Постановление Правительства Российской Федерации от 16.10.2017 № 1251 "Об утверждении Правил предоставления субсидии из федерального бюджета на оказание государственной поддержки центров Национальной технологической инициативы на базе образовательных организаций высшего образования и научных организаций и Положения о проведении конкурсного отбора на предоставление грантов на государственную поддержку центров Национальной технологической инициативы на базе образовательных организаций высшего образования и научных организаций"
ПРАВИТЕЛЬСТВО РОССИЙСКОЙ ФЕДЕРАЦИИ
ПОСТАНОВЛЕНИЕ
от 16 октября 2017 г. № 1251
МОСКВА
Об утверждении Правил предоставления субсидии из федерального бюджета на оказание государственной поддержки центров Национальной технологической инициативы на базе образовательных организаций высшего образования и научных организаций и Положения о проведении конкурсного отбора на предоставление грантов на государственную поддержку центров Национальной технологической инициативы на базе образовательных организаций высшего образования и научных организаций
(В редакции постановлений Правительства Российской Федерации от 10.09.2018 № 1078, от 22.12.2018 № 1632, от 30.04.2020 № 611, от 18.11.2020 № 1872, от 08.06.2021 № 872, от 05.07.2021 № 1119)
Правительство Российской Федерации постановляет:
1. Утвердить прилагаемые:
Правила предоставления субсидии из федерального бюджета на оказание государственной поддержки центров Национальной технологической инициативы на базе образовательных организаций высшего образования и научных организаций;
Положение о проведении конкурсного отбора на предоставление грантов на государственную поддержку центров Национальной технологической инициативы на базе образовательных организаций высшего образования и научных организаций.
2. Министерству финансов Российской Федерации обеспечить в установленном порядке направление в 2017 - 2018 годах бюджетных ассигнований федерального бюджета Министерству образования и науки Российской Федерации, в 2019 - 2020 годах Министерству науки и высшего образования Российской Федерации на предоставление субсидии организации, наделенной функциями проектного офиса Национальной технологической инициативы, на оказание государственной поддержки центров Национальной технологической инициативы на базе образовательных организаций высшего образования и научных организаций (далее - центры) в размере 7800000 тыс. рублей, в том числе в 2017 году - 2000000 тыс. рублей, в 2018 году - 2400000 тыс. рублей, в 2019 году - 1800000 тыс. рублей, в 2020 году - 1600000 тыс. рублей, в пределах размеров средств, предусмотренных в федеральном бюджете на реализацию Национальной технологической инициативы. (В редакции Постановления Правительства Российской Федерации от 10.09.2018 № 1078)
3. В соответствии с пунктом 141 части 1 статьи 21 Федерального закона "О федеральном бюджете на 2017 год и на плановый период 2018 и 2019 годов" направить бюджетные ассигнования, предусмотренные по подразделу "Другие вопросы в области национальной экономики" раздела "Национальная экономика" классификации расходов бюджетов на государственную поддержку центров в размере 2000000 тыс. рублей, Министерству образования и науки Российской Федерации для предоставления субсидии из федерального бюджета на оказание государственной поддержки центров.
4. Согласиться с предложением Фонда поддержки проектов Национальной технологической инициативы о наделении указанной организации функциями проектного офиса Национальной технологической инициативы в части предоставления грантов на государственную поддержку центров и осуществления организационно-технического и информационного обеспечения проведения конкурсного отбора на предоставление грантов на государственную поддержку центров, включая организацию экспертизы заявок участников указанного конкурсного отбора, сопровождения и мониторинга деятельности центров. (В редакции Постановления Правительства Российской Федерации от 05.07.2021 № 1119)
5. Министерству образования и науки Российской Федерации утвердить конкурсную документацию.
Председатель Правительства
Российской Федерации                               Д.Медведев
УТВЕРЖДЕН
постановлением Правительства
Российской Федерации
от 16 октября 2017 г. № 1251
ПРАВИЛА
предоставления субсидии из федерального бюджета на оказание государственной поддержки центров Национальной технологической инициативы на базе образовательных организаций высшего образования и научных организаций
(В редакции постановлений Правительства Российской Федерации от 10.09.2018 № 1078, от 22.12.2018 № 1632, от 30.04.2020 № 611, от 18.11.2020 № 1872, от 08.06.2021 № 872, от 05.07.2021 № 1119)
I. Общие положения
1. Настоящие Правила устанавливают порядок и условия предоставления субсидии из федерального бюджета организации, наделенной функциями проектного офиса Национальной технологической инициативы в части предоставления грантов на государственную поддержку центров Национальной технологической инициативы на базе образовательных организаций высшего образования и научных организаций (далее - центр) и осуществления организационно-технического и информационного обеспечения проведения конкурсного отбора на предоставление грантов на государственную поддержку центров, включая организацию экспертизы заявок участников указанного конкурсного отбора, сопровождения и мониторинга деятельности центров (далее - оператор), на оказание государственной поддержки центров в целях реализации федерального проекта "Развитие масштабных научных и научно-технологических проектов по приоритетным исследовательским направлениям" национального проекта "Наука и университеты" (далее - субсидия) посредством предоставления оператором грантов на государственную поддержку центров (далее - грант). (В редакции Постановления Правительства Российской Федерации от 05.07.2021 № 1119)
2. Понятия, используемые в настоящих Правилах, означают следующее:
"консорциум" - совокупность образовательных организаций высшего образования, а также научных, инжиниринговых, производственных и иных организаций, в том числе зарубежных, участвующих в реализации программы создания и развития центра; (Дополнен - Постановление Правительства Российской Федерации от 22.12.2018 № 1632)
"программа создания и развития центра" - документ, содержащий совокупность взаимоувязанных проектов и мероприятий, направленных на развитие сквозных технологий, включая кадровое и инфраструктурное обеспечение комплексных научно-исследовательских и опытно-конструкторских проектов, реализацию образовательных программ подготовки научных и инженерных кадров, а также кадров в области продвижения новых товаров и услуг, развития дизайна товаров и услуг в интересах рынков Национальной технологической инициативы, перечень контрольных точек и показателей реализации программы создания и развития центра, перечень организаций, участвующих в реализации программы создания и развития центра, с указанием их функций, сведения о планируемых доходах и расходах центра, представленных в конкурсной заявке участника конкурсного отбора на получение государственной поддержки центров; (В редакции Постановления Правительства Российской Федерации от 30.04.2020 № 611)
"результат предоставления субсидии" - создание центров Национальной технологической инициативы, обеспечивающих формирование инновационных решений в области сквозных технологий; (В редакции Постановления Правительства Российской Федерации от 30.04.2020 № 611)
"сквозная технология" - ключевое научно-техническое направление, развитие которого позволит обеспечить радикальное изменение ситуации на существующих рынках технологий, продуктов и услуг или будет способствовать формированию новых рынков;
"центр" - структурное подразделение, создаваемое на базе образовательной организации высшего образования или научной организации (далее - организация, структурным подразделением которой является центр), осуществляющее комплексное развитие сквозных технологий Национальной технологической инициативы совместно с иными образовательными и (или) научными организациями и иными хозяйствующими субъектами, включая промышленные предприятия;
"участник консорциума" - научная организация, образовательная организация высшего образования, инжиниринговая, производственная или иная организация, заключившая соглашение о формировании консорциума, участвующая в программе создания и развития центра; (Дополнен - Постановление Правительства Российской Федерации от 22.12.2018 № 1632)
"показатели, необходимые для достижения результата предоставления субсидии" - совокупные показатели достижения центрами, получившими государственную поддержку, показателей реализации программ создания и развития центров, обеспечивающих достижение результата предоставления субсидии; (Дополнен - Постановление Правительства Российской Федерации от 30.04.2020 № 611)
"показатели реализации программы создания и развития центра" - показатели, определенные программой создания и развития центра, указанные в подпункте "о" пункта 21 настоящих Правил, используемые для оценки выполнения программы создания и развития центра. (Дополнен - Постановление Правительства Российской Федерации от 30.04.2020 № 611)
3. Субсидия предоставляется в пределах лимитов бюджетных обязательств, доведенных в установленном порядке до Министерства науки и высшего образования Российской Федерации как получателя средств федерального бюджета на цели, указанные в пункте 1 настоящих Правил.
Сведения о субсидии размещаются на едином портале бюджетной системы Российской Федерации в информационно-телекоммуникационной сети "Интернет" в разделе "Бюджет" при формировании проекта федерального закона о федеральном бюджете (проекта федерального закона о внесении изменений в федеральный закон о федеральном бюджете).
Размер субсидии рассчитывается как сумма затрат на государственную поддержку реализации программ по созданию и развитию центров ранее отобранными центрами и затрат на государственную поддержку центров, планируемых к отбору и получению государственной поддержки в соответствующем финансовом году.
Размер затрат на поддержку реализации программ по созданию и развитию центров ранее отобранными центрами определяется как сумма грантов, предусмотренных программами создания и развития всех центров.
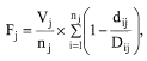
Размер затрат на поддержку центров, планируемых к отбору и получению государственной поддержки, определяется как произведение количества центров, планируемых к отбору и получению государственной поддержки, и максимального размера гранта, указанного в пункте 25 настоящих Правил.
Количество центров, планируемых к отбору и получению государственной поддержки, определяется как разность планового количества созданных и получивших государственную поддержку центров, предусмотренного федеральным проектом "Развитие масштабных научных и научно-технологических проектов по приоритетным исследовательским направлениям" национального проекта "Наука и университеты", и количества ранее отобранных центров.
Субсидия предоставляется оператору в целях финансового обеспечения затрат, связанных с: (Дополнен - Постановление Правительства Российской Федерации от 05.07.2021 № 1119)
государственной поддержкой центров в целях реализации федерального проекта "Развитие масштабных научных и научно-технологических проектов по приоритетным исследовательским направлениям" национального проекта "Наука и университеты" посредством предоставления грантов центрам; (Дополнен - Постановление Правительства Российской Федерации от 05.07.2021 № 1119)
осуществлением оператором организационно-технического и информационного обеспечения проведения конкурсного отбора на предоставление грантов на государственную поддержку центров, включая организацию экспертизы заявок участников указанного конкурсного отбора, сопровождения и мониторинга деятельности центров (далее - затраты на выполнение функций оператора). (Дополнен - Постановление Правительства Российской Федерации от 05.07.2021 № 1119)
Размер затрат на выполнение функций оператора не может превышать 5 процентов предельного размера затрат на государственную поддержку центров. (Дополнен - Постановление Правительства Российской Федерации от 05.07.2021 № 1119)
(Пункт в редакции Постановления Правительства Российской Федерации от 08.06.2021 № 872)
4. Гранты предоставляются организациям, структурными подразделениями которых являются центры, - победителям конкурсного отбора на предоставление грантов (далее соответственно - получатель гранта, победитель конкурсного отбора, конкурсный отбор). (В редакции Постановления Правительства Российской Федерации от 05.07.2021 № 1119)
Гранты выделяются в целях финансового обеспечения реализации программ создания и развития центров.
