей, проведенных Министерством промышленности и торговли Российской Федерации и (или) органами государственного финансового контроля в соответствии с пунктом 31 Правил. Указанный штраф уплачивается в размере 1 процента суммы средств субсидии, подлежащей возврату производителем в доход федерального бюджета;
н) обязанность Центра обеспечить хранение документов, представляемых производителями, в соответствии с Правилами, а также заверенных копий заключений и отчетности, представляемых Центром в Министерство промышленности и торговли Российской Федерации, в порядке и сроки, которые установлены законодательством Российской Федерации;
о) порядок и условия выплаты Министерством экономического развития Российской Федерации Центру вознаграждения за выполнение функций агента Правительства Российской Федерации.
____________

Подписаться на обновления