5. Центр обеспечивает выполнение программы создания и развития центра с учетом рекомендаций Экспертного совета по оценке результатов реализации программ создания и развития центров Национальной технологической инициативы на базе образовательных организаций высшего образования и научных организаций, образованного постановлением Правительства Российской Федерации от 30 апреля 2020 г. № 611 "Об Экспертном совете по оценке результатов реализации программ создания и развития центров Национальной технологической инициативы на базе образовательных организаций высшего образования и научных организаций, о внесении изменений в Правила предоставления субсидии из федерального бюджета на оказание государственной поддержки центров Национальной технологической инициативы на базе образовательных организаций высшего образования и научных организаций" (далее - Экспертный совет), посредством: (В редакции Постановления Правительства Российской Федерации от 30.04.2020 № 611)
а) реализации ключевых комплексных научно-исследовательских и опытно-конструкторских проектов в интересах создания новых технологий производства продукции участниками консорциума. Сведения об указанных проектах представляются в составе конкурсной заявки организации, структурным подразделением которой является центр, - участника конкурсного отбора; (В редакции Постановления Правительства Российской Федерации от 22.12.2018 № 1632)
б) обеспечения правовой охраны, управления правами и защиты как полученных получателем гранта результатов интеллектуальной деятельности, так и результатов интеллектуальной деятельности, переданных ему в управление;
в) разработки и реализации, в том числе в сетевой форме, основных образовательных программ высшего образования, программ дополнительного образования, дисциплин (модулей), направленных на формирование компетенций, необходимых для выполнения ключевых комплексных научно-исследовательских и опытно-конструкторских проектов, коммерциализации полученных результатов интеллектуальной деятельности, управления развитием рынков Национальной технологической инициативы;
г) развития информационной инфраструктуры, а также инфраструктуры научной, научно-технической и инновационной деятельности для обеспечения реализации планов мероприятий ("дорожных карт") Национальной технологической инициативы.
II. Предоставление субсидии оператору
6. Субсидия предоставляется на основании соглашения о предоставлении субсидии, заключаемого между Министерством науки и высшего образования Российской Федерации и оператором в соответствии с типовой формой, установленной Министерством финансов Российской Федерации (далее - соглашение о предоставлении субсидии).
Соглашение о предоставлении субсидии предусматривает в том числе:
согласие оператора на проведение Министерством науки и высшего образования Российской Федерации и органами государственного финансового контроля обязательных проверок соблюдения целей, порядка и условий предоставления субсидии, а также обязательство оператора по включению в договоры (соглашения), заключенные в целях исполнения обязательств по соглашению, положений о согласии лиц, являющихся поставщиками (подрядчиками, исполнителями), на проведение указанных проверок;
условие о согласовании новых условий соглашения о предоставлении субсидии или о расторжении соглашения о предоставлении субсидии при недостижении согласия по новым условиям в случае уменьшения Министерству науки и высшего образования Российской Федерации ранее доведенных лимитов бюджетных обязательств, приводящего к невозможности предоставления субсидии в размере, определенном соглашением о предоставлении субсидии;
условия, предусмотренные нормативными правовыми актами Правительства Российской Федерации, регулирующими вопросы казначейского сопровождения, осуществляемого в соответствии с бюджетным законодательством Российской Федерации;
условие о возможности осуществления расходов, источником финансового обеспечения которых являются не использованные в отчетном финансовом году остатки субсидии, при принятии Министерством науки и высшего образования Российской Федерации по согласованию с Министерством финансов Российской Федерации в установленном Правительством Российской Федерации порядке решения о наличии потребности в их использовании;
порядок, сроки представления отчетов, предусмотренных пунктом 331 настоящих Правил;
порядок и сроки возврата субсидии в федеральный бюджет в случае нарушения целей и условий ее предоставления;
значение результатов предоставления субсидии, а также показателей, необходимых для достижения результатов предоставления субсидии;
положения, аналогичные положениям, указанным в подпункте "м" пункта 5 и пункте 6 общих требований к нормативным правовым актам, муниципальным правовым актам, регулирующим предоставление субсидий, в том числе грантов в форме субсидий, юридическим лицам, индивидуальным предпринимателям, а также физическим лицам - производителям товаров, работ, услуг, утвержденных постановлением Правительства Российской Федерации от 18 сентября 2020 г. № 1492 "Об общих требованиях к нормативным правовым актам, муниципальным правовым актам, регулирующим предоставление субсидий, в том числе грантов в форме субсидий, юридическим лицам, индивидуальным предпринимателям, а также физическим лицам - производителям товаров, работ, услуг, и о признании утратившими силу некоторых актов Правительства Российской Федерации и отдельных положений некоторых актов Правительства Российской Федерации", в отношении центра. (В редакции Постановления Правительства Российской Федерации от 05.07.2021 № 1119)
Дополнительные соглашения к соглашению о предоставлении субсидии, предусматривающие внесение в него изменений и его расторжение (при необходимости), заключаются в соответствии с типовой формой, установленной Министерством финансов Российской Федерации.
Соглашение о предоставлении субсидии, дополнительные соглашения к нему, предусматривающие в том числе внесение в него изменений и его расторжение (при необходимости), заключаются в порядке, предусмотренном бюджетным законодательством Российской Федерации в государственной интегрированной информационной системе управления общественными финансами "Электронный бюджет".
Соглашение о предоставлении субсидии, дополнительные соглашения к нему, предусматривающие в том числе внесение в него изменений, заключаются по результатам рассмотрения Министерством науки и высшего образования Российской Федерации документов, указанных в пункте 8 настоящих Правил, при условии соответствия оператора требованиям, указанным в пункте 7 настоящих Правил.
(Пункт в редакции Постановления Правительства Российской Федерации от 08.06.2021 № 872)
61. Субсидия предоставляется в целях достижения результата предоставления субсидии.
Показателями, необходимыми для достижения результата предоставления субсидии, являются:
совокупная обеспеченная деятельностью центров численность подготовленных специалистов, имеющих высшее образование, по основным образовательным программам высшего образования и дополнительным образовательным программам, в том числе с использованием сетевых форм и дистанционных образовательных технологий, необходимых для разработки и (или) практического использования сквозных технологий Национальной технологической инициативы;
совокупное число заключенных организациями, структурными подразделениями которых являются центры, лицензионных соглашений на передачу права использования и (или) отчуждения права на результаты интеллектуальной деятельности, созданные центрами и (или) находящиеся под управлением центров;
совокупный размер средств, получаемых организациями, структурными подразделениями которых являются центры, от приносящей доход деятельности, источником которых является деятельность центров, в том числе управление правами на результаты интеллектуальной деятельности, реализация платных образовательных услуг, реализация научных исследований и разработок, экспертно-аналитическая и консультационная деятельность, осуществляемая на возмездной основе, а также получаемых за счет предоставления доступа к объектам информационной инфраструктуры и инфраструктуры научной, научно-технической и инновационной деятельности;
совокупное число полученных по итогам прикладных научных исследований и (или) экспериментальных разработок, осуществляемых центрами, охраняемых результатов интеллектуальной деятельности, предусмотренных Гражданским кодексом Российской Федерации. (Дополнен - Постановление Правительства Российской Федерации от 08.06.2021 № 872)
Достижением результата предоставления субсидии является достижение планового значения результата предоставления субсидии. Плановое значение результата предоставления субсидии включается в соглашение о предоставлении субсидии.
Показатели, необходимые для достижения результата предоставления субсидии, в том числе их плановые значения по годам, определяемые как совокупные плановые значения показателей реализации программ создания и развития центров, получивших государственную поддержку, предусматриваются соглашением о предоставлении субсидии.
Достигнутое значение результата предоставления субсидии ежегодно оценивается Министерством науки и высшего образования Российской Федерации через своевременное достижение показателей, необходимых для достижения результата предоставления субсидии, в соответствии с пунктом 36 настоящих Правил.
(Дополнены пунктом - Постановление Правительства Российской Федерации от 30.04.2020 № 611)
7. Оператор должен соответствовать на 1-е число месяца, предшествующего месяцу, в котором планируется заключение соглашения о предоставлении субсидии, следующим требованиям:
а) у оператора отсутствует неисполненная обязанность по уплате налогов, сборов, страховых взносов, пеней, штрафов, процентов, подлежащих уплате в соответствии с законодательством Российской Федерации о налогах и сборах;
б) у оператора отсутствуют просроченная задолженность по возврату в федеральный бюджет субсидий, бюджетных инвестиций, предоставленных в том числе в соответствии с иными нормативными правовыми актами, а также иная просроченная (неурегулированная) задолженность по денежным обязательствам перед Российской Федерацией; (В редакции Постановления Правительства Российской Федерации от 08.06.2021 № 872)
в) оператор не находится в процессе реорганизации (за исключением реорганизации в форме присоединения к оператору другого юридического лица), ликвидации, в отношении его не введена процедура банкротства, деятельность оператора не должна быть приостановлена в порядке, предусмотренном законодательством Российской Федерации; (В редакции постановлений Правительства Российской Федерации от 30.04.2020 № 611, от 08.06.2021 № 872)
г) оператор не является иностранным юридическим лицом либо российским юридическим лицом, в уставном (складочном) капитале которого доля участия иностранных юридических лиц, местом регистрации которых являются государство или территория, включенные в утверждаемый Министерством финансов Российской Федерации перечень государств и территорий, предоставляющих льготный налоговый режим налогообложения и (или) не предусматривающих раскрытия и предоставления информации при проведении финансовых операций (оффшорные зоны) в отношении таких юридических лиц, в совокупности превышает 50 процентов;
д) оператор не получает средства из федерального бюджета в соответствии с иными нормативными правовыми актами на цели, предусмотренные пунктом 1 настоящих Правил;
е) в реестре дисквалифицированных лиц отсутствуют сведения о дисквалифицированных руководителе, членах коллегиального органа или главном бухгалтере оператора. (Дополнен - Постановление Правительства Российской Федерации от 08.06.2021 № 872)
8. Предоставление субсидии осуществляется при условии представления оператором следующих документов:
а) копия учредительных документов оператора, заверенная в установленном порядке;
б) справка, подписанная руководителем оператора (иным уполномоченным лицом), подтверждающая отсутствие у оператора на 1-е число месяца, предшествующего месяцу, в котором планируется заключение соглашения о предоставлении субсидии, неисполненной обязанности по уплате налогов, сборов, страховых взносов, пеней, штрафов, процентов, подлежащих уплате в соответствии с законодательством Российской Федерации о налогах и сборах;
в) справка, подписанная руководителем оператора (иным уполномоченным лицом), подтверждающая отсутствие у оператора на 1-е число месяца, предшествующего месяцу, в котором планируется заключение соглашения о предоставлении субсидии, задолженности по возврату в установленном порядке в федеральный бюджет не использованных в отчетном финансовом году остатков субсидий (бюджетных инвестиций), наличие потребности в использовании которых в текущем финансовом году не подтверждено в установленном порядке, а также об отсутствии иной просроченной (неурегулированной) задолженности по денежным обязательствам перед Российской Федерацией; (В редакции Постановления Правительства Российской Федерации от 08.06.2021 № 872)
г) справка, подписанная руководителем оператора (иным уполномоченным лицом), подтверждающая отсутствие в реестре дисквалифицированных лиц сведений о дисквалифицированных руководителе, членах коллегиального органа или главном бухгалтере оператора на 1-е число месяца, предшествующего месяцу, в котором планируется заключение соглашения о предоставлении субсидии; (Дополнен - Постановление Правительства Российской Федерации от 08.06.2021 № 872)
д) справка, подписанная руководителем оператора (иным уполномоченным лицом), подтверждающая, что на 1-е число месяца, предшествующего месяцу, в котором планируется заключение соглашения о предоставлении субсидии, оператор не находится в процессе реорганизации (за исключением реорганизации в форме присоединения к оператору другого юридического лица), ликвидации, в отношении оператора не введена процедура банкротства, деятельность оператора не приостановлена в порядке, предусмотренном законодательством Российской Федерации; (Дополнен - Постановление Правительства Российской Федерации от 08.06.2021 № 872)
е) справка, подписанная руководителем оператора (иным уполномоченным лицом), подтверждающая, что на 1-е число месяца, предшествующего месяцу, в котором планируется заключение соглашения о предоставлении субсидии, оператор не является иностранным юридическим лицом или российским юридическим лицом, в уставном капитале которого доля участия иностранных юридических лиц, местом регистрации которых является государство или территория, включенные в утвержденный Министерством финансов Российской Федерации перечень государств и территорий, предоставляющих льготный налоговый режим налогообложения и (или) не предусматривающих раскрытия и предоставления информации при проведении финансовых операций (офшорные зоны), в совокупности превышает 50 процентов; (Дополнен - Постановление Правительства Российской Федерации от 08.06.2021 № 872)
ж) справка, подписанная руководителем оператора (иным уполномоченным лицом), подтверждающая, что на 1-е число месяца, предшествующего месяцу, в котором планируется заключение соглашения о предоставлении субсидии, оператор не получает средства из федерального бюджета в соответствии с иными нормативными правовыми актами Российской Федерации на цели, предусмотренные пунктом 1 настоящих Правил. (Дополнен - Постановление Правительства Российской Федерации от 08.06.2021 № 872)
9. Документы, указанные в пункте 8 настоящих Правил, прошиваются, нумеруются и подписываются лицом, имеющим право действовать от имени оператора. Ответственность за достоверность представляемых в Министерство науки и высшего образования Российской Федерации документов несет оператор в соответствии с законодательством Российской Федерации. (В редакции Постановления Правительства Российской Федерации от 10.09.2018 № 1078)
Датой представления документов, указанных в пункте 8 настоящих Правил, считается день их поступления в Министерство науки и высшего образования Российской Федерации. В случае представления оператором неполного комплекта документов либо документов, содержащих неполные сведения или оформленных ненадлежащим образом, такие документы возвращаются оператору в течение 10 рабочих дней со дня их поступления (с указанием причин возврата). (В редакции Постановления Правительства Российской Федерации от 10.09.2018 № 1078)
10. Министерство науки и высшего образования Российской Федерации рассматривает документы, указанные в пункте 8 настоящих Правил, и в 20-дневный срок со дня их поступления в Министерство принимает решение о заключении или об отказе в заключении соглашения о предоставлении субсидии, и в течение 5 дней уведомляет оператора о принятом решении (со дня его принятия). (В редакции Постановления Правительства Российской Федерации от 10.09.2018 № 1078)
11. Основаниями для отказа в заключении соглашения о предоставлении субсидии являются непредставление оператором (представление не в полном объеме) документов, указанных в пункте 8 настоящих Правил, или несоответствие представленных оператором документов требованиям, установленным пунктом 9 настоящих Правил, или установление факта недостоверности представленной оператором информации, а также несоответствие оператора требованиям, установленным пунктом 7 настоящих Правил. (В редакции Постановления Правительства Российской Федерации от 08.06.2021 № 872)
12. Перечисление субсидии оператору осуществляется на казначейский счет для осуществления и отражения операций с денежными средствами юридических лиц, не являющихся участниками бюджетного процесса, бюджетными и автономными учреждениями, открытый в территориальном органе Федерального казначейства, не позднее 2-го рабочего дня после представления в территориальный орган Федерального казначейства оператором распоряжений о совершении казначейских платежей для оплаты денежного обязательства оператора. (В редакции постановлений Правительства Российской Федерации от 08.06.2021 № 872, от 05.07.2021 № 1119)
121. За счет субсидий запрещается приобретать иностранную валюту, за исключением операций, осуществляемых в соответствии с валютным законодательством Российской Федерации при закупке (поставке) высокотехнологичного импортного оборудования, сырья и комплектующих изделий. (Дополнен - Постановление Правительства Российской Федерации от 22.12.2018 № 1632)
13. Информация о размере и сроках перечисления субсидии учитывается Министерством науки и высшего образования Российской Федерации при формировании прогноза кассовых выплат из федерального бюджета, необходимого для составления в установленном порядке кассового плана исполнения федерального бюджета. (В редакции Постановления Правительства Российской Федерации от 10.09.2018 № 1078)
14. (Утратил силу - Постановление Правительства Российской Федерации от 30.04.2020 № 611)
III. Предоставление гранта
15. Грант предоставляется получателю гранта на основании договора, который заключается между оператором и получателем гранта в соответствии с типовой формой, установленной Министерством финансов Российской Федерации (далее - договор о предоставлении гранта), в который могут быть добавлены в качестве самостоятельных разделов и приложений положения, не противоречащие указанной типовой форме. (В редакции Постановления Правительства Российской Федерации от 05.07.2021 № 1119)
151. Результатом предоставления субсидии в форме гранта (далее - результат предоставления гранта) является реализация программы создания и развития центра.
Показателями, необходимыми для достижения результата предоставления гранта, являются показатели реализации программы создания и развития центра, установленные программой создания и развития центра, предусмотренные подпунктом "о" пункта 21 настоящих Правил и договором о предоставлении гранта.
Достигнутое значение результата предоставления гранта рассчитывается как значение оценки реализации программы создания и развития центра в соответствии с пунктом 37 настоящих Правил.
(Дополнены пунктом - Постановление Правительства Российской Федерации от 30.04.2020 № 611)
16. Предоставление грантов осуществляется оператором. (В редакции Постановления Правительства Российской Федерации от 05.07.2021 № 1119)
17. (Утратил силу - Постановление Правительства Российской Федерации от 05.07.2021 № 1119)
18. (Утратил силу - Постановление Правительства Российской Федерации от 05.07.2021 № 1119)
19. (Утратил силу - Постановление Правительства Российской Федерации от 05.07.2021 № 1119)
20. Средства гранта, предоставляемые получателю гранта, подлежат казначейскому сопровождению. Перечисление средств гранта осуществляется на казначейский счет для осуществления и отражения операций с денежными средствами юридических лиц, не являющихся участниками бюджетного процесса, бюджетными и автономными учреждениями, открытый организации, структурным подразделением которой является центр, в территориальном органе Федерального казначейства, не позднее 2-го рабочего дня после представления в территориальный орган Федерального казначейства получателем субсидии распоряжений о совершении казначейских платежей для оплаты денежного обязательства получателя субсидии. (В редакции Постановления Правительства Российской Федерации от 05.07.2021 № 1119)
21. В рамках государственной поддержки центров оператор заключает с получателем гранта договор о предоставлении гранта, который включает: (В редакции Постановления Правительства Российской Федерации от 05.07.2021 № 1119)
а) цели, условия и порядок предоставления и использования гранта, в том числе условия и порядок использования средств гранта центром;
б) размер гранта, определяемый в соответствии с настоящими Правилами;
в) перечень работ, выполняемых центром за счет средств гранта;
г) перечень затрат, на финансовое обеспечение которых предоставляется грант;
д) показатели реализации программы создания и развития центра, в том числе их плановое значение по годам, предусмотренные программой создания и развития центра; (В редакции Постановления Правительства Российской Федерации от 30.04.2020 № 611)
е) ключевые контрольные точки по годам, предусмотренные программой создания и развития центра;
ж) сроки перечисления средств гранта;
з) порядок и сроки представления получателем гранта отчетности о ходе реализации программы создания и развития центра, о расходах, источником финансового обеспечения которых является грант, по формам, установленным Министерством науки и высшего образования Российской Федерации, и право оператора устанавливать сроки и формы предоставления получателем гранта дополнительной отчетности; (В редакции постановлений Правительства Российской Федерации от 10.09.2018 № 1078, от 30.04.2020 № 611, от 05.07.2021 № 1119)
и) перечень документов, представляемых получателем гранта для получения гранта;
к) обязанность оператора проводить проверку соблюдения получателем гранта условий, целей и порядка предоставления и использования гранта, которые установлены договором о предоставлении гранта, и согласие получателя гранта на проведение оператором, Министерством науки и высшего образования Российской Федерации и органом государственного финансового контроля проверки соблюдения целей и порядка предоставления и использования гранта; (В редакции Постановления Правительства Российской Федерации от 08.06.2021 № 872)
л) обязательство получателя гранта по уплате штрафных санкций и по возврату суммы гранта в случае нарушения условий, целей и порядка предоставления и использования гранта, а также в случае недостижения целевых значений показателей и ключевых контрольных точек, предусмотренных договором о предоставлении гранта, включая порядок расчета размера штрафных санкций, порядок возврата сумм, использованных получателем гранта;
м) условия и порядок расторжения договора о предоставлении гранта;
н) запрет приобретения получателем гранта иностранной валюты за счет полученных из федерального бюджета средств, за исключением операций, осуществляемых в соответствии с валютным законодательством Российской Федерации при закупке (поставке) высокотехнологичного импортного оборудования, сырья и комплектующих изделий, а также иных операций, связанных с достижением целей предоставления указанных средств;
о) право оператора и Министерства науки и высшего образования Российской Федерации осуществлять контроль за выполнением мероприятий программы создания и развития центра на основании отчетов о выполнении мероприятий программы создания и развития центра, содержащих в том числе сведения о достижении определенных в программе создания и развития центра показателей реализации программы создания и развития центра, включая сведения о достижении следующих показателей реализации программы создания и развития центра:
обеспеченная деятельностью центра численность подготовленных специалистов, имеющих высшее образование, по основным образовательным программам высшего образования и дополнительным образовательным программам, в том числе с использованием сетевых форм и дистанционных образовательных технологий, необходимых для разработки и (или) практического использования сквозных технологий Национальной технологической инициативы;
число заключенных организацией, структурным подразделением которой является центр, лицензионных соглашений на передачу права использования и (или) отчуждения права на результаты интеллектуальной деятельности, созданные центром и (или) находящиеся под управлением центра;
размер средств, получаемых организацией, структурным подразделением которой является центр, от приносящей доход деятельности, источником которых является деятельность центра, в том числе управление правами на результаты интеллектуальной деятельности, реализация платных образовательных услуг, реализация научных исследований и разработок, экспертно-аналитическая и консультационная деятельность, осуществляемая на возмездной основе, а также получаемых за счет предоставления доступа к объектам информационной инфраструктуры и инфраструктуры научной, научно-технической и инновационной деятельности;
(Подпункт в редакции Постановления Правительства Российской Федерации от 30.04.2020 № 611)
число полученных по итогам прикладных научных исследований и (или) экспериментальных разработок, осуществляемых центром, охраняемых результатов интеллектуальной деятельности, предусмотренных Гражданским кодексом Российской Федерации; (Дополнен - Постановление Правительства Российской Федерации от 08.06.2021 № 872)
п) обязанность получателя гранта представлять оператору в течение 3 лет со дня завершения срока предоставления гранта информацию о дальнейшей реализации программы создания и развития центра;
р) обязательства организации, структурным подразделением которой является центр, по возврату средств гранта в случае нарушения условий, целей и порядка предоставления гранта в течение 10 рабочих дней после получения требования к возврату средств гранта;
с) обязательства организации, структурным подразделением которой является центр, по обеспечению софинансирования деятельности центра за счет внебюджетных источников в размере не менее 100 процентов объема запланированной государственной поддержки по итогам 5 лет деятельности центра; (В редакции Постановления Правительства Российской Федерации от 22.12.2018 № 1632)
т) обязанность получателя гранта обеспечить согласие лиц, являющихся поставщиками (подрядчиками, исполнителями) по договорам (соглашениям), заключенным в целях исполнения обязательств по договорам о предоставлении грантов (за исключением государственных (муниципальных) унитарных предприятий, хозяйственных товариществ и обществ с участием публично-правовых образований в их уставных (складочных) капиталах, а также коммерческих организаций с участием таких товариществ и обществ в их уставных (складочных) капиталах), на осуществление Министерством науки и высшего образования Российской Федерации и органами государственного (муниципального) финансового контроля проверок соблюдения ими целей, условий и порядка предоставления субсидий; (Дополнен - Постановление Правительства Российской Федерации от 22.12.2018 № 1632)
у) обязательства организации, структурным подразделением которой является центр, по обеспечению доступа участников консорциума к использованию информационной инфраструктуры, а также инфраструктуры научной, научно-технической и инновационной деятельности для обеспечения реализации планов мероприятий ("дорожных карт") Национальной технологической инициативы; (Дополнен - Постановление Правительства Российской Федерации от 22.12.2018 № 1632)
ф) обязательства организации, структурным подразделением которой является центр, по обеспечению использования результатов реализации программы создания и развития центров в целях реализации планов мероприятий ("дорожных карт") Национальной технологической инициативы. (Дополнен - Постановление Правительства Российской Федерации от 22.12.2018 № 1632)
х) обязательство организации, структурным подразделением которой является центр, по направлению сведений о проведении научно-исследовательских, опытно-конструкторских и технологических работ гражданского назначения в Министерство науки и высшего образования Российской Федерации в порядке, предусмотренном постановлением Правительства Российской Федерации от 12 апреля 2013 г. № 327 "О единой государственной информационной системе учета научно-исследовательских, опытно-конструкторских и технологических работ гражданского назначения". (Дополнен - Постановление Правительства Российской Федерации от 08.06.2021 № 872)
ц) право оператора приостанавливать предоставление гранта в случае установления оператором или получения от органа государственного финансового контроля информации о факте нарушения получателем гранта порядка, целей и условий предоставления гранта, предусмотренных настоящими Правилами и договором о предоставлении гранта, в том числе указания в документах, представленных получателем гранта в соответствии с договором о предоставлении гранта, недостоверных сведений, до устранения указанных нарушений с обязательным уведомлением получателя гранта не позднее 10-го рабочего дня со дня принятия решения о приостановлении предоставления гранта. (Дополнен - Постановление Правительства Российской Федерации от 05.07.2021 № 1119)
211. (Утратил силу - Постановление Правительства Российской Федерации от 05.07.2021 № 1119)
212. Заключение оператором договора о предоставлении гранта с получателем гранта осуществляется при условии, что на 1-е число месяца, предшествующего месяцу, в котором планируется заключение договора о предоставлении гранта:
а) у получателя гранта отсутствует неисполненная обязанность по уплате налогов, сборов, страховых взносов, пеней, штрафов и процентов, подлежащих уплате в соответствии с законодательством Российской Федерации о налогах и сборах;
б) у получателя гранта отсутствует просроченная задолженность по возврату в федеральный бюджет субсидий, бюджетных инвестиций, предоставленных в том числе в соответствии с иными нормативными правовыми актами, а также иная просроченная (неурегулированная) задолженность по денежным обязательствам перед Российской Федерацией;
в) получатель гранта не находится в процессе реорганизации (за исключением реорганизации в форме присоединения к получателю гранта другого юридического лица), ликвидации, в отношении получателя гранта не введена процедура банкротства, деятельность получателя гранта не приостановлена в порядке, предусмотренном законодательством Российской Федерации;
г) получатель гранта не является иностранным юридическим лицом либо российским юридическим лицом, в уставном (складочном) капитале которого доля участия иностранных юридических лиц, местом регистрации которых являются государство или территория, включенные в утвержденный Министерством финансов Российской Федерации перечень государств и территорий, предоставляющих льготный налоговый режим налогообложения и (или) не предусматривающих раскрытия и предоставления информации при проведении финансовых операций (офшорные зоны), в совокупности превышает 50 процентов;
д) получатель гранта не получает средства из федерального бюджета в соответствии с иными нормативными правовыми актами Российской Федерации на цели, предусмотренные пунктом 1 настоящих Правил;
е) в реестре дисквалифицированных лиц отсутствуют сведения о дисквалифицированных руководителе, членах коллегиального органа или главном бухгалтере получателя гранта.
(Пункт в редакции Постановления Правительства Российской Федерации от 05.07.2021 № 1119)
22. (Утратил силу - Постановление Правительства Российской Федерации от 05.07.2021 № 1119)
23. Предельный размер финансового обеспечения программы создания и развития центра устанавливается конкурсной документацией для проведения конкурсного отбора, утверждаемой Министерством науки и высшего образования Российской Федерации (далее - конкурсная документация). (В редакции Постановления Правительства Российской Федерации от 10.09.2018 № 1078)
24. Годовой размер гранта для i-го получателя гранта в году t, отсчитываемого от начала года предоставления гранта, определяется по формуле:

где:
KS - коэффициент стоимостной группы затрат на исследования по сквозным технологиям, который принимает значения от 1 до 2 и устанавливается в конкурсной документации по согласованию с межведомственной рабочей группой по разработке и реализации Национальной технологической инициативы при Правительственной комиссии по модернизации экономики и инновационному развитию России; (В редакции Постановления Правительства Российской Федерации от 22.12.2018 № 1632)
Iit - размер средств гранта, предусмотренный программой создания и развития i-го центра, который требуется направить в году t на финансовое обеспечение приобретения оборудования и программного обеспечения;
miI - коэффициент научно-технологического потенциала i-го центра;
Sit - размер средств гранта, предусмотренный программой создания и развития i-го центра, который требуется направить в году t на финансовое обеспечение затрат на оплату труда работников организации, структурным подразделением которой является центр, являющихся персоналом центра (включая начисления на фонд оплаты труда);
miS - коэффициент ожидаемого вклада i-го центра в развитие сквозных технологий в Российской Федерации;
ki - коэффициент реализации программы создания и развития i-го центра;
Nt - коэффициент нормирования затрат, который может принимать значения от 0 до 1 (значения коэффициента нормирования затрат определяются Министерством науки и высшего образования Российской Федерации таким образом, чтобы общая сумма грантов в год не превышала общего размера субсидии на соответствующий год). (В редакции Постановления Правительства Российской Федерации от 10.09.2018 № 1078)
25. Размер средств гранта, предусмотренных программой создания и развития i-го центра, которые требуется направить в году t на финансовое обеспечение закупки оборудования, и размер средств гранта, предусмотренных программой создания и развития i-го центра, которые требуется направить в году t на финансовое обеспечение затрат, связанных с функционированием центра, за исключением закупки оборудования, не должны превышать 400 млн. рублей.
В случае если размер гранта, определенный в порядке, установленном пунктом 24 настоящих Правил, превышает размер гранта, предусмотренный программой создания и развития i-го центра, годовой размер гранта устанавливается в размере, предусмотренном программой создания и развития i-го центра. (Дополнен - Постановление Правительства Российской Федерации от 22.12.2018 № 1632)
26. Коэффициент научно-технологического потенциала i-го центра на основании данных, представленных в конкурсной заявке организации, структурным подразделением которой является i-й центр, по итогам года, предшествующего году проведения конкурсного отбора, определяется по формуле:

где:
j - принимает значения от 1 до 4;
Pi1 - нормированное число публикаций научно-педагогических работников участника конкурсного отбора в базах данных Web of Science и Scopus в расчете на 100 научно-педагогических работников за полные 3 года, предшествующие проведению конкурсного отбора;
Pi2 - нормированное число зарегистрированных результатов интеллектуальной деятельности в расчете на 100 научно-педагогических работников участника конкурсного отбора за полные 3 года, предшествующие проведению конкурсного отбора;
Pi3 - нормированное число использованных результатов интеллектуальной деятельности, переданных по лицензионному договору (соглашению), переданных по договору об отчуждении прав на результаты интеллектуальной деятельности, в том числе внесенных в качестве залога, внесенных в качестве вклада в уставный капитал, в расчете на 100 научно-педагогических работников участника конкурсного отбора за полные 3 года, предшествующие проведению конкурсного отбора;
Pi4 - нормированный размер затрат на исследования и разработки в расчете на 100 научно-педагогических работников участника конкурсного отбора в среднем за полные 3 года, предшествующие проведению конкурсного отбора;
- значение суммы нормированных показателей победителя конкурсного отбора, набравшего наибольшее значение суммы нормированных показателей среди всех победителей конкурсного отбора.
27. Нормирование указанных в пункте 26 настоящих Правил значений показателей числа публикаций научно-педагогических работников участника конкурсного отбора, числа зарегистрированных результатов интеллектуальной деятельности, числа использованных результатов интеллектуальной деятельности, переданных по лицензионному договору (соглашению), переданных по договору об отчуждении прав на результаты интеллектуальной деятельности, и размера затрат на исследования и разработки определяется по формуле:
 
где:
j - принимает значения от 1 до 4;
- число публикаций научно-педагогических работников участника конкурсного отбора, относящихся к персоналу центра, в базах данных Web of Science и Scopus в расчете на 100 научно-педагогических работников за полные 3 года, предшествующие проведению конкурсного отбора;
- число зарегистрированных результатов интеллектуальной деятельности в расчете на 100 научно-педагогических работников участника конкурсного отбора, относящихся к персоналу центра, за полные 3 года, предшествующие проведению конкурсного отбора;
- число использованных результатов интеллектуальной деятельности переданных по лицензионному договору (соглашению), переданных по договору об отчуждении прав на результаты интеллектуальной деятельности, в том числе внесенных в качестве залога, внесенных в качестве вклада в уставный капитал, в расчете на 100 научно-педагогических работников участника конкурсного отбора, относящихся к персоналу центра, за полные 3 года, предшествующие проведению конкурсного отбора;
-  объем затрат на исследования и разработки в расчете на одного научно-педагогического работника участника конкурсного отбора, из числа относящихся к персоналу центра, в среднем за полные 3 года, предшествующие проведению конкурсного отбора;
- наибольшее значение j-го показателя, рассчитанное по данным о значениях данного показателя для всех центров, являющихся структурными подразделениями организаций, - победителей конкурсного отбора.
28. Коэффициент ожидаемого вклада i-го центра в развитие сквозных технологий в Российской Федерации на основании оценок конкурсных заявок участников конкурсного отбора по шкале от 0 до 10 баллов определяется по формуле:
,
где:
Ei - оценка заявки от участника конкурсного отбора по шкале от 0 до 10 баллов, определяемая в соответствии с Положением о проведении конкурсного отбора;
max (Ei) - оценка заявки от победителя конкурсного отбора, набравшего наибольшее значение соответствующей оценки среди всех победителей конкурсного отбора;
 - значения показателей реализации программы создания и развития i-го центра, указанных в абзацах втором - пятом подпункта "о" пункта 21 настоящих Правил;
, 
, 
, 
 - наибольшие значения показателя, рассчитанные по данным о значениях данного показателя для всех победителей конкурсного отбора.
(Пункт в редакции Постановления Правительства Российской Федерации от 08.06.2021 № 872)
29. (Утратил силу - Постановление Правительства Российской Федерации от 08.06.2021 № 872)
30. Методика проведения экспертной оценки ожидаемого вклада центра в развитие сквозных технологий в Российской Федерации содержится в конкурсной документации и учитывает соответствие направлений деятельности центра целям и задачам, предусмотренным планами мероприятий ("дорожными картами"), вклад программы создания и развития центра, представленной участником конкурсного отбора, в развитие сквозных технологий и степень вовлеченности участника конкурсного отбора в соответствии с программой создания и развития центра в исследовательскую и образовательную кооперацию в связи с развитием сквозных технологий.
31. Коэффициент реализации программы создания и развития i-го центра, получившего грантовую поддержку, устанавливается Министерством науки и высшего образования Российской Федерации в диапазоне от 0 до 1 (на первый год реализации программы создания и развития центра значение коэффициента реализации программы создания и развития i-го центра, получившего грантовую поддержку, устанавливается равным единице). (В редакции Постановления Правительства Российской Федерации от 10.09.2018 № 1078)
32. Не использованный на 1 января текущего финансового года остаток средств гранта используется в порядке, установленном договором о предоставлении гранта, на те же цели, на которые предоставлялся грант.
IV. Контроль за использованием субсидии и отчетность
33. Контроль за соблюдением условий, целей и порядка предоставления субсидии, которые предусмотрены настоящими Правилами, осуществляется Министерством науки и высшего образования Российской Федерации и органами государственного финансового контроля. (В редакции постановлений Правительства Российской Федерации от 10.09.2018 № 1078, от 30.04.2020 № 611)
331. Оператор ежегодно представляет в Министерство науки и высшего образования Российской Федерации не позднее 30-го рабочего дня, следующего за отчетным годом, отчет о достижении значений результата предоставления субсидии и показателей, необходимых для достижения результата предоставления субсидии, отчет об осуществлении расходов, источником финансового обеспечения которых является субсидия, по формам, определенным типовыми формами соглашений, установленными Министерством финансов Российской Федерации. (В редакции Постановления Правительства Российской Федерации от 08.06.2021 № 872)
Министерство науки и высшего образования Российской Федерации вправе установить в соглашении о предоставлении субсидии сроки и формы представления получателем субсидии дополнительной отчетности.
(Дополнены пунктом - Постановление Правительства Российской Федерации от 30.04.2020 № 611)
34. В случае установления факта нарушения целей, условий и порядка предоставления субсидии, которые предусмотрены настоящими Правилами, в том числе по итогам проверок, проведенных Министерством науки и высшего образования Российской Федерации и органами государственного финансового контроля, а также в случае недостижения значений результата предоставления субсидии и показателей, необходимых для достижения результата предоставления субсидии, соответствующие средства подлежат возврату в доход федерального бюджета: (В редакции Постановления Правительства Российской Федерации от 08.06.2021 № 872)
а) на основании требования Министерства науки и высшего образования Российской Федерации не позднее 10-го рабочего дня со дня получения указанного требования оператором; (В редакции Постановления Правительства Российской Федерации от 10.09.2018 № 1078)
б) на основании представления и (или) предписания органа государственного финансового контроля, в сроки, установленные в соответствии с бюджетным законодательством Российской Федерации. (В редакции постановлений Правительства Российской Федерации от 30.04.2020 № 611, от 08.06.2021 № 872)
35. Оценка результата предоставления субсидии оператором осуществляется Министерством науки и высшего образования Российской Федерации по итогам завершенного финансового года. (В редакции постановлений Правительства Российской Федерации от 10.09.2018 № 1078, от 30.04.2020 № 611)
Абзац. (Утратил силу - Постановление Правительства Российской Федерации от 08.06.2021 № 872)
36. Достигнутое значение результата предоставления субсидии определяется на основании данных отчетов о выполнении мероприятий программ создания и развития центров по формуле: (В редакции Постановления Правительства Российской Федерации от 30.04.2020 № 611)

где:
Aj - оценка реализации программы создания и развития j-го центра, получившего грантовую поддержку; (В редакции Постановления Правительства Российской Федерации от 30.04.2020 № 611)
m - число получателей грантов.
37. Значение оценки реализации программы создания и развития j-го центра, получившего грантовую поддержку, определяется с использованием показателей реализации программы создания и развития центра, предусмотренных договором о предоставлении гранта, по формуле:
,
где:
 - число показателей реализации программы создания и развития j-го центра, получившего грантовую поддержку;
 - значение i-го показателя реализации программы создания и развития j-го центра, получившего грантовую поддержку, достигнутое в отчетный период;
 - плановое значение i-го показателя реализации программы создания и развития j-го центра, получившего грантовую поддержку, установленное на отчетный период.
(Пункт в редакции Постановления Правительства Российской Федерации от 30.04.2020 № 611)
38. В случае если значение оценки реализации программы создания и развития j-го центра, получившего грантовую поддержку, в отчетном финансовом году на основании сведений о показателях реализации программы создания и развития центра, получившего грантовую поддержку, составляет менее 90 процентов, оператор применяет к организации, структурным подразделением которой является центр, штрафные санкции, направленные на взыскание средств, предоставленных получателю гранта. (В редакции Постановления Правительства Российской Федерации от 30.04.2020 № 611)
39. Расчет размера штрафных санкций определяется по формуле:

где Vj - размер средств федерального бюджета, фактически использованных за отчетный период для финансового обеспечения государственной поддержки j-го центра. (В редакции постановлений Правительства Российской Федерации от 22.12.2018 № 1632, от 05.07.2021 № 1119)
40. Средства, взысканные оператором с организаций, структурными подразделениями которых являются центры, в форме штрафных санкций, подлежат возврату в доход федерального бюджета в порядке, установленном законодательством Российской Федерации, в течение 10 рабочих дней со дня получения получателем субсидии соответствующего требования Министерства науки и высшего образования Российской Федерации и (или) органа государственного финансового контроля. (В редакции постановлений Правительства Российской Федерации от 10.09.2018 № 1078, от 05.07.2021 № 1119)
41. Правила мониторинга реализации программ создания и развития центров, в том числе формы отчетов о выполнении мероприятий программ создания и развития центров и порядок расчета показателей реализации программы создания и развития центра и (или) соотношений таких показателей для центров, утверждаются оператором с целью обеспечения системного наблюдения за реализацией мероприятий программ создания и развития центров, включая контроль за проводимыми центрами научно-исследовательскими и опытно-конструкторскими проектами. (В редакции постановлений Правительства Российской Федерации от 22.12.2018 № 1632, от 30.04.2020 № 611)
42. Контроль за соблюдением получателем гранта целей, условий и порядка предоставления гранта, которые установлены договором о предоставлении гранта, осуществляет оператор. (В редакции Постановления Правительства Российской Федерации от 05.07.2021 № 1119)
421. (Утратил силу - Постановление Правительства Российской Федерации от 18.11.2020 № 1872)
43. Оператор ежегодно, не позднее 1 апреля года, следующего за отчетным годом, представляет в Экспертный совет доклад о результатах деятельности центров с представлением информации по каждому центру на основании отчетов о выполнении мероприятий программ создания и развития центров. (В редакции постановлений Правительства Российской Федерации от 10.09.2018 № 1078, от 18.11.2020 № 1872)
44. На основании доклада, указанного в пункте 43 настоящих Правил, Экспертный совет направляет в Министерство науки и высшего образования Российской Федерации рекомендации о повышении эффективности реализации Национальной технологической инициативы, включая рекомендации о корректировке размера гранта, предоставляемого в году t получателю гранта, структурным подразделением которого является i-й центр, путем изменения значений коэффициента реализации программы создания и развития i-го центра или о прекращении предоставления поддержки в форме гранта i-му центру. (В редакции Постановления Правительства Российской Федерации от 18.11.2020 № 1872)
45. Внесение изменений в программы создания и развития центров осуществляется центрами:
а) на основании рекомендаций Экспертного совета по согласованию с Министерством науки и высшего образования Российской Федерации и оператором не чаще чем один раз в год после представления оператором доклада, указанного в пункте 43 настоящих Правил;
б) в части изменений, не касающихся изменения ключевых контрольных точек, общих сроков реализации программ и объемов финансирования, по согласованию с оператором.
(Пункт в редакции Постановления Правительства Российской Федерации от 18.11.2020 № 1872)
ПРИЛОЖЕНИЕ
к Правилам предоставления
субсидии из федерального бюджета
на оказание государственной поддержки центров Национальной технологической инициативы на базе образовательных организаций высшего образования
и научных организаций
ОТЧЕТ
о достижении результата предоставления субсидии и показателей, необходимых для достижения результата предоставления субсидии,
по состоянию на 20 года
(Утратил силу - Постановление Правительства Российской Федерации от 08.06.2021 № 872)
____________
УТВЕРЖДЕН
постановлением Правительства
Российской Федераци
от 16 октября 2017 г. № 1251
ПОЛОЖЕНИЕ
о проведении конкурсного отбора на предоставление грантов на государственную поддержку центров Национальной технологической инициативы на базе образовательных организаций высшего образования и научных организаций
(В редакции постановлений Правительства Российской Федерации от 10.09.2018 № 1078, от 22.12.2018 № 1632, от 18.11.2020 № 1872, от 08.06.2021 № 872, от 05.07.2021 № 1119)
1. Настоящее Положение определяет порядок проведения конкурсного отбора на предоставление грантов на государственную поддержку центров Национальной технологической инициативы на базе образовательных организаций высшего образования и научных организаций (далее соответственно - грант, конкурсный отбор).
2. Понятия, используемые в настоящем Положении, означают следующее:
"оператор" - организация, наделенная функциями проектного офиса Национальной технологической инициативы в части предоставления грантов на государственную поддержку центров Национальной технологической инициативы на базе образовательных организаций высшего образования и научных организаций (далее - центр) и осуществления организационно-технического и информационного обеспечения проведения конкурсного отбора на предоставление грантов на государственную поддержку центров, включая организацию экспертизы заявок участников указанного конкурсного отбора, сопровождения и мониторинга деятельности центров; (В редакции Постановления Правительства Российской Федерации от 05.07.2021 № 1119)
"программа создания и развития центра" - документ, содержащий совокупность взаимоувязанных проектов и мероприятий, направленных на развитие сквозных технологий, включая кадровое и инфраструктурное обеспечение комплексных научно-исследовательских и опытно-конструкторских проектов, реализацию образовательных программ подготовки научных и инженерных кадров, а также кадров в области продвижения новых товаров и услуг, развития дизайна товаров и услуг в интересах рынков Национальной технологической инициативы, перечень контрольных точек и показателей реализации программы создания и развития центра, перечень организаций, участвующих в реализации программы создания и развития центра с указанием их функций, сведения о планируемых доходах и расходах центра, представленных в заявке участника конкурсного отбора на получение государственной поддержки центров; (В редакции Постановления Правительства Российской Федерации от 08.06.2021 № 872)
"показатели реализации программы создания и развития центра" - показатели, определенные программой создания и развития центра, указанные в подпункте "о" пункта 21 Правил предоставления субсидии из федерального бюджета на оказание государственной поддержки центров Национальной технологической инициативы на базе образовательных организаций высшего образования и научных организаций, утвержденных постановлением Правительства Российской Федерации от 16 октября 2017 г. № 1251 "Об утверждении Правил предоставления субсидии из федерального бюджета на оказание государственной поддержки центров Национальной технологической инициативы на базе образовательных организаций высшего образования и научных организаций и Положения о проведении конкурсного отбора на предоставление грантов на государственную поддержку центров Национальной технологической инициативы на базе образовательных организаций высшего образования и научных организаций" (далее - Правила предоставления субсидии), используемые для оценки выполнения программы создания и развития центра; (В редакции Постановления Правительства Российской Федерации от 08.06.2021 № 872)
"сквозная технология" - ключевое научно-техническое направление, развитие которого позволит обеспечить радикальное изменение ситуации на существующих рынках технологий, продуктов и услуг или будет способствовать формированию новых рынков;
"участник консорциума" - научная организация, образовательная организация высшего образования, инжиниринговая, производственная или иная организация, заключившая соглашение о формировании консорциума, участвующая в программе создания и развития центра; (Дополнен - Постановление Правительства Российской Федерации от 22.12.2018 № 1632)
"центр" - структурное подразделение, создаваемое на базе образовательной организации высшего образования или научной организации (далее - организация, структурным подразделением которой является центр), осуществляющее комплексное развитие сквозных технологий Национальной технологической инициативы совместно с иными образовательными и (или) научными организациями и иными хозяйствующими субъектами, включая промышленные предприятия.
3. Организатором конкурсного отбора является оператор.
Оператором обеспечивается деятельность конкурсной комиссии. Положение о конкурсной комиссии и ее состав утверждаются Министерством науки и высшего образования Российской Федерации с учетом рекомендаций межведомственной рабочей группы по разработке и реализации Национальной технологической инициативы при Правительственной комиссии по модернизации экономики и инновационному развитию России. (В редакции Постановления Правительства Российской Федерации от 10.09.2018 № 1078)
В состав конкурсной комиссии включаются представители рабочих групп по разработке и реализации планов мероприятий ("дорожных карт") Национальной технологической инициативы, которые не являются представителями заинтересованных федеральных органов исполнительной власти. В случае если в конкурсном отборе участвует организация, в отношении которой у членов конкурсной комиссии возникает конфликт интересов, соответствующие члены конкурсной комиссии не допускаются к рассмотрению вопросов в отношении такой организации. (Дополнен - Постановление Правительства Российской Федерации от 22.12.2018 № 1632)
Заседания конкурсной комиссии могут проводиться в очной и заочной формах. (Дополнен - Постановление Правительства Российской Федерации от 08.06.2021 № 872)
31. Конкурсная комиссия осуществляет следующие функции:
а) рассматривает заявки на участие в конкурсном отборе (далее - заявки) на соответствие требованиям, установленным конкурсной документацией, в целях принятия решения о допуске заявки к участию в конкурсном отборе или об отказе в допуске заявки к участию в конкурсном отборе;
б) рассматривает результаты экспертизы заявок и по результатам такого рассмотрения принимает решение о возможности проведения оценки заявок с учетом предоставленных результатов экспертизы или направляет заявки на повторную экспертизу (в целях получения дополнительной информации по содержанию заявок, необходимой для проведения оценки заявок);
в) осуществляет оценку заявок и по результатам оценки заявок определяет победителя конкурсного отбора или принимает решение о признании конкурсного отбора несостоявшимся (по одной или нескольким сквозным технологиям);
г) принимает решение об определении участника конкурсного отбора, которому предоставляется право заключения договора о предоставлении гранта, в случае отказа победителя конкурсного отбора от заключения договора о предоставлении гранта или о признании победителя конкурсного отбора уклонившимся от заключения договора о предоставлении гранта;
д) на основании предложения Министерства науки и высшего образования Российской Федерации о годовом размере гранта, рассчитанном в соответствии с пунктами 24 - 28 Правил предоставления субсидии, утверждает годовой размер гранта, предоставляемого победителю конкурсного отбора.
(Дополнено пунктом - Постановление Правительства Российской Федерации от 08.06.2021 № 872)
4. Конкурсный отбор является открытым.
Участником конкурсного отбора признается организация, структурным подразделением которой является центр, или организация, принимающая на себя обязательство по созданию центра в случае признания ее победителем конкурсного отбора, подавшая заявку, соответствующую требованиям, установленным в конкурсной документации на проведение конкурсного отбора (далее соответственно - участник конкурсного отбора, конкурсная документация). Конкурсная документация разрабатывается оператором, согласовывается автономной некоммерческой организацией "Платформа Национальной технологической инициативы" и утверждается Министерством науки и высшего образования Российской Федерации. (В редакции Постановления Правительства Российской Федерации от 05.07.2021 № 1119)
Участник конкурсного отбора на 1-е число месяца, предшествующего месяцу, в котором планируется проведение конкурсного отбора, должен соответствовать следующим требованиям:
а) у участника конкурсного отбора отсутствует неисполненная обязанность по уплате налогов, сборов, страховых взносов, пеней, штрафов, процентов, подлежащих уплате в соответствии с законодательством Российской Федерации о налогах и сборах;
б) у участника конкурсного отбора отсутствует просроченная задолженность по возврату в федеральный бюджет субсидий, бюджетных инвестиций, предоставленных в том числе в соответствии с иными правовыми актами, а также иная просроченная (неурегулированная) задолженность по денежным обязательствам перед Российской Федерацией;
в) участник конкурсного отбора не находится в процессе реорганизации (за исключением реорганизации в форме присоединения к юридическому лицу, являющемуся участником отбора, другого юридического лица), ликвидации, в отношении его не введена процедура банкротства, деятельность участника конкурсного отбора не приостановлена в порядке, предусмотренном законодательством Российской Федерации;
г) в реестре дисквалифицированных лиц отсутствуют сведения о дисквалифицированных руководителе, членах коллегиального исполнительного органа, лице, исполняющем функции единоличного исполнительного органа, или главном бухгалтере участника конкурсного отбора;
д) участник конкурсного отбора не является иностранным юридическим лицом, а также российским юридическим лицом, в уставном капитале которого доля участия иностранных юридических лиц, местом регистрации которых является государство или территория, включенные в утвержденный Министерством финансов Российской Федерации перечень государств и территорий, предоставляющих льготный налоговый режим налогообложения и (или) не предусматривающих раскрытия и предоставления информации при проведении финансовых операций (офшорные зоны), в совокупности превышает 50 процентов;
е) участник конкурсного отбора не получает средства из федерального бюджета в соответствии с иными нормативными правовыми актами Российской Федерации на цели, установленные пунктом 1 настоящего Положения.
(Пункт в редакции Постановления Правительства Российской Федерации от 08.06.2021 № 872)
5. Гранты предоставляются организациям, структурными подразделениями которых являются центры, - победителям конкурсного отбора (далее - получатель гранта). (В редакции Постановления Правительства Российской Федерации от 05.07.2021 № 1119)
Гранты выделяются в целях финансового обеспечения реализации программ создания и развития центров.
6. Центр обеспечивает выполнение программы создания и развития центра посредством:
а) реализации ключевых комплексных научно-исследовательских и опытно-конструкторских проектов в интересах создания новых технологий производства продукции участниками консорциума. Сведения об указанных проектах представляются в составе заявки; (В редакции Постановления Правительства Российской Федерации от 22.12.2018 № 1632)
б) обеспечения правовой охраны, управления правами и защиты как полученных получателем гранта результатов интеллектуальной деятельности, так и результатов интеллектуальной деятельности, переданных ему в управление;
в) разработки и реализации, в том числе в сетевой форме, основных образовательных программ высшего образования, программ дополнительного образования, дисциплин (модулей), направленных на формирование компетенций, необходимых для выполнения ключевых комплексных научно-исследовательских и опытно-конструкторских проектов, коммерциализации полученных результатов интеллектуальной деятельности, управления развитием рынков Национальной технологической инициативы;
г) развития информационной инфраструктуры, а также инфраструктуры научной, научно-технической и инновационной деятельности для обеспечения реализации планов мероприятий ("дорожных карт") Национальной технологической инициативы.
7. Реализация программы создания и развития центра осуществляется центром в партнерстве с другими образовательными организациями высшего образования, а также с научными, инжиниринговыми, производственными и иными организациями, в том числе зарубежными (далее - консорциум), в порядке, предусмотренном законодательством Российской Федерации.
Абзац. (Утратил силу - Постановление Правительства Российской Федерации от 05.07.2021 № 1119)
8. Конкурсный отбор проводится в два этапа.
На 1-м этапе конкурсного отбора осуществляются:
а) сбор заявок и их рассмотрение конкурсной комиссией;
б) организация и проведение экспертизы заявок.
На 2-м этапе конкурсного отбора осуществляются:
а) рассмотрение конкурсной комиссией результатов экспертизы в целях определения возможности их учета при проведении оценки заявок;
б) оценка заявок и подведение итогов конкурсного отбора.
(Пункт в редакции Постановления Правительства Российской Федерации от 08.06.2021 № 872)
9. (Утратил силу - Постановление Правительства Российской Федерации от 08.06.2021 № 872)
91. (Утратил силу - Постановление Правительства Российской Федерации от 08.06.2021 № 872)
10. В целях проведения конкурсного отбора оператор размещает на едином портале бюджетной системы Российской Федерации в информационно-телекоммуникационной сети "Интернет" (далее - единый портал), а также на своем официальном сайте в информационно-телекоммуникационной сети "Интернет" (далее - официальный сайт оператора) не менее чем за 30 дней до истечения срока подачи заявок объявление о проведении конкурсного отбора и конкурсную документацию. (В редакции Постановления Правительства Российской Федерации от 05.07.2021 № 1119)
Объявление о проведении конкурсного отбора содержит следующую информацию:
сроки проведения конкурсного отбора;
дата и время начала (окончания) подачи заявок;
дата, время и место рассмотрения заявок;
дата, время и место оценки заявок;
наименование, место нахождения, почтовый адрес, адрес электронной почты оператора;
результат (результаты) предоставления гранта;
адрес официального сайта оператора, на котором обеспечивается проведение конкурсного отбора.
Оператор организует прием заявок в сроки, установленные в объявлении о проведении конкурсного отбора.
(Пункт в редакции Постановления Правительства Российской Федерации от 08.06.2021 № 872)
11. Конкурсная документация должна содержать следующую информацию:
а) краткое описание сквозной технологии;
б) требования к участникам конкурсного отбора;
в) порядок и сроки подачи заявок, а также требования к форме и содержанию заявок в соответствии с пунктом 12 настоящего Положения, в том числе к программе создания и развития центра;
г) порядок отзыва заявок участников конкурсного отбора, порядок возврата заявок участников конкурсного отбора, определяющий в том числе основания для возврата заявок участников конкурсного отбора, порядок внесения изменений в заявки участников конкурсного отбора;
д) порядок предоставления участникам конкурсного отбора разъяснений положений объявления о проведении конкурсного отбора и конкурсной документации, даты начала и окончания срока такого предоставления;
е) порядок рассмотрения заявок на предмет их соответствия требованиям, установленным в конкурсной документации;
ж) порядок проведения экспертизы заявок;
з) критерии оценки заявок;
и) правила оценки заявок, включая весовое значение критериев оценки заявок в общей оценке заявки, а также правила присвоения порядковых номеров заявкам участников конкурсного отбора по результатам оценки заявок;
к) срок, в течение которого победитель конкурсного отбора должен подписать договор о предоставлении гранта;
л) условия признания победителя конкурсного отбора уклонившимся от заключения договора о предоставлении гранта;
м) срок размещения на едином портале и на официальном сайте оператора результатов конкурсного отбора. (В редакции Постановления Правительства Российской Федерации от 05.07.2021 № 1119)
(Пункт в редакции Постановления Правительства Российской Федерации от 08.06.2021 № 872)
12. Для участия в конкурсном отборе организация, желающая принять участие в конкурсном отборе (далее - организация-заявитель), подает заявку по форме и в порядке, которые предусмотрены конкурсной документацией. Организация-заявитель вправе подать одну заявку на участие в конкурсном отборе по каждой сквозной технологии.
Заявка включает в том числе:
а) программу создания и развития центра;
б) документы, подтверждающие согласие организации-заявителя на публикацию (размещение) в информационно-телекоммуникационной сети "Интернет" информации об организации-заявителе, о подаваемой организацией-заявителем заявке, иной информации об организации-заявителе, связанной с соответствующим конкурсным отбором;
в) справку (справки), подписанную руководителем организации-заявителя (иным уполномоченным лицом), подтверждающую соответствие организации-заявителя требованиям, установленным пунктом 4 настоящего Положения, на 1-е число месяца, предшествующего месяцу, в котором планируется проведение конкурсного отбора;
г) письмо, подписанное руководителем организации-заявителя (иным уполномоченным лицом), подтверждающее принятие обязательства по созданию центра в случае признания организации-заявителя победителем конкурсного отбора;
д) документы, подтверждающие привлечение участником отбора средств внебюджетных источников в объеме не менее 50 процентов размера гранта на проведение прикладных научных исследований и (или) экспериментальных разработок.
(Пункт в редакции Постановления Правительства Российской Федерации от 08.06.2021 № 872)
13. Бюджетные и автономные учреждения, не находящиеся в ведении Министерства науки и высшего образования Российской Федерации или Правительства Российской Федерации, представляют в составе заявки письменное согласие федеральных органов исполнительной власти, органов исполнительной власти субъектов Российской Федерации или организаций, осуществляющих функции и полномочия учредителей указанных учреждений, на их участие в конкурсном отборе в соответствии с условиями конкурсного отбора (на бланке соответствующего органа или организации). (В редакции Постановления Правительства Российской Федерации от 10.09.2018 № 1078)
131. В рамках 1-го этапа проведения конкурсного отбора конкурсная комиссия в срок, установленный конкурсной документацией, рассматривает заявки на предмет их соответствия требованиям, установленным конкурсной документацией, и по результатам рассмотрения принимает решение о допуске заявки к участию в конкурсном отборе и признании организации-заявителя участником конкурсного отбора или об отказе в допуске заявки к участию в конкурсном отборе.
Решение об отказе в допуске заявки к участию в конкурсном отборе принимается в случаях:
несоответствия заявки требованиям, установленным конкурсной документацией;
несоответствия организации-заявителя требованиям, установленным пунктом 4 настоящего Положения;
недостоверности представленной организацией-заявителем информации, в том числе информации о месте нахождения и адресе юридического лица;
подачи организацией-заявителем заявки после даты и (или) времени, которые определены для подачи заявок.
(Дополнено пунктом - Постановление Правительства Российской Федерации от 08.06.2021 № 872)
132. Результаты рассмотрения заявок фиксируются в протоколе рассмотрения заявок, в котором содержится информация о дате, времени и месте рассмотрения заявок, об организациях-заявителях, заявки которых были рассмотрены, организациях-заявителях, признанных участниками конкурсного отбора, заявки которых допущены к участию в конкурсном отборе, а также об организациях-заявителях, заявки которых не допущены к участию в конкурсном отборе, с указанием причины отказа от допуска к участию в конкурсном отборе, в том числе положений объявления о проведении конкурсного отбора и конкурсной документации, которым не соответствуют такие заявки.
Протокол рассмотрения заявок направляется Министерством науки и высшего образования Российской Федерации оператору в срок, не превышающий 3 рабочих дней со дня его подписания. Протокол рассмотрения заявок размещается оператором на официальном сайте оператора в срок, не превышающий 3 рабочих дней со дня его получения.
(Дополнено пунктом - Постановление Правительства Российской Федерации от 08.06.2021 № 872)
14. В срок, не превышающий 10 рабочих дней со дня размещения протокола рассмотрения заявок на официальном сайте оператора, заявки участников конкурсного отбора направляются на экспертизу. Организацию экспертизы заявок обеспечивает оператор. (В редакции Постановления Правительства Российской Федерации от 08.06.2021 № 872)
К экспертизе заявок по отдельным критериям, предусмотренным пунктом 141 настоящего Положения, привлекаются одна или несколько организаций, имеющих опыт осуществления государственной экспертизы научной, научно-технической и инновационной деятельности, отобранных в установленном порядке (далее - экспертная организация). (В редакции Постановления Правительства Российской Федерации от 08.06.2021 № 872)
141. При проведении экспертизы заявок учитывается соответствие заявок следующим критериям:
а) научно-технический задел участника конкурсного отбора в области сквозной технологии, опыт управления правами на результаты интеллектуальной деятельности, в том числе с учетом результатов научно-публикационной активности его участников;
б) масштабность и сложность научно-технологических задач, решаемых в ходе выполнения научно-исследовательских, опытно-конструкторских работ, и перспективы их коммерциализации, в том числе с учетом международного патентного ландшафта;
в) число и научно-технологическая значимость созданных результатов интеллектуальной деятельности для развития сквозной технологии;
г) обоснованность выбора направлений исследований и разработок;
д) квалификация и потенциал коллектива исполнителей, а также достаточность числа участников консорциума и сбалансированность консорциума;
е) наличие и качество инфраструктуры для научной, научно-технической и инновационной деятельности;
ж) планируемый объем доходов участника конкурсного отбора, обеспечиваемых деятельностью центра;
з) план развития партнерских отношений участника конкурсного отбора, в том числе вовлеченности в деятельность центра российских и иностранных хозяйствующих субъектов, в интересах развития сквозных технологий;
и) соответствие планируемых к разработке и реализации образовательных программ высшего образования, дисциплин (модулей) научно-технологическим задачам центра, а также утвержденным планам мероприятий ("дорожным картам") Национальной технологической инициативы и приоритетам Стратегии научно-технологического развития Российской Федерации, утвержденной Указом Президента Российской Федерации от 1 декабря 2016 г. № 642 "О Стратегии научно-технологического развития Российской Федерации";
к) обоснованность и сбалансированность затрат на научно-технологическое развитие, включая оплату труда научно-исследовательского персонала и закупку оборудования и (или) материалов, необходимых для развития и функционирования центра, а также на организационно-административную деятельность, в том числе затраты на администрирование и создание системы технологического трансфера и управления правами на результаты интеллектуальной деятельности и затраты, связанные с разработкой образовательных программ высшего образования по сквозным технологиям и организацией очной формы обучения, реализацией образовательных программ в сетевой форме, а также с применением электронного обучения и дистанционных образовательных технологий;
л) вклад планируемых результатов выполнения научно-исследовательских и опытно-конструкторских работ в достижение целевых показателей планов мероприятий ("дорожных карт") Национальной технологической инициативы (при этом удельный вес данного критерия в общей оценке заявки устанавливается на уровне не менее чем в 1,5 раза выше среднего веса экспертных оценок иных критериев, указанных в настоящем пункте).
(Дополнено пунктом - Постановление Правительства Российской Федерации от 08.06.2021 № 872)
142. Экспертиза заявок завершается не позднее 30 рабочих дней со дня представления оператором заявок в экспертную организацию. Результаты экспертизы передаются экспертной организацией оператору. (Дополнен - Постановление Правительства Российской Федерации от 08.06.2021 № 872)
15. В целях проведения 2-го этапа конкурсного отбора оператор в срок, не превышающий 5 рабочих дней со дня получения результатов экспертизы, передает полученные от экспертной организации результаты экспертизы для рассмотрения конкурсной комиссией. (В редакции Постановления Правительства Российской Федерации от 08.06.2021 № 872)
16. На 2-м этапе конкурсного отбора конкурсная комиссия рассматривает полученные результаты экспертизы заявок и по результатам такого рассмотрения принимает решение о возможности проведения оценки заявок с учетом предоставленных результатов экспертизы или о направлении заявок на повторную экспертизу (в целях получения дополнительной информации по содержанию заявок, необходимой для проведения оценки заявок).
В случае принятия конкурсной комиссией решения о возможности проведения оценки заявок с учетом предоставленных результатов экспертизы конкурсная комиссия в срок, не превышающий 30 рабочих дней со дня получения от оператора результатов экспертизы, осуществляет оценку заявок на основании критериев, указанных в пункте 141 настоящего Положения, посредством выставления каждой заявке баллов по шкале от 0 до 10. По итогам выставления баллов конкурсная комиссия ранжирует заявки в порядке убывания суммы баллов.
Победителем конкурсного отбора признается участник конкурсного отбора, заявка которого по итогам оценки заявок набрала наибольшее количество баллов.
Конкурсная комиссия вправе определить не более одного победителя конкурсного отбора по каждой сквозной технологии.
В случае если по результатам оценки заявок ни одна из заявок не набрала более 5 баллов или иного значения, установленного конкурсной документацией, конкурсная комиссия может признать конкурсный отбор несостоявшимся.
В случае если по итогам рассмотрения представленных результатов экспертизы заявок конкурсная комиссия придет к выводу о необходимости получения дополнительной информации по содержанию заявок для целей проведения оценки заявок, конкурсная комиссия направляет заявки на повторную экспертизу.
(Пункт в редакции Постановления Правительства Российской Федерации от 08.06.2021 № 872)
17. Перечень сквозных технологий определяется в конкурсной документации Министерством науки и высшего образования Российской Федерации после его рассмотрения межведомственной рабочей группой по разработке и реализации Национальной технологической инициативы при Правительственной комиссии по модернизации экономики и инновационному развитию России (с учетом предложений Экспертного совета по оценке результатов реализации программ создания и развития центров Национальной технологической инициативы на базе образовательных организаций высшего образования и научных организаций, образованного постановлением Правительства Российской Федерации от 30 апреля 2020 г. № 611 "Об Экспертном совете по оценке результатов реализации программ создания и развития центров Национальной технологической инициативы на базе образовательных организаций высшего образования и научных организаций, о внесении изменений в Правила предоставления субсидии из федерального бюджета на оказание государственной поддержки центров Национальной технологической инициативы на базе образовательных организаций высшего образования и научных организаций"). (В редакции Постановления Правительства Российской Федерации от 18.11.2020 № 1872)
171. Результаты конкурсного отбора фиксируются в протоколе подведения итогов конкурсного отбора, в котором содержится информация о дате, времени и месте оценки заявок, результатах оценки каждой заявки, включая присвоенное значение оценки заявок по каждому из предусмотренных критериев, результаты ранжирования заявок, а также сведения о победителе конкурсного отбора.
Протокол подведения итогов конкурсного отбора размещается на едином портале и на официальном сайте оператора в срок, не превышающий 14 дней со дня, следующего за днем подведения итогов конкурсного отбора. (В редакции Постановления Правительства Российской Федерации от 05.07.2021 № 1119)
В срок, не превышающий 10 рабочих дней со дня подписания протокола подведения итогов конкурсного отбора, Министерство науки и высшего образования Российской Федерации осуществляет расчет размера гранта, предоставляемого победителю конкурсного отбора, и выносит вопрос об утверждении размера гранта на рассмотрение конкурсной комиссии.
Протокол утверждения размера гранта победителю (победителям) конкурсного отбора направляется Министерством науки и высшего образования Российской Федерации оператору в срок, не превышающий 3 рабочих дней со дня его подписания. Протокол утверждения размера гранта победителю (победителям) конкурсного отбора размещается оператором на официальном сайте оператора в срок, не превышающий 3 рабочих дней со дня его получения.
(Дополнено пунктом - Постановление Правительства Российской Федерации от 08.06.2021 № 872)
18. Для заключения договора о предоставлении гранта победитель конкурсного отбора в срок, не превышающий 10 рабочих дней со дня размещения протокола подведения итогов конкурсного отбора, представляет оператору документы, подтверждающие его соответствие на 1-е число месяца, предшествующего месяцу, в котором планируется заключение договора о предоставлении гранта, требованиям, установленным пунктом 4 настоящего Положения, а также проект договора о предоставлении гранта. Непредставление указанных документов в установленный срок является основанием для признания победителя конкурсного отбора уклонившимся от заключения договора о предоставлении гранта. (В редакции Постановления Правительства Российской Федерации от 05.07.2021 № 1119)
Договор о предоставлении гранта заключается в порядке, установленном конкурсной документацией, в срок, не превышающий 30 рабочих дней со дня представления победителем конкурсного отбора документов, указанных в абзаце первом настоящего пункта.
(Пункт в редакции Постановления Правительства Российской Федерации от 08.06.2021 № 872)
19. В случае отказа победителя конкурсного отбора от заключения договора о предоставлении гранта или признания победителя конкурсного отбора уклонившимся от заключения договора о предоставлении гранта право заключения договора о предоставлении гранта по решению конкурсной комиссии может быть предоставлено другому участнику конкурсного отбора в соответствии с результатами ранжирования, сформированными по результатам оценки заявок. (В редакции Постановления Правительства Российской Федерации от 08.06.2021 № 872)
20. (Утратил силу - Постановление Правительства Российской Федерации от 22.12.2018 № 1632)
21. В случае необходимости, в том числе при расторжении ранее заключенных договоров о предоставлении гранта, Министерство науки и высшего образования Российской Федерации принимает решение о проведении дополнительного конкурсного отбора. (В редакции Постановления Правительства Российской Федерации от 08.06.2021 № 872)
____________

Подписаться на обновления